1总则
1.0.1 为在混凝土升板结构的设计、施工及验收中做到技术先进、经济合理、安全适用、确保质量,制定本标准。
1.0.2 本标准适用于抗震设防烈度不超过8度的建筑工程中混凝土升板结构的设计、施工及验收。
1.0.3 混凝土升板结构的设计、施工及验收除应符合本标准外,尚应符合国家现行有关标准的规定。
2 术语和符号
2.1 术 语
2.1.1 升板结构 lift-slab structure 由安装在结构柱上的提升系统将在施工现场叠层预制的楼盖结构依次提升到设计标高位置,并通过后连接节点与竖向、水平结构构件连接而形成整体的结构体系,包括板柱结构、板柱-支撑结构、板柱-剪力墙结构。
2.1.2 板柱结构 slab-column structure 由水平构件为板和竖向构件为柱所组成的结构体系,楼板可采用平板、空心板或密肋板,板柱节点可设置柱帽。
2.1.3 板柱-支撑结构 slab-column-brace structure 由无梁楼板和柱组成的板柱框架与支撑组成的升板结构体系,支撑可采用普通钢支撑或屈曲约束支撑。
2.1.4 板柱-剪力墙结构 slab-column-shear wall structure 由无梁楼板和柱组成的板柱框架与剪力墙共同组成的升板结构体系。
2.1.5 预制构件 precast component 在工厂或施工现场预先制作的构件。
2.1.6 群柱稳定性 stability of grouped columns 升板结构在提升阶段,群柱在荷载作用下保持原有状态而不发生整体屈曲或失稳破坏的能力。
2.1.7 楼盖提升 floor lifting 在施工现场预制的楼盖由提升系统提升到设计标高的过程,可采用单板提升法或叠层提升法。
2.1.8 提升单元 lifting unit 楼盖在制作时事先划分的独立结构单元,应满足楼盖提升系统的提升能力及单元内群柱稳定性要求。
2.1.9 提升系统 lifting system 用于提升楼盖的设备系统,由动力系统、吊杆或吊索、支承系统等组成。
2.1.10 提升力 lift force 楼盖提升过程中吊杆或吊索所承担的最大荷载。
2.1.11 同步提升 synchronous lift 楼盖提升过程中,各提升点的提升速度一致或提升差异在控制范围以内。
2.2 符 号
2.2.1 材料性能 Ec——混凝土弹性模量; fc——混凝土轴心抗压强度设计值; ft——混凝土轴心抗拉强度设计值; fy——钢材或普通钢筋抗拉强度设计值。
2.2.2 作用、作用效应及承载力 M——弯矩设计值; Mm、Ms——格梁板楼盖中主、次梁弯矩设计值; S——作用组合的效应设计值; R——结构构件承载力设计值; V——剪力设计值; w——提升单元内全部柱所受均布风荷载设计值。
2.2.3 几何参数 Abq——屈曲约束支撑截面面积; Abr——普通钢支撑截面面积; bce——柱帽在弯矩方向的宽度; Im、Is——格梁板楼盖中主、次梁的截面惯性矩: l0——等代悬臂柱的计算长度; lx、ly——x、y向的楼盖计算跨度; ut——齿槽外口周边长度。
2.2.4 计算系数及其他 αw——基本周期考虑非承重墙影响的折减系数; βi——搁置折算系数; γ0——结构重要性系数; γ1——提升折算系数; γCQ——施工活荷载作用分项系数; γG——板自重作用分项系数; γl——提升差异作用分项系数; γRE——承载力抗震调整系数; λ——支撑的长细比; η——偏心距增大系数; ηL——荷载效应放大系数。
3 基本规定
3.1 材 料
3.1.1 混凝土升板结构中,钢筋混凝土结构构件的混凝土强度等级不应低于C30,预应力混凝土结构构件的混凝土强度等级不宜低于C40。
3.1.2 混凝土升板结构中,纵向普通钢筋宜采用HRB400、HRB500钢筋;箍筋可采用HRB400、HRB335、HPB300钢筋;预应力筋宜采用预应力钢绞线;当采用钢柱或钢管混凝土柱时,钢材宜采用Q345或以上等级钢材。
3.1.3 混凝土、钢筋和钢材的力学性能指标等应符合现行国家标准《混凝土结构设计规范》GB 50010、《建筑抗震设计规范》GB 50011和《钢结构设计标准》GB 50017的规定。
3.1.4 升板结构的维护墙体宜采用轻质材料。
3.2 结构布置
3.2.1 升板结构中,柱可设计为钢筋混凝土柱、钢管混凝土柱或钢柱,楼盖可根据柱网尺寸、荷载大小、刚度需求、楼板开洞状况及施工条件等设计为钢筋混凝土或预应力混凝土平板、密肋板、空心板或格梁板。
3.2.2 升板结构的整体布置应保证结构在施工过程中的稳定性。建筑物中的钢筋混凝土井筒等可作为抗侧力结构。
3.2.3 升板结构宜采用不设防震缝的结构方案。当需要设置时,防震缝宽度应符合下列规定: 1 板柱结构中防震缝宽度应符合现行国家标准《建筑抗震设计规范》GB 50011关于钢筋混凝土框架结构的相关规定; 2 板柱-剪力墙结构和板柱-支撑结构中防震缝宽度应符合现行国家标准《建筑抗震设计规范》GB 50011关于框架-剪力墙结构的相关规定。
3.2.4 升板结构楼盖中伸缩缝的最大间距不宜超过75m。当采取可靠措施后,伸缩缝的最大间距可适当增加。
3.2.5 板柱结构的平面柱网结构布置宜均匀、对称。
3.2.6 板柱-支撑结构中,支撑宜沿建筑物的两个主轴方向布置;支撑间距不宜超过楼盖宽度的2倍;支撑宜上、下连续布置,当不能连续布置时,宜在邻跨布置。
3.2.7 板柱-剪力墙结构中,剪力墙应沿建筑物的两个主轴方向均匀布置,并应符合下列规定: 1 剪力墙的间距不宜超过楼盖宽度的3倍,宜沿竖向贯通布置; 2 应避免楼板开洞对水平力传递的影响,当位于剪力墙之间的楼板有较大开洞时,应计入楼盖平面内变形的影响; 3 应形成双向抗侧力体系; 4 宜避免结构刚度偏心; 5 剪力墙的基础应有良好的整体性和抗转动能力。
3.3 结构设计
3.3.1 升板结构应按提升与使用两个阶段进行设计。结构的截面尺寸、配筋宜由使用阶段的内力控制。提升阶段的提升程序及板柱节点的连接固定措施应结合施工工艺合理确定。
3.3.2 在升板结构中采用预应力混凝土楼盖时,其设计应符合国家现行标准《混凝土结构设计规范》GB 50010、《无粘结预应力混凝土结构技术规程》JGJ 92和《预应力混凝土结构抗震技术规程》JGJ 140的有关规定。
3.3.3 直接承受动力荷载并需进行疲劳验算的混凝土升板结构,应经专门研究。
3.3.4 升板结构的承载力应采用下列设计表达式进行验算: 持久、短暂设计状况 γ0S≤R (3.3.4-1) 地震设计状况 S≤R/γRE (3.3.4-2) 式中:γ0——结构重要性系数,对安全等级为一级、二级和三级的结构构件,应分别取不小于1.1、1.0和0.9; S——作用组合的效应设计值:对持久设计状况和短暂设计状况应按作用的基本组合计算;对地震设计状况应按作用的地震组合计算; R——结构构件承载力设计值; γRE——结构构件承载力抗震调整系数,应按现行国家标准《建筑抗震设计规范》GB 50011的规定取用。当仅计算竖向地震作用时,各类结构构件承载力抗震调整系数均应采用1.0。
3.3.5 提升阶段板的内力设计值Sl,应按下式计算:

式中:SBk——板自重荷载效应标准值; SCQk——施工荷载效应标准值;计算时,施工荷载可按本标准第3.3.7条的规定取值; SLk——提升差异作用效应标准值,按本标准第4.2.4条规定计算; γG——板自重荷载的分项系数,按现行国家标准《建筑结构荷载规范》GB 50009的规定取用; γCQ——施工荷载的分项系数,按现行国家标准《建筑结构荷载规范》GB 50009的规定取用; γl——提升差异作用的分项系数,一般情况下取1.25; K——动力系数,应取1.2。
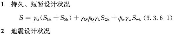
3.3.6 使用阶段荷载基本组合的效应设计值应按下列公式计算:


式中:S——作用组合的效应设计值; SBk——楼板自重荷载效应标准值; SSk——楼板自重外的永久荷载效应标准值; SQk——楼面活荷载效应标准值; SGE——重力荷载代表值的效应,按现行国家标准《建筑抗震设计规范》GB 50011的规定取用; Swk——风荷载效应标准值; SEhk——水平地震作用效应标准值; SEvk——竖向地震作用效应标准值; γG——永久荷载分项系数,按现行国家标准《建筑结构荷载规范》GB 50009的规定取用; γQ——活荷载分项系数,按现行国家标准《建筑结构荷载规范》GB 50009的规定取用; γw——风荷载的分项系数,按现行国家标准《建筑结构荷载规范》GB 50009的规定取用; γL——活荷载考虑结构设计使用年限的调整系数,按现行国家标准《建筑结构荷载规范》GB 50009的规定取用; γEh——水平地震作用分项系数,按现行国家标准《建筑抗震设计规范》GB 50011的规定取用; γEv——竖向地震作用分项系数,按现行国家标准《建筑抗震设计规范》GB 50011的规定取用; ψQ——活荷载组合值系数,按现行国家标准《建筑结构荷载规范》GB 50009的规定取用; ψw——风荷载组合值系数,按现行国家标准《建筑结构荷载规范》GB 50009的规定取用。
3.3.7 升板结构承受的荷载和地震作用应符合下列规定: 1 荷载应按现行国家标准《建筑结构荷载规范》GB 50009的有关规定确定; 2 地震作用应按现行国家标准《建筑抗震设计规范》GB 50011的有关规定确定; 3 楼板上的施工荷载宜取0.5kN/m2,顶层板施工荷载不宜大于1.5kN/m2,当采用升提或升滑施工时可取2.5kN/m2;有堆砖荷载时,堆砖荷载值不宜大于0.5kN/m2。
3.3.8 按本标准设计的混凝土升板结构房屋的适用高度不应超过表3.3.8的规定。
表3.3.8 混凝土升板结构的最大适用高度(m)

3.3.9 有抗震设防要求的混凝土升板结构,应按现行国家标准《建筑工程抗震设防分类标准》GB 50223的规定确定建筑抗震设防类别及抗震设防标准。
3.3.10 混凝土升板结构抗震设计时,应根据设防烈度、结构类型和房屋高度采用不同的抗震等级,并应符合相应的计算和构造规定。构件的抗震等级应符合下列规定: 1 丙类建筑的抗震等级应按本地区的设防烈度由表3.3.10确定,乙、丁类建筑应按现行国家标准《建筑抗震设计规范》GB 50011的规定调整烈度后,按表3.3.10确定抗震等级; 2 抗震设防烈度为6、7、8度时,钢柱的抗震等级应分别按四级、三级、二级采用,钢管混凝土柱的抗震等级应分别按三级、二级、一级采用; 3 确定与支撑相连柱的抗震措施时,应按本条第1、2款的规定提高一个抗震等级确定。
表3.3.10 混凝土升板结构的抗震等级

3.3.11 结构在多遇地震或风荷载作用下,楼层内最大弹性层间位移角宜符合表3.3.11的规定。
表3.3.11 弹性层间位移角限值

3.3.12 罕遇地震作用下,结构楼层最大弹塑性层间位移角宜符合表3.3.12的规定。
表3.3.12 楼层弹塑性层间位移角限值

3.3.13 升板结构中的预埋件和连接件等外露金属件应按不同环境类别进行封堵或防腐、防火处理,并应符合耐久性设计的有关规定。采用钢柱或钢管混凝土柱时,钢结构的防火处理应分别符合现行国家标准《钢结构设计标准》GB 50017和《钢管混凝土结构技术规范》GB 50936的规定。
3.3.14 在设计使用期限内,未经技术鉴定或设计许可,不得改变混凝土升板结构的用途和使用环境。
3.4 施工要求
3.4.1 升板结构施工时,应根据设备提升能力及设计要求划分提升单元。单元的提升与连接固定方案应经设计单位认可。
3.4.2 电梯井筒、楼梯间剪力墙作为楼板提升过程的抗侧力结构时,宜先行施工。
3.4.3 升板结构的施工应符合现行国家标准《混凝土结构工程施工规范》GB 50666及《钢结构工程施工规范》GB 50755的有关规定。
3.4.4 升板结构施工中,楼盖的提升施工应编制专项施工方案,施工方案应经技术论证。
4 结构计算
4.1 一般规定
4.1.1 对提升阶段和使用阶段的升板结构分别进行计算时,计算模型可采用等代框架模型、等代梁模型或有限元模型。
4.1.2 板柱-剪力墙结构和板柱-支撑结构计算分析时,应分别考虑剪力墙和支撑施工顺序的影响。
4.1.3 升板结构中,楼盖受力复杂区域宜按有限元应力分析结果校核配筋设计。
4.2 提升阶段
Ⅰ 竖向荷载效应计算
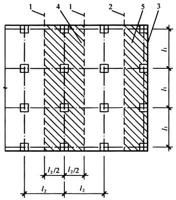
4.2.1 提升阶段,板的自重和施工荷载效应可采用等代梁法计算。采用等代梁法计算板的纵横两个方向的弯矩时,应符合下列规定: 1 等代梁的计算跨度应取柱中心线之间的距离,计算宽度应取垂直于计算跨度方向的两相邻区格板中心线之间的距离(图4.2.1)。 2 短期荷载作用下,等代梁的刚度可按下式计算:

式中:Ec——混凝土弹性模量(N/mm2); Ib——等代梁的截面惯性矩(mm4)。对平板,Ib可取为

,bx、by为等代梁的计算宽度,hs为平板的厚度;对密肋板,Ib可取为计算宽度范围内所

图4.2.1 板带划分及等代梁 1-柱上板带;2-跨中板带
有肋按T形截面计算的惯性矩之和;对空心板,Ib可取为计算宽度范围内所有肋按工形截面计算的惯性矩之和;对格梁板,Ib可取为柱轴线两侧板中心线范围内的T形截面主梁惯性矩与次梁惯性矩之和;密肋板与空心板肋的翼缘计算宽度和格梁板主梁及次梁的翼缘计算宽度应符合现行国家标准《混凝土结构设计规范》GB 50010的相关规定。
4.2.2 平板和空心板的等代梁弯矩设计值,可按表4.2.2的比例分配给柱上板带和跨中板带,在总弯矩不变的条件下,也可将柱上板带负弯矩的10%分配给跨中板带。
表4.2.2 平板与空心板柱上板带和跨中板带弯矩分配比例

注:本表为无悬臂板的弯矩分配经验系数。
4.2.3 两个方向主次梁相互垂直且相邻主梁间仅布置两根次梁的格梁板,其等代梁弯矩设计值应分别按下列公式分配给主次梁;其他情况的格梁板可按交叉梁结构计算。

式中:M——格梁板的等代梁弯矩设计值(N·mm); Mm、Ms——分别为格梁板的主、次梁弯矩设计值(N·mm); Im、Is——分别为格梁板的主、次梁的截面惯性矩(mm4); Ec——混凝土弹性模量(N/mm2); α——弯矩分配时次梁有效刚度系数,可按表4.2.3取用。
表4.2.3 弯矩分配时次梁有效刚度系数α

4.2.4 采用等代梁法计算内力时,提升差异内力应为分别计算仅由任一支座提升差异10mm产生的内力。
4.2.5 提升阶段的平板自重和施工荷载效应也可采用楼板单元进行有限元计算,板与柱应采用铰接连接。
Ⅱ 稳定性验算
4.2.6 升板结构可采用单板逐层提升或叠层提升施工工艺,应由设计单位与施工单位根据实际情况共同研究确定。
4.2.7 在提升阶段,升板结构可按铰接排架模型简化为等代悬臂柱验算提升单元内群柱的稳定性,也可通过计算机仿真按铰接排架模型分析群柱稳定性,并应符合下列规定: 1 应对各个提升单元按实际的提升程序对搁置状态和正在提升状态分别进行群柱稳定性验算; 2 应验算底层板固定及相邻的前一个提升步的群柱稳定性; 3 当采用上承式承重销搁置板时,每层板应用楔块楔紧,未楔紧时应按受荷最大的单柱进行稳定性验算; 4 按等代悬臂柱计算时,其惯性矩应为该提升单元内所有单柱惯性矩的总和,并应承担单元内的全部荷载。
4.2.8 在提升阶段,升板结构的风荷载标准值应按现行国家标准《建筑结构荷载规范》GB 50009规定的10年一遇基本风压进行计算。当该提升单元有外墙体时,在顶层板以上应采用各柱风荷载的总和,在顶层板以下应采用墙和柱实际所受的风荷载。
4.2.9 一个提升单元内的柱可按等代悬臂柱在两个主轴方向分别进行群柱稳定性验算。群柱稳定性应由等代悬臂柱偏心距增大系数η验算确定,当η小于0或大于3时,应改变提升工艺,也可增大柱截面尺寸或改变结构布置。偏心距增大系数η应按下式计算:

式中:η——偏心距增大系数; γF——折算荷载修正系数,宜取1.10; l0——等代悬臂柱的计算长度(mm),应按本标准第4.2.12条的规定确定; Fc——等代悬臂柱总的折算竖向荷载(N),应按本标准第4.2.13条的规定计算; αs——升板结构柱在提升阶段实际工作状态的系数,应按表4.2.9取值; EI——提升单元内等代悬臂柱的柱底截面抗弯刚度总和(N·mm2),应按本标准第4.2.10条的规定取值; ξ——变刚度等代悬臂柱的截面刚度修正系数,应按本标准第4.2.11条的规定取值。
表4.2.9 柱实际工作状态系数αs

注:e0为偏心距,取等代悬臂柱按本标准公式(4.2.14)计算的柱底最大弯矩值与柱底以上的板、柱、提升机等重力荷载设计值及其他荷载设计值总和的比值;hc为柱截面高度。
4.2.10 计算提升单元内等代悬臂柱的柱底截面抗弯刚度总和EI时,提升单元内等代悬臂柱在不同计算方向的截面抗弯刚度取值应与计算方向一致,并应符合下列规定:

式中:Eci——第i根柱的柱底混凝土弹性模量; Eai——第i根柱的钢管弹性模量; Ici——第i根柱的柱底混凝土截面惯性矩; Iai——第i根柱的钢管截面惯性矩。
4.2.11 变刚度等代悬臂柱的截面刚度修正系数ξ的取值应符合下列规定: 1 当采用等截面预制柱时,ξ应取为1.0; 2 当采用单阶线性变截面柱时,ξ可按本标准表A.0.1采用; 3 当采用升提或升滑法的柱时,ξ可按本标准表A.0.2采用。
4.2.12 提升阶段柱的计算长度l0取值应符合下列规定: 1 柱的计算长度可按下式计算:

式中:Hnl——承重销底距柱底的高度。验算搁置状态时,取最高一层永久或临时搁置板处的承重销底距柱底的高度(图4.2.12-1);验算正在提升的状态时,取提升机处的承重销底距柱底的高度(图4.2.12-2);柱底应取混凝土地坪面,当地坪不是现浇混凝土时,应取柱杯口面。

图4.2.12-1 搁置状态时柱的计算简图

图4.2.12-2 正在提升状态时柱的计算简图
2 当下面一层或数层的板已就位且板柱节点已形成可靠的刚接时,柱底可取最高刚接层的层高一半处(图4.2.12-3、图4.2.12-4),其计算长度可按下式计算:


图4.2.12-3 一层或数层节点刚接后搁置状态时柱的计算简图

图4.2.12-4 一层或数层节点刚接后正在提升状态时柱的计算简图
3 当一个提升单元对称布置的内筒体,或在两个方向均有在施工阶段可起剪力墙作用的墙体且其间距不大于横向尺寸的三倍,并在提升和搁置状态均至少有一层楼板与其可靠连接时,柱计算长度可按下式计算:

式中:μ——计算长度系数。其值与筒体或剪力墙的刚度及连接位置有关,可按本标准附录B取用。
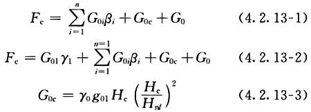
4.2.13 验算搁置状态的群柱稳定性时,折算竖向荷载Fc应按公式(4.2.13-1)计算;当验算一层板或叠层板正在提升而其他各层处于搁置状态的群柱稳定性时,竖向折算荷载Fc应按公式(4.2.13-2)计算。

式中:n——层数; G0i——永久或临时搁置的第i层板所受的重力荷载设计值和按实际情况采用的其他荷载设计值(kN);屋面施工荷载标准值,对预制柱升板取0.5kN/m2,升提、升滑法取1.5kN/m2,楼面施工荷载在一般情况下可不计入; G0c——折算的柱重力总和(kN); G01——正在提升的一层板(或叠层提升的数层板)所受的总重力及按实际情况采用的其他荷载(kN);荷载取值与G0i相同,不乘动力系数; G0——提升单元内直接放在每个柱上的提升机等设备的重力荷载设计值总和(kN); βi——搁置折算系数,当柱无侧向支承时,可按表4.2.13-1采用; γ1——提升折算系数,可按表4.2.13-2采用; γ0——柱重力折算系数;柱无侧向支承时取0.315,柱与内竖筒或剪力墙有连接时取0.385; g01——提升单元内所有单柱单位长度的重力荷载设计值总和(kN); Hc——柱底截面以上的柱全高(m)。
表4.2.13-1 搁置折算系数βi值

注:Hil为第i层板永久或临时搁置处的高度。
表4.2.13-2 提升折算系数γ1值

注:H1为验算提升状态时被正在提升的一层板或叠层提升的数层板的高度。
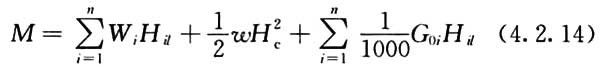
4.2.14 升板结构柱由本标准第4.2.8条确定的风荷载以及柱竖向偏差所产生的柱底最大弯矩M可按下式计算:

式中:Wi——第i层板处所受的集中风荷载设计值的总和(kN),包括该层板上墙体、堆砖所受的风荷载; w——提升单元内全部柱所受均布风荷载设计值(kN/m),当柱较高时尚应考虑风荷载沿高度的变化; G0i、Hil——分别按本标准第4.2.13条采用,当验算正在提升的状态时,应取本标准第4.2.13条规定的G01与Hnl。
4.2.15 升滑、升提施工的钢管混凝土柱的钢骨架,应按现行国家标准《钢结构设计标准》GB 50017验算单柱的承载力和稳定性。钢骨架的柱高可取为δHnl,计算长度可取为3δHnl。当钢管混凝土柱与预制钢筋混凝土柱连接时,钢骨架柱计算长度可取2.5δHnl~3δHnl,当计算长度大于2Hnl时取2Hnl。停歇孔处以外的缀材可采用钢筋缀条。
4.2.16 采用计算机仿真分析升板结构提升阶段提升单元群柱的稳定性时,楼板与柱之间应采用铰接连接。
4.3 使用阶段
Ⅰ 竖向荷载效应计算
4.3.1 常用矩形柱网平板、密肋板、空心板和格梁板的内力可按本节规定的简化方法计算;对柱网较特殊的板、受集中荷载及开孔的板,应采用有限元等方法作专门分析计算。当密肋板和空心板的肋间距、高度、宽度及面板和底板厚度符合本标准第5.2.3条的构造要求时,其内力可分别采用T形和工形截面特征值按平板分析计算。
4.3.2 当竖向荷载作用下的平板、密肋板和空心板采用本标准第4.3.3条的经验系数法计算使用阶段板的内力时,应符合下列规定;不符合时,应按本标准第4.3.4条的规定计算。 1 活荷载为均布荷载,且不应大于恒荷载的2倍; 2 在使用阶段每个方向至少应有三个连续跨; 3 任一区格内的长边和短边之比不应大于1.5; 4 在同一方向上的最大跨度与最小跨度之比不应大于1.2。
4.3.3 采用经验系数法计算时,应分别按公式(4.3.3-1)和公式(4.3.3-2)计算垂直分布荷载在纵横两个方向产生的板的总弯矩设计值,并应按表4.3.3的规定确定柱上板带和跨中板带的弯矩设计值。在总弯矩值不变的条件下,也可将柱上板带负弯矩的10%分配给跨中板带。

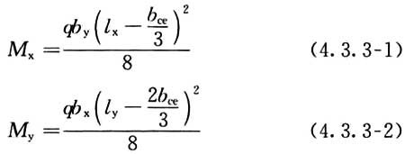
式中:bce——柱帽在弯矩方向的宽度(m),无柱帽时取为0; q——垂直分布荷载设计值(kN/m2); Mx、My——分别为x、y向的总弯矩设计值(kN·m); bx、by——分别为x、y向的楼板计算宽度(m); lx、ly——分别为x、y向的楼板计算跨度(m)。
表4.3.3 柱上板带和跨中板带弯矩值

注:本表为无悬臂板的经验值。
4.3.4 平板、密肋板、空心板以及格梁板采用等代框架法计算时,应符合下列规定: 1 竖向荷载作用下等代框架梁的计算宽度,可取垂直于计算跨度方向两个相邻区格板中心线之间的距离(图4.3.4)。

图4.3.4 平板、密肋板、空心板及格梁板的等代框架 1-板格l2中心线;2-边板中心线;3-板边;4-中间等代框架;5-边等代框架
2 平板与空心板的等代框架梁、柱以及格梁板的等代框架柱的线刚度,可按现行行业标准《无粘结预应力混凝土结构技术规程》JGJ 92的规定计算。格梁板的等代框架梁可不考虑柱帽的作用,梁刚度可按本标准第4.2.1条规定计算。 3 宜考虑活荷载的不利组合。
4.3.5 由等代框架法计算的弯矩,应按下列规定进行分配: 1 当平板、空心板与密肋板的任一区格长边与短边之比不大于2时,可按本标准表4.2.2比例分配给柱上板带和跨中板带。对有柱帽的等代框架,其支座负弯矩可取刚域边缘处的弯矩值(图4.3.5)。 2 格梁板的等代框架梁弯矩,可分别按本标准公式(4.2.3-1)和公式(4.2.3-2)分配给主梁及次梁。 3 等代框架梁端部刚域长度可按本标准附录C取用。

图4.3.5 有柱帽等代框架梁在竖向荷载作用下支座弯矩取值 br-刚域区
4.3.6 平板采用有限元法计算时,应符合下列规定: 1 板单元与柱单元应采用刚性连接,有柱帽时板单元与柱帽单元应采用刚性连接。 2 板柱-剪力墙结构中,应计入剪力墙承担竖向荷载。 3 楼板弯矩应取柱边缘值,有柱帽时可取柱帽刚域边缘值。
Ⅱ 侧向作用效应计算
4.3.7 在风荷载作用下,升板结构应沿两个主轴方向分别进行计算。
4.3.8 结构的地震作用计算应符合下列规定: 1 应至少在建筑结构的两个主轴方向分别计算水平地震作用,各方向的水平地震作用应由该方向抗侧力构件承担。 2 有斜交抗侧力构件的结构,当相交角度大于15°时,应分别计算各抗侧力构件方向的水平地震作用。 3 质量和刚度分布明显不对称时,应计入双向地震作用下的扭转影响。 4 抗震设防烈度为8度且跨度大于9m时,应计算竖向地震作用。
4.3.9 结构抗侧力构件内力和位移计算时,可采用楼板在其平面内刚性的假定;当楼板开洞较大、长宽比较大或平面特别不规则时,宜按弹性楼板计算。
4.3.10 结构的地震作用效应计算应符合下列规定: 1 高度不超过24m,且高度与宽度之比不大于4,体型比较规则,质量和刚度沿高度分布比较均匀的结构,在水平地震作用下,可采用底部剪力法等简化方法。结构总水平地震作用、底部剪力标准值及各质点的水平地震作用应按现行国家标准《建筑抗震设计规范》GB 50011的有关规定计算,其中基本周期可按本标准第4.3.11条计算。 2 其他结构应采用振型分解反应谱法。
4.3.11 升板结构的基本周期可按下列公式近似计算: 1 结构总跨数等于或小于3跨的板柱结构

2 结构总跨数等于或小于3跨的板柱-剪力墙结构

式中:αw——基本周期考虑非承重墙影响的折减系数,对板柱结构,一般情况下取0.7~0.8,非承重墙较多时取0.5~0.6;对板柱-剪力墙或板柱-壁式框架结构取0.9; αG——计算自振周期所用的建筑物总重力G与板柱结构总重力Gf之比; G——计算自振周期所用的建筑物总重力(kN); Gf——板柱结构总重力(kN); H——升板结构的总高度(m); B——升板结构的总宽度(m); Kw——总剪力墙顶点的水平刚度。
4.3.12 不规则结构宜采用时程分析法进行多遇地震下的补充计算,计算方法和要求应按现行国家标准《建筑抗震设计规范》GB 50011中的有关规定采用。
4.3.13 结构应进行多遇地震和风荷载下结构变形验算,楼层最大弹性层间位移角应符合本标准表3.3.11的规定;设防烈度8度时的板柱结构以及高度大于15m的板柱-抗震墙和板柱-支撑结构,应进行罕遇地震下结构的变形验算,验算时可采用静力弹塑性方法或弹塑性时程分析方法,楼层最大弹塑性层间位移角应符合本标准表3.3.12的规定。
4.3.14 板柱结构可采用等代框架法计算侧向荷载作用下的内力和位移,并应符合下列规定: 1 等代框架梁的计算宽度,宜取下列公式计算结果的较小值:

式中:by——y向等代框架梁的计算宽度(mm); lx、ly——等代框架梁在纵横两个方向的计算跨度(mm); bce——柱帽的宽度(mm)。 2 有后浇柱帽时,梁、柱的等效刚度及等代框架计算模型可按现行行业标准《无粘结预应力混凝土结构技术规程》JGJ 92的有关规定取用。
4.3.15 采用有限元法计算侧向荷载作用下的内力和位移时,除应符合本标准第4.3.9条的规定外,尚应符合下列规定: 1 有柱帽时,柱应计入柱帽; 2 板与柱应采用刚性连接,有柱帽时板与柱帽单元应采用刚性连接。
4.3.16 板柱-剪力墙结构抗震计算应符合下列规定: 1 房屋高度大于12m时,剪力墙应承担结构的全部地震作用;房屋高度不大于12m时,剪力墙宜承担结构的全部地震作用。 2 各层柱应能承担不少于20%的本层地震剪力。
4.3.17 混凝土板柱-支撑结构抗震计算应符合下列规定: 1 房屋高度大于12m时或房屋层数超过3层时,支撑按刚度分配的地震剪力不应小于本楼层地震剪力的50%;房屋高度不大于12m时且房屋层数不超过3层时,支撑按刚度分配的地震剪力不应小于本楼层地震剪力的30%。 2 采用普通钢支撑时,混凝土板柱结构承担的地震作用,应按板柱结构和板柱-支撑结构两种模型计算,配筋应取二者较大值。 3 结构阻尼比可按混凝土构件和钢支撑部分在结构总变形能所占的比例计算,且不应大于0.045。
4.3.18 采用钢柱的板柱-支撑结构抗震计算应符合下列规定: 1 房屋高度大于12m时或房屋层数超过3层时,支撑按刚度分配的地震剪力不应小于楼层地震剪力的60%;房屋高度不大于12m时或房屋层数不超过3层时,支撑按刚度分配的地震剪力不应小于楼层地震剪力的40%。 2 采用普通钢支撑时,应按板柱结构和板柱-支撑结构两种模型计算,并应按二者较大值验算承载力。 3 结构阻尼比宜取0.03。
4.3.19 由水平荷载产生的内力,应组合到柱上板带或格梁板的主梁上。有柱帽的平板、密肋板和空心板,其支座负弯矩可取梁刚域边缘处的值(图4.3.19)。

图4.3.19 有柱帽等代框架梁在水平荷载作用下支座弯矩取值
5 结构设计
5.1 一般规定
5.1.1 混凝土升板结构中,应根据建筑物的功能要求及环境条件确定构件的裂缝控制等级,并应根据国家现行标准《混凝土结构设计规范》GB 50010和《无粘结预应力混凝土结构技术规程》JGJ 92的规定分别进行正常使用阶段和施工阶段抗裂验算。
5.1.2 用于固定连接的预埋件与吊装预埋件、临时支撑用预埋件不宜兼用;当兼用时,应同时满足正常使用阶段和施工阶段各种设计工况要求。预埋件的验算应符合现行国家标准《混凝土结构设计规范》GB 50010、《钢结构设计标准》GB 50017、《混凝土结构工程施工规范》GB 50666和《钢结构工程施工规范》GB 50755等的有关规定。
5.1.3 升板结构中,楼梯宜采用一端铰接、一端滑动的连接方式。
5.2 板设计
5.2.1 钢筋混凝土平板的厚度不宜小于柱网长边尺寸的1/35;钢筋混凝土空心板的厚度,不宜小于柱网长边尺寸的1/30;密肋板的肋高不宜小于柱网长边尺寸的1/25;钢筋混凝土格梁板梁高不宜小于柱网长边尺寸的1/20。预应力混凝土板的厚度和梁的高度可适当减小。
5.2.2 临时划分的提升单元之间,板可预留宽度为1/4~1/3板跨的后浇混凝土板带,连接钢筋应加强。
5.2.3 空心板的肋净距不宜大于800mm,肋宽不宜小于80mm,肋高不宜大于肋宽的3倍。密肋板的面板和底板的厚度均不宜小于50mm。
5.2.4 板内配筋应取提升与正常使用两个阶段计算所得的较大值进行设计。
5.2.5 板内配筋设计应符合下列规定: 1 平板或空心板应分别按两个方向的柱上板带和跨中板带配置; 2 格梁板应分别按两个方向的主梁及次梁配筋,支承于格梁上的板应按连续板计算内力与配筋; 3 计算柱帽处的负弯矩钢筋时,不宜考虑后浇柱帽的高度。
5.2.6 密肋板与空心板在柱帽区应做成实心板。空心板的配筋宜符合下列规定: 1 空心板纵向受力钢筋的配置长度宜符合平板纵向受力钢筋的规定; 2 空心板面板应配置双向钢筋网,其直径不应小于6mm,间距不应大于200mm; 3 在肋中配有负弯矩钢筋的范围内,宜配置构造用的封闭箍筋。箍筋直径不应小于6mm,间距不应大于肋高,且不应大于250mm。
5.2.7 平板边缘上、下应各设置一根直径不小于16mm的通长钢筋,也可利用原有配筋拉通;空心板的边肋上下应各设置至少两根直径不小于16mm的通长钢筋,并应按本标准第5.2.6条的规定配置封闭箍筋。
5.2.8 板面有集中荷载时,可按现行国家标准《建筑结构荷载规范》GB 50009的规定将集中荷载折算为均布荷载设计楼板配筋。当楼板上某区格内的集中荷载设计值不大于该区格内均布活荷载设计值总量的10%时,也可按下式计算折算均布活荷载:

式中:qt——某区格内的折算均布活荷载设计值(kN/m2); F——某区格内的集中荷载设计值(kN); A——某区格内的面积(m2); q——某区格内的均布活荷载设计值(kN/m2)。
5.2.9 平板和空心板需开孔时,其配筋应按开孔板的内力设计值计算确定。当符合下列规定时,可仅在板孔周边补足被孔洞截断的钢筋: 1 在两个方向的跨中板带公共区内,孔的边长不应大于孔洞所在区格短边尺寸的40%; 2 在两个方向的柱上板带公共区内,孔的边长不应大于孔洞所在区格的短边尺寸的1/20,且柱帽区不得开孔; 3 在一个方向的跨中板带和另一个方向的柱上板带公共区内,孔的边长不应大于孔洞所在区格的短边尺寸的1/8; 4 孔洞间的净距,不应小于孔的最大尺寸的三倍;孔洞边长大于1m或截断现浇空心板的肋时,应在孔的周边增加圈梁或型钢。
5.2.10 平板楼盖应进行板柱节点的受冲切承载力验算。当需要配置抗冲切钢筋时,宜配置抗冲切栓钉,配置抗冲切栓钉后平板的受冲切承载力应按现行行业标准《无粘结预应力混凝土结构技术规程》JGJ 92的有关规定进行验算。
5.3 柱设计
Ⅰ 一般规定
5.3.1 升板结构柱宜采用预制钢筋混凝土柱、钢柱或钢管混凝土柱,也可采用现浇钢筋混凝土柱。
5.3.2 钢筋混凝土柱的截面较小边长或直径不宜小于500mm;钢柱或钢管混凝土柱的截面较小边长或直径不宜小于400mm,壁厚不宜小于8mm。
5.3.3 柱截面承载力计算和构造设计,除应符合本节规定外,尚应符合现行国家标准《混凝土结构设计规范》GB 50010、《建筑抗震设计规范》GB 50011、《钢结构设计标准》GB 50017、《钢管混凝土结构技术规范》GB 50936的规定。
5.3.4 升板结构柱应分别按提升阶段和使用阶段进行验算,对预制柱尚应进行吊装阶段的验算。
5.3.5 升板结构柱采用拼接柱时,接缝应设置在柱受力较小的部位。对预制混凝土柱,接缝宜避开柱端箍筋加密区;对钢柱或钢管混凝土柱,接缝宜设置在楼面标高以上1.2m~1.3m。
5.3.6 预制钢筋混凝土柱接缝处纵向钢筋可采用套筒灌浆连接,套筒应符合现行行业标准《钢筋连接用灌浆套筒》JG/T 398的规定,灌浆料应符合现行行业标准《钢筋连接用套筒灌浆料》JG/T 408的规定,钢筋套筒灌浆连接接头应符合现行行业标准《钢筋套筒灌浆连接应用技术规程》JGJ 355的规定。
5.3.7 预制钢筋混凝土柱接缝处的正截面承载力和斜截面承载力应符合现行国家标准《混凝土结构设计规范》GB 50010的规定。抗震设计时,当接缝设置在柱端加密区范围内时,接缝处的受剪承载力尚应满足下式要求:

式中:Vmua——被连接柱端部按实配钢筋面积计算的斜截面受剪承载力设计值(kN); Vu——柱端接缝的受剪承载力设计值(kN),按本标准第5.3.8条计算; ηj——接缝受剪承载力增大系数,抗震等级为一、二级时取1.2,抗震等级为三级时取1.1。
5.3.8 预制钢筋混凝土柱接缝的受剪承载力设计值Vu应按下列公式计算:

式中:N——使用阶段与剪力设计值相对应的垂直于结合面的轴向力设计值(kN),取绝对值进行计算; Asd——垂直穿过结合面所有钢筋的面积(mm2); fc——预制柱混凝土轴心抗压强度设计值(kN/m2); fy——垂直穿过结合面钢筋抗拉强度设计值(kN/m2)。
5.3.9 对钢柱或钢管混凝土柱,上、下柱的现场焊接应采用坡口全熔透焊缝,焊缝等级应为一级。
Ⅱ 提升阶段验算
5.3.10 各个提升单元内的柱,应按实际提升程序分别对搁置状态和正在提升的状态进行群柱稳定性验算和单柱偏心受压承载力验算。
5.3.11 提升阶段单柱偏心受压承载力验算应符合下列规定: 1 对提升阶段的单柱,应分别选取最不利荷载组合的最大内力截面和被孔洞削弱的截面进行单柱偏心受压承载力验算。 2 单柱弯矩计算可不考虑提升阶段结构侧移的影响,按无侧移结构进行计算,单柱的最大弯矩设计值应乘以偏心距增大系数η。偏心距增大系数η应按本标准公式(4.2.9)计算。 3 单柱的计算长度可按无侧移的铰接排架结构确定,取上下相邻临时或永久搁置板之间的一倍长度;提升状态时提升点至最高一层临时或永久搁置板之间的柱段计算长度,应取该柱段长度的2倍。 4 钢筋混凝土柱、钢柱、钢管混凝土柱的偏心受压承载力应分别按现行国家标准《混凝土结构设计规范》GB 50010、《钢结构设计标准》GB 50017和《钢管混凝土结构技术规范》GB 50936的规定进行验算。
Ⅲ 使用阶段
5.3.12 使用阶段应分别对最不利荷载组合下内力设计值最大的柱截面进行偏心受压承载力和受剪承载力验算。被孔洞削弱的截面,应采用细石混凝土或加固型灌浆料填实,细石混凝土或加固型灌浆料的强度等级应提高至少一级。
5.3.13 一、二、三级抗震等级的板柱结构,其底层钢筋混凝土柱的下端截面组合弯矩设计值应分别乘以增大系数1.7、1.5、1.3。底层钢筋混凝土的柱纵向钢筋应按上下端的不利情况配置。
5.3.14 柱端部截面的剪力设计值V应符合下列规定: 1 一级抗震等级的板柱结构

式中:Mtcua——偏心受压柱的上端顺时针或反时针方向实配的正截面抗震受弯承载力所对应的弯矩值(kN·m),应根据柱实配钢筋面积、材料强度标准值和轴压力等确定; Mbcua——偏心受压柱的下端顺时针或反时针方向实配的正截面抗震受弯承载力所对应的弯矩值(kN·m),应根据柱实配钢筋面积、材料强度标准值和轴压力等确定; Hn——柱的净高(m)。 2 除板柱结构外的一级抗震等级的柱、二级和三级抗震等级的柱

式中:Mtc——柱的上端顺时针或反时针方向截面组合的弯矩设计值(kN·m),板柱结构的底层柱弯矩设计值应按本标准第5.3.13条的规定调整; Mbc——柱的下端顺时针或反时针方向截面组合的弯矩设计值(kN·m),板柱结构的底层柱弯矩设计值应按本标准第5.3.13条的规定调整; ηvc——柱剪力增大系数。对板柱结构,抗震等级为二、三级应分别取1.3、1.2;对板柱-支撑结构和板柱-剪力墙结构,抗震等级为一、二、三级应分别取1.4、1.2、1.1。 3 角柱的端部截面剪力设计值除应按本条第1、2款的规定计算外,尚应再乘以不小于1.1的增大系数。
5.3.15 对于剪跨比大于2、混凝土强度等级不高于C60的钢筋混凝土柱,其轴压比不宜超过表5.3.15的规定。对于剪跨比不大于2但不小于1.5的柱,其轴压比限值应比表中数值相应降低0.05;对于剪跨比小于1.5的柱,其轴压比限值应专门研究。
表5.3.15 钢筋混凝土柱的轴压比限值

5.3.16 钢筋混凝土柱全部纵向钢筋的配筋率不应小于表5.3.16的规定,且柱截面每一侧纵向钢筋配筋率不应小于0.2%;采用HRB335和HRB400MPa钢筋时,应分别按表中数值增加0.1和0.05采用。
表5.3.16 柱纵向钢筋最小配筋百分率(%)


表5.3.17 钢柱截面板件宽厚比限值



表5.3.19 矩形钢管混凝土柱的轴压比限值

5.3.20 钢管混凝土柱在浇筑混凝土前,钢管的轴向压应力不宜大于钢管抗压强度设计值的60%。
5.3.21 无地下室时,钢柱、钢管混凝土柱应采用埋入式柱脚,埋入深度不应小于钢柱截面长边尺寸或钢管外径的2.5倍;有地下室且柱脚延伸至地下至少两层时,可采用非埋入式柱脚。
5.4 剪力墙设计
5.4.1 剪力墙厚度不应小于180mm,且不宜小于层高或无支长度的1/20;房屋高度大于12m时,墙厚不应小于200mm。
5.4.2 剪力墙各墙肢截面的内力设计值,应按下列规定采用: 1 抗震等级为一级的剪力墙底部加强部位以上部位,墙肢的弯矩设计值应乘以增大系数1.2,剪力应相应调整; 2 双肢剪力墙中,墙肢不宜出现小偏心受拉;当任一墙肢为偏心受拉时,另一墙肢的剪力设计值、弯矩设计值应乘以增大系数1.25。
5.4.3 一、二级抗震等级的剪力墙底部加强部位,其截面的剪力设计值应按下式调整:

式中:V——剪力墙底部加强部位截面的剪力设计值(kN); Vw——剪力墙底部加强部位截面的剪力计算值(kN); ηvw——剪力墙剪力增大系数,抗震等级为一、二级时,可分别取1.6和1.4。
5.4.4 剪力墙采用升提或升滑施工时,对未与其他墙肢形成芯筒的单片剪力墙,其平面外悬臂高度不应大于表5.4.4的允许值。墙体悬臂高度取值应符合下列规定: 1 当墙体与楼板无可靠连接时,应取墙体基础顶面或混凝土地坪面至墙体顶面间的距离; 2 当墙体与楼板有连接且连接间距不大于柱距和6m的较大值时,应取与墙体连接的最高一层楼板与次一层楼板之间中点至墙体顶面间的距离(图5.4.4-1):

图5.4.4-1 墙体悬臂高度Hw示意
3 当墙面开孔时(图5.4.4-2),表5.4.4中的墙体允许悬臂高度应乘以折算系数ψw。ψw应按下式进行计算:

式中:l——柱距(m); bn——该柱距中墙的净宽度(m); γw——墙面开孔率。
表5.4.4 墙体允许悬臂高度[Hw]


图5.4.4-2 墙的净宽度bn
5.4.5 楼板与墙体间的连接件在施工阶段应按承受墙体允许悬臂高度范围内的风荷载进行受拉、受压、受剪承载力验算,并应对墙体连接点处的混凝土进行局部受压承载力验算。
5.4.6 升提或升滑施工的墙体,在施工阶段还应按钢筋混凝土受弯构件进行承载力验算,所需配筋过多时,宜改变提升程序或增加连接。墙体在施工阶段的内力计算应符合下列规定: 1 不开孔墙体承载力验算时,每米宽度的弯矩m应按下式计算:

式中:W——施工阶段的风荷载设计值(kN/m2),可取现行国家标准《建筑结构荷载规范》GB 50009规定的10年一遇的风荷载值; Hw——墙体的悬臂高度(m)。 2 开孔墙体承载力验算时,每米宽度的弯矩m应按下式计算:

式中:l——柱距(m); bn——该柱距中墙的净宽度(m); γm——墙面开孔率。 3 进行提升阶段群柱稳定性分析中将剪力墙作为侧向支撑时,应根据内力复核剪力墙配筋。
5.4.7 利用外墙或内筒体作为剪力墙时,应通过连接钢筋或钢板传递楼板与剪力墙之间的剪力。
5.4.8 剪力墙的承载力计算和构造设计,除应符合本节规定外,尚应符合国家现行标准《混凝土结构设计规范》GB 50010、《建筑抗震设计规范》GB 50011和《高层建筑混凝土结构技术规程》JGJ 3的有关规定。
5.5 节点设计
5.5.1 在混凝土升板结构中,楼盖与柱宜采取可靠的刚性连接措施,宜采用后浇柱帽连接节点(图5.5.1a).也可采用无柱帽的连接节点(图5.5.1b)。
5.5.2 板柱节点在竖向荷载和水平地震作用下的总剪力设计值

图5.5.1 后连接节点 1-柱内预埋件;2-板柱连接件;3-板内预埋钢板;4-后浇混凝土或灌浆料;5-承重销;6-齿槽
应按下列公式计算:

式中:V——板柱节点的总剪力设计值(kN); Vh——水平荷载作用下的剪力设计值(kN); VV——竖向荷载作用下的剪力设计值(kN); Mr1——水平荷载作用下的左侧柱等代框架梁刚域边缘处的弯矩设计值(kN·m); Mr2——水平荷载作用下的右侧柱等代框架梁刚域边缘处的弯矩设计值(kN·m); l——等代框架的柱距(m)。
5.5.3 楼盖与柱采用后浇柱帽连接时,应符合下列规定: 1 后浇柱帽尺寸和构造要求应符合现行行业标准《无粘结预应力混凝土结构技术规程》JGJ 92的规定,并应按现行行业标准《无粘结预应力混凝土结构技术规程》JGJ 92的规定进行受冲切承载力验算。 2 在后浇柱帽高度范围内,柱上应设置齿槽,并应按下式验算其受剪承载力:

式中:V——板柱节点的总剪力设计值(N),按本标准公式(5.5.2-1)计算; ft——后浇柱帽混凝土抗拉强度设计值(N/mm2); n——齿槽的数量; ut——齿槽外口周边长度(mm); ht——齿槽的高度(mm); γRE——承载力抗震调整系数。非抗震设计时取为1.0,抗震设计时取为1.125。 3 每个方向上,后浇柱帽上部与柱的钢板连接件及连接焊缝均应按现行国家标准《钢结构设计标准》GB 50017的规定对其强度进行验算。验算时,其承受的轴心拉力设计值应按下式计算:

式中:NW——每个连接件承受的轴向力设计值(kN); M——板柱节点在验算方向的不平衡弯矩设计值(kN·m); n——验算方向上连接件的数量; hw——连接件至板底的距离(m)。 4 在柱帽宽度范围内,应在楼板上设置混凝土浇筑孔;柱帽内应配置架立筋及箍筋,架立筋直径不宜小于12mm,箍筋直径不宜小于10mm,沿柱高方向的箍筋间距不宜大于100mm(图5.5.3);楼板上部钢筋应与板内预埋钢板可靠连接。
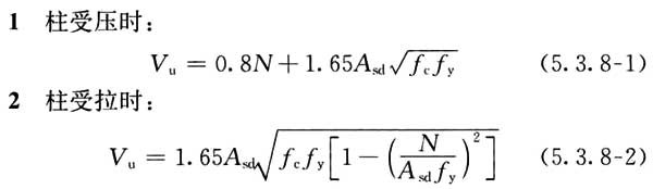
5.5.4 楼盖与柱采用无柱帽节点连接时,应符合下列规定: 1 应设置承重销(图5.5.4-1),可按连续支承的悬臂梁验

图5.5.3 后浇柱帽节点配筋示意 1-柱上预埋件;2-板柱连接件;3-板内预埋钢板;4-板上预留浇筑孔;5-承重销;6-齿槽①-角部架立筋,与柱主筋焊接;②-架立筋;③-箍筋;④-浇筑孔内销筋

图5.5.4-1 无柱帽节点中承重销示意 1-柱内预埋件;2-板柱连接件;3-板内预埋钢板;4-后浇灌浆料;5-承重销
算其承载力(图5.5.4-2)。验算时,剪力应取按本标准第5.5.2条计算的剪力设计值V,弯矩应取按图5.5.4-2的计算值并乘以

图5.5.4-2 取重销计算简图
1.15~1.25的放大系数;应对承重销搁置处的板底进行局部受压承载力验算。 2 每个方向上,楼盖上部和下部与柱的钢板连接件及连接焊缝均应按现行国家标准《钢结构设计标准》GB 50017的规定对其强度进行验算。验算时,其承受的轴向拉力设计值应按本标准公式(5.5.3-2)计算。 3 楼板钢筋应与板内预埋钢板可靠连接。
5.5.5 楼盖中的吊装节点及吊装预埋件应结合吊装设备与吊装工艺进行承载力验算。
5.6 支撑设计
5.6.1 在升板结构中设置支撑时,可采用普通钢支撑或屈曲约束支撑,并应符合下列规定: 1 普通钢支撑可采用十字交叉斜杆和单斜杆,不应采用人字斜杆或V形斜杆。采用单斜杆时,应同时设不同倾斜方向的两组斜杆,且每层中不同方向单斜杆的截面面积在水平方向的投影面积之差不应大于10%。 2 屈曲约束支撑可采用单斜杆、人字斜杆或V形斜杆。
5.6.2 支撑可按轴心受力构件设计,轴向力设计值可按下列公式计算:

式中:S——构件内力组合的设计值; Sw——风荷载标准值的效应; SEhk——水平地震作用标准值的效应; SEvk——竖向地震作用标准值的效应; γw——风荷载的分项系数,取1.4; γEh——水平地震作用分项系数,按现行国家标准《建筑抗震设计规范》GB 50011的规定取用; γEv——竖向地震作用分项系数,按现行国家标准《建筑抗震设计规范》GB 50011的规定取用; ψw——风荷载组合值系数,按现行国家标准《建筑结构荷载规范》GB 50009的规定取用。
5.6.3 普通钢支撑设计时,除应符合现行国家标准《钢结构设计标准》GB 50017关于轴心受力构件的有关规定外,尚应符合下列规定: 1 支撑应采用双轴对称截面; 2 长细比不应大于80

; 3 支撑杆件的板件宽厚比不应大于表5.6.3规定的限值;
表5.6.3 钢支撑板件宽厚比限值

注:表列数值适用于Q235钢,采用其他牌号钢材应乘以

,圆管应乘以235/fay。 4 多遇地震作用组合下,其内力设计值应乘以增大系数1.5; 5 多遇地震作用组合下,支撑受压承载力应符合下列公式规定:

式中:N——支撑轴向力设计值(N); Abr——普通钢支撑截面面积(mm2); φ——支撑的稳定系数; ψ——受循环荷载时的钢材抗拉强度设计值降低系数; λn——支撑的正则化长细比; fy——钢材抗拉强度设计值(N/mm2); λ——支撑的长细比; fay——钢材屈服强度(N/mm2); E——钢材弹性模量(N/mm2); γRE——承载力抗震调整系数,取0.9。
5.6.4 屈曲约束支撑设计时,除应符合现行行业标准《建筑消能减震技术规程》JGJ 297关于屈曲约束支撑的有关规定外,尚应符合下列规定: 1 风荷载或多遇地震下,屈曲约束支撑应处于弹性状态; 2 多遇地震作用组合下,支撑受压承载力应符合下式规定:

式中:Abq——约束屈服段的钢材截面面积(mm2); fy——钢材抗拉强度设计值(N/mm2); γRE——承载力抗震调整系数,取0.9。
5.6.5 支撑一端与边柱相连时,连接处的楼板应设置附加钢筋,附加钢筋的截面面积At可按下式进行计算:

式中:Nbl——支撑轴向力设计值水平分量(N); fy——附加钢筋抗拉强度设计值(N/mm2)。
5.6.6 支撑连接节点承载力Fc应满足下式的要求:

式中:Nub——支撑最大承载力(kN),取支撑屈服承载力的1.5倍或罕遇地震下支撑轴力。
5.6.7 支撑与升板结构连接时的节点板,应符合现行国家标准《钢结构设计标准》GB 50017的有关规定。
5.6.8 预埋件的锚筋应与钢板连接牢固。锚筋的锚固长度宜大于20倍锚筋直径,且不应小于250mm,锚固长度不足时应设置弯钩或采取机械锚固等措施。
6 构件制作与安装
6.1 一般规定
6.1.1 升板结构的构件制作与安装应符合国家现行标准《混凝土结构工程施工规范》GB 50666、《钢结构工程施工规范》GB 50755和《装配式混凝土结构技术规程》JGJ 1的有关规定。
6.1.2 构件制作前应按现行国家标准《混凝土结构工程施工质量验收规范》GB 50204的规定对原材料、供应品、生产过程中的半成品和成品进行验收。
6.1.3 混凝土构件的制作模具应具有规定的强度、刚度和整体稳固性,并应满足构件预留孔、插筋、预埋吊件及其他预埋件的定位要求。
6.1.4 采用后浇混凝土或砂浆、灌浆料连接的预制构件结合面,应按设计要求进行粗糙面处理。
6.2 柱
6.2.1 升板结构中,预制混凝土柱的制作应符合下列规定: 1 截面尺寸的制作偏差不应大于5mm。 2 柱高度不大于20m时,侧向弯曲变形不应超过12mm;柱高度大于20m时,侧向弯曲变形不应超过15mm。 3 柱顶和柱底的表面应平整,并应垂直于柱的轴线。 4 柱底部中线与轴线偏移不应超过5mm。柱顶竖向偏差不应超过柱高的1/1000,且不大于20mm。 5 柱预留齿槽位置应符合设计要求,棱角应方正。预留齿槽深度不应超过受力钢筋的保护层厚度,宽度宜为75mm~100mm。 6 柱上就位孔位置应准确,孔的轴线偏差及孔底两端高差均不应超过5mm,孔底应平整,同一标高的孔底标高允许偏差应为—15mm~0mm,孔的尺寸允许偏差应为—5mm~+10mm。 7 预制混凝土柱在脱模起吊时,同条件养护的混凝土立方体试块抗压强度不宜小于15N/mm2。
6.2.2 升板结构中,钢管混凝土柱的制作应符合下列规定: 1 钢管内混凝土宜采用自密实混凝土,采用其他混凝土材料时,应保证混凝土浇筑密实。 2 钢管内混凝土应连续浇筑完成。当不能连续浇筑时,可留设施工缝。施工缝宜留于钢管端口以下500mm~600mm处。混凝土终凝后,可注入清水养护,水深不宜少于200mm。 3 钢管混凝土的浇筑质量可采用敲击钢管或其他有效方法进行检查。
6.2.3 升板结构中,钢柱的制作应符合下列规定: 1 钢柱底部中线与轴线偏移不应超过5mm。柱顶竖向偏差不应超过柱高的1/1000,且不应大于20mm。 2 就位孔位置应准确,孔的轴线偏差及孔底两端高差均不应超过5mm,孔底应平整,同一标高的孔底标高允许偏差应为—15mm~0mm,孔的尺寸允许偏差应为—5mm~+10mm。 3 停歇孔位置应根据提升程序确定,其质量要求应与就位孔相同。柱的上下两孔之间的净距不应小于300mm。
6.2.4 预制混凝土柱中预埋件的安装应符合下列规定: 1 预埋件不应凸出柱面,凹进柱面不宜超过3mm; 2 预埋件表面应平整,不得有翘曲变形。
6.2.5 预制柱需接长时,接头数不宜超过3个,并应保护预留接长钢筋。
6.2.6 现浇混凝土柱可采用升模或滑模施工,并应符合下列规定: 1 采用滑模施工时,宜按提升单元进行施工。滑模施工宜连续进行,并应控制滑模速度。当柱高度与界面较小边长之比大于50或柱高超过30m时,应有保证稳定的施工技术措施。 2 采用升模施工时,其浇筑位置由每次施工高度确定,操作平台、柱模及脚手架应按现行国家标准《混凝土结构工程施工规范》GB 50666的规定进行设计,并不应影响提升施工。 3 在现浇混凝土柱上进行提升施工时,其混凝土强度不应低于15MPa。
6.2.7 提升施工需要工具柱时,工具柱的制作与安装应符合下列规定: 1 工具柱应经专门设计,应构造合理、安全可靠、通用性强及方便拆装; 2 工具柱的布置应合理,提升期间应保证其稳定性; 3 采用钢管制作工具柱时,宜采用无缝钢管; 4 当承重结构达到设计要求后,方可拆除工具柱; 5 工具柱应定期检查与维修,有变形、损伤、严重锈蚀等缺陷时,不得使用。
6.3 楼 盖
6.3.1 制作首层楼盖时,地下室顶板可作为胎模,并应进行承载力和变形验算。
6.3.2 采用首层地坪作为胎膜时,在施工首层楼盖前应对首层地坪下方的地基进行处理。地基处理应符合下列规定: 1 地基处理方案应经技术经济比较综合确定。经处理后的地坪下垫层,其承载力应进行验算。 2 基础垫层材料可选用砂石、粉质黏土、灰土、粉煤灰、矿渣等。基础垫层的厚度应根据需要置换软弱土的深度或下卧层的承载力确定;垫层底面的宽度应满足基础底面应力扩散的要求。 3 基础垫层的压实标准应符合现行行业标准《建筑地基处理技术规范》JGJ 79的规定。
6.3.3 胎模施工应符合下列规定: 1 胎模应平整光洁,不应下沉、开裂、起砂或起鼓; 2 胎模的垫层应分层夯实、均匀密实; 3 提升环位置胎模标高的相对允许偏差应为±2mm; 4 胎模设伸缩缝时,伸缩缝与楼板接触处应做好隔离处理。
6.3.4 楼板与胎模之间及楼板与楼板之间应设置隔离层。隔离层施工应符合下列规定: 1 隔离层材料应具有防水性、耐磨性,且应易于清除,可采用涂刷或铺贴式材料。 2 涂刷隔离层时,胎模和楼板的混凝土强度不应低于1.2MPa。隔离层涂刷应均匀,应待其表面干燥后再进行下道工序。 3 采用铺贴式材料时,铺贴应平整,接槎处的搭接宽度不应小于50mm。 4 隔离层应进行保护。施工过程有破损时,应在混凝土浇筑前修补;修补时应避免污染钢筋、混凝土芯模及其他填充材料。
6.3.5 楼盖中预埋件的设置应符合下列规定: 1 楼盖中的预埋件、预留孔和预留洞均不得遗漏,且应安装牢固,其位置偏差不应超过3mm; 2 设置锚筋的预埋件,锚筋中心至锚板边缘的距离不应小于2倍锚筋直径和20mm,锚筋应位于构件的外层主筋的内侧; 3 楼盖内有预埋管线时,预埋管线应在浇筑混凝土前预先放置并固定,固定时应采用防止管线破坏及污染表面的保护措施; 4 板的各种预留孔洞应画线预留,并在浇筑混凝土前校正。预留孔拆模后,应避免浇筑上一层板时混凝土进入预留孔。
6.3.6 密肋板的施工应符合下列规定: 1 密肋板施工,可采用塑料、金属等工具式模壳、预制混凝土芯模或用轻质材料填充;格梁板施工,可采用预制钢筋混凝土芯模或定型组合钢模。 2 工具式模壳或芯模,应保证使用时的强度与刚度,其表面应平整光滑、规格统一、边缘整齐。 3 工具式模壳或芯模应弹线放置,底部应垫实。工具式模壳应预涂隔离剂。采用预制混凝土芯模或填充材料时,其表面宜粗糙,并应有规整的外形,浇筑混凝土前,芯模或填充材料应浇水润湿,但不应损坏隔离层。 4 应在各层板四周的外侧支好边模,在其下部每隔适当位置应留出排水孔,避免隔离层被水浸泡。
6.3.7 空心楼盖的制作应符合下列规定: 1 空心楼盖内模的外观质量、尺寸偏差、物理力学性能应符合现行行业标准《现浇混凝土空心楼盖技术规程》JGJ/T 268的有关规定。 2 施工中应采取防止内模损坏的措施。内模在板面钢筋安装之前发生损坏时,应予以更换;在板面钢筋安装之后发生损坏时,应修补完整。 3 浇筑混凝土时,应采取防止内模上浮及钢筋移位的措施。 4 浇筑混凝土过程中,应对内模进行观察和维护,发生异常情况时,应按施工方案进行处理。 5 施工中内模需要接长时,可将内模直接对接;内模需截断时,应采取措施保证截断后内模的完整性。 6 空心楼盖预埋管线的安装应与钢筋安装、预应力筋铺设、内模安装等工序交叉进行。
6.4 剪力墙
6.4.1 剪力墙作为施工阶段的抗侧力结构时,应在楼盖提升前施工。在提升过程中,应按设计要求和提升程序的规定及时完成楼盖与剪力墙的连接。
6.4.2 现浇剪力墙施工时,应在基础梁或下一层墙体内设置插筋。钢筋混凝土墙体的插筋数量不应低于设计要求。
6.4.3 墙体配筋宜优先采用焊接钢筋网片。在运输、堆放和吊装过程中,应采取措施防止钢筋产生弯折变形和焊点脱开。
6.4.4 钢筋的搭接部分应调直并绑扎牢固。搭接位置和长度应符合设计要求。双排钢筋之间、钢筋与模板之间应采取措施保证其位置准确。
6.4.5 剪力墙钢筋绑扎应与模板的提升速度相适应,水平钢筋应在混凝土入模前绑扎完毕。
6.4.6 现浇剪力墙施工过程中,当风力大于6级时,应暂停升提或升滑,并应采取保证竖向结构整体稳定的措施。
6.4.7 采用预制墙体外墙模时,应先将外墙模安装到位,再进行内衬现浇混凝土剪力墙的钢筋绑扎。
6.4.8 预制墙体插筋影响现浇混凝土结构部分钢筋绑扎时,可在预制构件上预留接驳器,待现浇混凝土墙体钢筋绑扎完成后,再将插筋旋入接驳器。
6.4.9 在升层结构中,围护墙体的制作与安装应符合下列规定: 1 在提升阶段,围护墙体应采取保证自身稳定的措施; 2 升板结构的墙板应在楼板脱模后安装。墙板就位、校正后,应与楼板临时支撑固定,并完成墙板拼缝的镶嵌。有条件时,宜进行外装饰。
6.4.10 在升层结构中,应采取下列增加稳定性的措施: 1 剪力墙应先施工; 2 楼层搁置后,板柱节点应采取临时连接措施; 3 施工中,应观测柱的侧向变形,变形值不应超过柱高度的1/1000,且不应大于20mm。
7 楼盖提升与固定
7.1 一般规定
7.1.1 楼盖提升前,施工单位除应编制施工方案外,尚应编制专项安全施工方案。
7.1.2 提升荷载应包括楼盖自重与施工荷载,并应考虑提升差异及振动的影响。提升阶段利用楼盖提运材料、设备时应经验算,并应规定允许堆放范围。
7.1.3 提升时混凝土同条件养护的混凝土立方体试块抗压强度应符合设计要求。
7.1.4 楼盖提升前,应做好各种准备工作,并应进行技术交底。
7.1.5 在提升过程中,应对柱的水平偏移和楼盖提升点的升差进行监测。
7.1.6 在提升过程中,群柱应有可靠的稳定措施,并应在允许的风力环境下施工。
7.1.7 楼盖在提升中的临时停歇搁置和到达设计标高就位时,应检查楼盖的平面位置、搁置偏差等,偏差超过允许范围时应分析原因并进行调整。
7.1.8 提升设备应建立维修保养制度并定期校验。提升机应编号并建立使用、维修、保养档案卡片。施工过程中应定期检查提升设备的承重部件的磨损程度,超过限值时应予调换。
7.1.9 固定或临时固定楼盖的承重装置及其连接应经验算,保证其承载力、刚度和稳定性。
7.2 提升系统
7.2.1 对于结构布置均匀的升板结构,初选设备时,提升力的设计值可按下式估算:

式中:ηL——荷载效应放大系数。考虑提升过程中的动力效应、提升差异等影响对荷载进行调整,当提升差异不超过10mm时,ηL值可取1.6~3.0; A——提升机所担负的楼盖范围,可按两相邻区格楼盖的中线划分(m2); Gk——楼盖自重荷载标准值(kN/m2); QCk——提升阶段楼盖上的施工荷载(kN/m2)。
7.2.2 提升系统的使用负载应由提升力确定,提升力的设计值应按下列公式计算:

式中:γG——板自重作用分项系数,永久荷载效应起控制作用时取1.35,可变荷载效应起控制作用时取1.2; γCQ——施工活荷载作用分项系数,应取1.4; γl——提升差异作用分项系数,应取1.25; K——动力系数,应取1.2; SGk——板自重作用效应值; SQk——施工荷载作用效应值; SLk——提升差异作用效应值,按本标准第4.2.4条规定计算; ψCQ——可变荷载组合系数,应取0.7。
7.2.3 选取提升设备时,应将额定负荷能力乘以折减系数后作为其提升操作使用的设计值。对穿心式千斤顶,折减系数可取0.8~0.9;电动螺杆升板机可不折减;其他设备的折减系数应通过试验确定。
7.2.4 提升吊杆可采用钢绞线或钢拉杆,且应符合下列规定: 1 吊杆应采用高强度、延性及可焊性好的钢材,残余变形超过5‰时应予以更换。 2 吊杆的端头应牢固。采用焊接时,其焊接质量应经检测,焊接端头强度不应低于母材的强度。 3 采用钢绞线做吊索时,应选用低松弛钢绞线,其质量应符合现行国家标准《预应力混凝土用钢绞线》GB/T 5224的规定。钢绞线吊索锁具质量应符合现行国家标准《预应力筋用锚具、夹具和连接器》GB/T 14370的规定。 4 楼盖的提升预留环和承压孔应与吊杆相匹配,安装千斤顶的支架及其与柱的连接应经验算,且应满足承载力、刚度和稳定性要求。
7.2.5 选用提升吊杆时,其拉力设计值不应小于提升力设计值,并应符合下列规定: 1 钢绞线的拉力设计值不应超过其极限抗拉力标准值的50%; 2 高强钢拉杆的拉力设计值不应超过其极限抗拉力标准值的60%。
7.3 楼盖提升
7.3.1 楼盖在提升前,应制定提升程序,其内容应包括:提升方式、步距、吊杆组配、群柱稳定措施及施工进度等。
7.3.2 各台提升机或千斤顶工作应同步,安装时应使提升机或千斤顶基座水平,其中线应与柱的轴线对准,提升丝杆和吊杆或吊索应垂直并松紧一致。
7.3.3 提升施工前应先进行楼盖的脱模。脱模后,应按基准线进行校核与调整,板搁置前后应测调并做好记录。脱模顺序可按角、边、中柱为序,也可由边柱向里逐排进行,每次提升高度不宜大于5mm。
7.3.4 楼盖脱开后应作空中悬停,并应对提升柱的偏移、结构变形、连接构造等进行检查,符合设计要求后方可继续提升。
7.3.5 楼盖在提升过程中应同步提升,相邻柱间的提升差异不应超过10mm,搁置差异不应超过5mm。
7.3.6 楼盖不宜在提升中途悬挂停歇;特殊情况下必须悬挂停歇时,应采取有效的支撑措施。
7.3.7 楼盖提升过程中,升板结构不得作为其他设施的支撑点或缆索锚点。
7.4 楼盖固定
7.4.1 混凝土升板结构的楼盖提升就位后,应及时按设计要求对楼盖固定。
7.4.2 混凝土升板结构的楼盖就位时的位置偏差应符合下列规定: 1 楼盖的平面位移不应大于25mm; 2 楼盖的就位偏差不应大于5mm。
7.4.3 采用后浇柱帽固定楼盖时,后浇柱帽范围内楼盖底部的隔离层应清理干净;混凝土界面应进行凿毛处理并湿润;节点中钢筋应可靠连接;后浇混凝土应振捣密实,并应采取专门措施进行养护。
7.4.4 采用承重销固定楼盖时,楼盖与承重销间应紧密、平整,承重销应无变形,并应采取防腐蚀与防火保护措施。
7.5 临时稳定措施
7.5.1 对四层以上的升板结构,在提升过程中最上两层楼盖应至少有一层楼盖交替与柱子楔紧,并应尽早使楼盖与柱形成刚接。
7.5.2 采用柱顶式提升时,应利用柱顶间的临时走道将各柱顶连接稳固。
7.5.3 柱安装时,边柱的停歇孔应与板边垂直,相邻排柱的停歇孔宜互相垂直。
7.5.4 在提升过程中,可增设柱间临时可拆卸支撑。当结构设有电梯井、楼梯间等筒体时,也可利用其作为结构侧向支撑,此时筒体宜先施工。
7.5.5 五层或20m以上的升板结构,在提升和搁置时,应至少有一层板与先期施工的抗侧力结构有可靠的连接。
7.6 支撑安装
7.6.1 支撑的安装应符合专项施工方案和现行国家标准《钢结构工程施工规范》GB 50755的规定。
7.6.2 支撑可按施工前准备、施工前检查、运输、误差消除、起吊、临时固定、校正、最终固定的步骤进行安装。
7.6.3 支撑应在主体结构完成后安装。
7.6.4 支撑施工安装偏差应符合表7.6.4的规定。
表7.6.4 支撑安装允许偏差


8 工程验收
8.1 一般规定
8.1.1 混凝土升板结构工程应按混凝土结构子分部工程进行验收。验收时,除应符合本标准规定外,尚应符合国家现行标准《混凝土结构工程施工质量验收规范》GB 50204、《钢结构工程施工质量验收规范》GB 50205、《钢管混凝土工程施工质量验收规范》GB 50628及《装配式混凝土结构技术规程》JGJ 1的有关规定。
8.1.2 预制混凝土构件的进场质量验收应符合现行国家标准《混凝土结构工程施工质量验收规范》GB 50204的规定;钢结构构件的进场质量验收应符合现行国家标准《钢结构工程施工质量验收规范》GB 50205的规定。
8.1.3 采用后浇柱帽节点时,浇筑混凝土之前应进行隐蔽工程验收。隐蔽工程验收应包括下列主要内容: 1 混凝土粗糙面的质量,键槽的尺寸、数量、位置; 2 钢筋的牌号、规格、数量、位置、间距,箍筋弯钩的弯折角度及平直段长度; 3 钢筋的连接方式、接头位置、接头数量、接头面积百分率、搭接长度、锚固方式及锚固长度。
8.1.4 升板结构构件的外观质量缺陷应由监理单位、施工单位等各方根据其对结构性能和使用功能影响的严重程度,按现行国家标准《混凝土结构工程施工质量验收规范》GB 50204的规定确定。
8.2 结构构件与安装
Ⅰ 主控项目
8.2.1 结构构件的外观质量不应有严重缺陷。对已经出现的严重缺陷,应由施工单位提出技术处理方案,并经监理单位认可后进行处理;对裂缝或连接部位的严重缺陷及其他影响结构安全的严重缺陷,技术处理方案尚应经设计单位认可。对经处理的部位应重新验收。 检查数量:全数检查。 检验方法:观察,检查技术处理方案。
8.2.2 结构构件不应有影响结构性能和使用功能的尺寸偏差。对超过尺寸允许偏差且影响结构性能或安装、使用功能的部位,应由施工单位提出技术处理方案,并经监理、设计单位认可后进行处理。对经处理的部位应重新验收。 检查数量:全数检查。 检验方法:量测,检查技术处理方案。
8.2.3 结构预埋件和预留孔应按设计图纸设置。预埋件数量、规格、位置应满足设计要求。 检查数量:全数检查。 检验方法:量测。
8.2.4 钢结构构件的制作和安装应符合设计和现行国家标准《钢结构工程施工质量验收规范》GB 50205的规定。运输、堆放和安装等造成的钢构件变形及涂层脱落,应进行矫正和修补。 检查数量:全数检查。 检验方法:量测或观察。
8.2.5 结构构件定位应准确,并应满足设计及安装要求。 检查数量:全数检查。 检验方法:量测。
8.2.6 屈曲约束支撑在设计位移幅值下往复循环30圈后,主要设计指标误差和衰减量不应超过15%,且不应有明显的低周疲劳现象。 检查数量:同一规格支撑现场抽取总数的3%,且不应少于1个。 检验方法:检查抽样检验报告。
Ⅱ 一般项目
8.2.7 结构构件的外观质量不宜有一般缺陷。对已经出现的一般缺陷,应由施工单位按技术处理方案进行处理,并应重新检查验收。 检查数量:全数检查。 检验方法:观察,检查技术处理方案。
8.2.8 混凝土结构构件的尺寸偏差和检验方法应符合现行国家标准《混凝土结构工程施工质量验收规范》GB 50204的规定。 检查数量:按现行国家标准《混凝土结构工程施工质量验收规范》GB 50204的规定。
8.2.9 结构构件的预埋件及预留孔洞安装允许偏差和检验方法应符合表8.2.9的规定。 检查数量:按楼层、结构缝或施工段划分检验批。在同一检验批内,对梁、柱和独立基础,应抽查构件数量的10%,且不应少于3件;对墙和板,应按有代表性的自然间抽查10%,且不应少于3间;对大空间结构,墙可按相邻轴线间高度5m左右划分检查面,板可按纵、横轴线划分检查面,抽查10%,且均不应少于3面;对电梯井,应全数检查。
表8.2.9 构件预埋件和预留孔洞允许偏差及检验方法


8.2.10 预制构件定位偏差和检验方法应符合现行行业标准《装配式混凝土结构技术规程》JGJ 1的规定。 检查数量:全数检查。
8.2.11 支撑的定位与安装偏差应符合本标准表7.6.4的舰定。 检查数量:全数检查。 检验方法:尺量。
8.2.12 竖向结构构件的垂直度偏差和检验方法应符合表8.2.12的规定。 检查数量:全数检查。
表8.2.12 竖向结构构件垂直度允许偏差及检验方法

注:H为全高,单位为mm。
8.3 连接与固定
Ⅰ 主控项目
8.3.1 节点的连接方式应符合设计要求。 检查数量:全数检查。 检验方法:观察。
8.3.2 钢筋采用套筒灌浆连接时,灌浆应饱满、密实,其材料及连接质量应符合国家现行行业标准《钢筋套筒灌浆连接应用技术规程》JGJ 355的规定。 检查数量:按现行行业标准《钢筋套筒灌浆连接应用技术规程》JGJ 355的规定确定。 检验方法:检查质量证明文件、灌浆记录及相关检验报告。
8.3.3 采用后浇柱帽连接时,粗糙面的质量及键槽的数量应符合设计要求。 检查数量:全数检查。 检验方法:观察。
8.3.4 后浇混凝土的强度应符合设计要求。 检查数量:按现行国家标准《混凝土结构工程施工质量验收规范》GB 50204的规定确定。 检验方法:检查混凝土强度试验报告。
8.3.5 后浇柱帽施工后,其外观质量不应有严重缺陷,且不应有影响结构性能和安装、使用性能的尺寸偏差,对已出现的严重缺陷,应按本标准第8.2节的规定进行处理并重新验收。 检查数量:全数检查。 检验方法:观察,量测;检查技术处理方案。
8.3.6 承重销与钢板连接件的质量应符合设计要求。 检查数量:全数检查。 检验方法:检查质量检验记录。
8.3.7 承重销与钢板连接件的防火与防腐蚀保护措施应符合设计要求。 检查数量:全数检查。 检验方法:观察,检查质量检验记录。
Ⅱ 一般项目
8.3.8 楼盖就位后的位置偏差应符合本标准第7.4.2条的规定。 检查数量:全数检查。 检验方法:尺量。
8.3.9 应按现行国家标准《钢结构工程施工质量验收规范》GB 50205的规定对焊缝的内部缺陷及外观质量进行检验,检验结果应符合该标准的规定。 检查数量:按现行国家标准《钢结构工程施工质量验收规范》GB 50205的规定。 检验方法:按现行国家标准《钢结构工程施工质量验收规范》GB 50205的规定。
8.3.10 后浇柱帽施工后,其外观质量不应有一般缺陷,对已出现的一般缺陷,应按本标准第8.2节的规定进行处理并重新验收。 检查数量:全数检查。 检验方法:观察,检查技术处理方案。
8.4 资料归档
8.4.1 升板结构验收时,除应按现行国家标准《混凝土结构工程施工质量验收规范》GB 50204、《钢结构工程施工质量验收规范》GB 50205的要求提供文件和记录外,尚应提供下列文件和记录: 1 预制构件制作和安装的设计深化图纸; 2 预制构件、主要材料及配件的质量证明文件、进场验收记录、抽样检验报告; 3 预制构件安装施工记录; 4 楼盖与柱的连接施工与验收记录; 5 后浇混凝土部位的隐蔽工程检查验收记录; 6 后浇混凝土的强度检验报告; 7 楼盖提升与就位施工检查与监测记录; 8 装配式结构分项工程质量验收文件; 9 其他必要的文件和记录。
8.4.2 升板结构施工质量验收合格后,应将所有的验收文件存档备案。
附录A 变刚度等代悬臂柱的截面刚度修正系数
A.0.1 变截面等代悬臂柱的截面刚度修正系数ξ可按表A.0.1取值。
表A.0.1 变截面等代悬臂柱的截面刚度修正系数ξ

注:ξ1为钢筋骨架刚度EaIa与柱底混凝土截面刚度EbcIbc之比值; ξ2为能与钢骨架共同工作的混凝土弹性模量Eca与柱底混凝土弹性模量Ebc之比值。
A.0.2 材料改变时,变刚度等代悬臂柱的截面刚度修正系数ξ可按表A.0.2取值。
表A.0.2 材料改变时,等代悬臂柱的截面刚度修正系数ξ



注:δ为Hn1范围内未浇筑混凝土的钢骨架和混凝土强度不足10MPa部分的高度δHn1与Hn1的比值; ξ1为钢筋骨架刚度EaIa与柱底混凝土截面刚度EbcIbc之比值; ξ2为能与钢骨架共同工作的混凝土弹性模量Eca与柱底混凝土弹性模量Ebc之比值(图A.0.2)。

图A.0.2 钢管混凝土柱计算简图
附录B 群柱与筒体或剪力墙共同工作时的计算长度系数
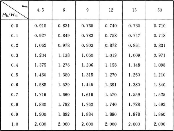
表B 计算长度系数μ

注:1 在不同施工情况下Hb和Hn1(图B)。 2 awc为筒体或剪力墙的刚度与群柱刚度之比。图B中(c)、(d)所示变刚度柱的刚度可取ξEbcIbc,其中ξ按附录A取用。图B中(b)、(d)所示变刚度筒体,可先按在群柱与筒体连接处产生单位位移所要的作用力相等的原则折算成等刚度筒体,然后再查表B进行计算。

图B 群柱与筒体或剪力墙共同工作稳定性刚度计算
附录C 等代框架梁刚域计算长度系数
表C 等代框架梁端部刚域计算长度br与柱帽半宽的比值

注:h为升板结构楼板厚度,当为密肋扳时,取惯性矩相等的折算平均厚度;b为等代框架梁的计算宽度;θ为柱帽倾斜侧面与柱轴线的交角;λcb为柱帽半宽与等代框架梁跨度之比。