




1、化简后被开方数相同的二次根式称为同类二次根式.
2、二次根式加减法的步骤:
(1)将每个二次根式化为最简二次根式;
(2)找出其中的同类二次根式;
(3)合并同类二次根式.
3、二次根式的混合运算注意点:
(1)注意运算顺序
(2)适当应用运算律
(3)适当应用乘法公式
(4)结果为最简二次根式
二次根式的隐含条件也是一个经久不息的考点。
所谓的隐含条件就是题目中没有明说,但是确实是包含在题干中的那些条件。
比如二次根式除了结果非负,根号内的部分也必须非负,这其实就是个隐含条件。中学数学和小学数学的一大区别就是隐含条件的使用,小学可是没有这样的高级货的,所有条件都安排的明明白白的,但是到了中学,必须要学会挖掘隐含条件,这是区别高手和一般选手的界限。
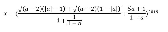
比如我们看在实数范围内,设

求x的个位数。
乍一看这题目没法做,怎么可能解的出来呢?求个位数的前提是这里面一大串的东西得是个整数,但是a的取值看起来你现在根本没法确定,而且很多人就直接被这么一长串式子给吓到了。
像这种未知数的个数多过等式个数,最后又要你求具体的值的题目,一般说来都是有隐含条件的。本题中的隐含条件就是:根号内的部分必须非负。

你看,一个方程四个未知数,所以这肯定不能直接解方程,因为根据方程的理论,几个未知数几个方程你才有可能得到方程的唯一解,这种未知数个数多于方程个数的不定方程一般情况下肯定没有唯一解的。