三、判断题(对打“T”,错打“F”)
1.五害元素可以通过热处理消除。 (F)
2.金属塑性变形时,物体中的各质点是向着阻力最小的方向流动。( T )
3.钢管回火后组织发生了转变。 ( T )
4.任何合金元素都有细化晶粒的作用。 ( F )
5.坯径越大,需要的热量就越多,因此加热温度必须高一些。( F )
6.游标卡尺最小值精确到0.2毫米。( F )
7.我公司三大专用管品种系列是油井管系列、锅炉用管系列、机加工用管系列。 (T)
8.相对45#钢而言,20#钢火花形态为流线数量多,产生的爆花数量也多。( F )
9.穿孔机顶头一般由鼻部、工作锥、反锥组成。( T )
10.过烧管坯只能作废钢,不能再生产钢管。( T )
11.GB/T 17396-1998液压支柱用热轧无缝钢管是强制性标准。( F )
12.增加磨擦系数是改善咬入条件的唯一方法。( F )
13.冷拔管是否可以连拔,主要看上一道拔制时钢管表面的润滑质量。( F )
14.磷化液中的游离酸度越高,磷化速度越快,质量就越好。( F )
15.终轧温度大于920℃的碳素高压锅炉管,可不需要进行正火热处理交货。( T )
16.Q345表示抗拉强度为345MPa的普通碳素结构钢。 ( F )
17.酸洗时间越长,氢原子越容易扩散进入金属基体,越容易产生氢脆。(T )
18.浓酸溅到皮肤上,应立即用大量清水或苏打水冲洗。( T )
19.扩径穿孔增加了金属在变形中的附加变形,易产生外表质量缺陷。( T )
20.一般来讲,调质钢淬火后回火温度越低,钢的强度越高。 ( T )
21.结晶器冷却水质为软水。 ( T )
22.穿孔机顶头一般由鼻部、工作段、反锥组成。( T )
23.管坯在穿孔、轧管时均存在变形抗力。( T )
24.含碳量越高,通常变形抗力越大。( T )
25. 随着碳含量或合金含量的增加,管坯加热速度相应减慢。 ( T )
26.GB/T 17396-1998液压支柱用无缝钢管是强制性标准。( F )
27.为了保证机械性能,冷拔硬状态交货的精密管其成品道次的延伸系数应不小于1.10。( T )
28.当成品高锅管的全脱碳层检验不合格时,应取双倍试样进行复验,复验时如有一个试样不合格,除将不合格者挑出外,对剩余钢管可重新进行热处理。 ( F )
29.GB/T 8163-1999是流体输送用无缝钢管国家标准。( T )
30.在线常化工艺就是荒管轧制完以后冷却到一定温度后再重新加热,然后减径,以得到所需的组织和性能。 ( T )
31.温度是影响金属塑性最主要的原因,金属温度越高,则其塑性越好。( F )
32.按YB/T 5035-1996汽车半轴套管无无缝钢管标准规定,加工的通径圆棒直径可为正偏差,也可为负偏差。 ( F )
33.按GB5310-1995标准,高压锅炉用无缝钢管应按GB 5777的规定逐支进行超声波检验,冷拔(轧)管按C5级执行,热轧(挤、扩)管按C8级执行。( T )
34、终轧温度大于900℃的高压锅炉管,可不需要进行正火热处理交货。( F )
35、穿孔过程中严禁使用弯曲的顶杆。( T )
36、过热钢无法挽救,只能报废。( F )
37、钢管在穿孔前后,其体积基本不变。( T )
38、所有金属材料均存在明显屈服点。( F )
39、20#钢属于亚共析钢。( T )
40、芯棒弯曲只会使脱棒困难,但对钢管本身质量没有影响。( F )
41、正在轧制时也可根据需要调整压下量。( F )
42、前滑区滑移系数大于1,后滑区滑移系数小于1。( T )
43、连轧管园孔形是正圆周形。( F )
44、连铸坯在环形炉坯料加热时,其加热温度应比轧制坯高。( F )
45、送进角为0°时,轧辊入口锥和出口锥实际工作锥角等于设定值。( T )
46、轧制速度越快,轧机负荷越高。( T )
47、一般情况下,随着钢中碳含量的增加,材料变形抗力增加。( T )
48、过烧后的钢坯可以通过热处理后重新轧制。( F )
49、集团公司轧管时所用坯料全部是轧制圆钢。( F )
50、轧制温度、钢种、变形量等均是影响轧制力的主要因素。( T )
51、轧管机每轧制一支钢管所需总时间称为一个轧制节奏。( F )
52、一般来说,相对压下量越大,宽展值也越大。( T )
53、钢管矫直过程中,钢管与矫直辊的接触面积取决于压下量。( F )
54、按横截面形状分,我公司目前所生产的钢管绝大部分为热轧管。( F )
55、钢管在轧制前后重量不变。( F )
56、一般来讲,热轧状态的钢管冲击功较高。( F )
57、轧管过程中,减壁量主要发生在二次咬入之后。( T )
58、斜轧穿孔机的两个轧辊旋转方向是相反的。( F )
59、金属在发生弹性变形过程中没有塑性变形。( F )
60、合金钢的导热系数小,加热时应采用高温快热方式加热。( F )
61、与粗晶组织相比,细晶组织强度要高,塑性要低。( F )
62、钢管在张力减径过程中通过切向变形和径向变形来达到轴向延伸的目的。( T )
63、增加顶头前压缩率可以改善穿孔咬入条件。( T )
64、由于加热温度达到固相线温度,使奥氏体晶界局部熔化,或晶界发生氧化,这种现象称为过热。( F )
65、金属的变形抗力是金属的固有性能,与变形温度无关。( F )
66、当金属试件弹性达到极限时将发生屈服。( T )
67、延伸系数数值永远大于1,而压下系数是一个小于1的数。( T )
68、钢管连轧时钢管轧制速度相等。( F )
69、加热温度不均匀会产生塑性变形不均而造成钢管外折及壁厚不均。( T )
70、连轧过程中,孔型周边上轧辊直径大于轧制直径的各点,即靠近辊环开口附近各点的轧辊圆周速度大与钢管出口速度,这种现象称为后滑。( T )
71、连轧机沿纵轧孔型顶部纵向变形区可分为减径区和减壁区。( T )
72、金属塑性是金属产生塑性变形而不破坏其完整性的( T )
73、开始轧制第一根钢管到开始轧制第二根钢管的延续时间称为轧制节奏。( T ) 74、控制轧制就是控制轧件的速度,以及轧制节奏。 ( F )
75、 控制轧制能省去热处理工序,从而降低成本。 ( T )
76、在其他轧制条件不变的情况下,增大轧辊直径,其前滑也增大。( T )
77、在控制轧制时,一般都要使开轧温度尽可能的降低,但这种降低是有限度的,尤其受到其终轧温度的影响。 ( T )
78、对钢管进行淬火热处理的目的就是为了提高其塑性,消除或减轻其内部组织缺陷。( F )
79、轧机的弹塑性曲线是轧机的弹性曲线与钢管的塑性变形曲线的总称。 ( T ) 80、钢中合金元素越多,导热系数越低。 ( T )
81、固溶体是溶质组元溶于溶剂点阵中而组成的单一的均匀固体,固溶体在结构上的特点是必须保持溶组元的点阵类型。 (F)
82、固体中的原子按一定规律排列时,这种固体叫晶体。 ( T )
83、浇注前进行了不充分脱氧的钢叫镇静钢。 ( F )
84、金属的塑性与柔软性是一致的。 ( F )
85、受力物体内一点只要受力,就会发生塑性变形。 ( F )
86、控制轧制只要求控制终轧温度。 ( F)
87、冷轧与热轧相比具有表面质量好、尺寸精度高的优点。 ( T)
88、流向纵向的金属使钢管产生宽展,流向横向的金属使之产生延伸。( F)
89、摩擦系数f越大,在压下率相同的条件下,其前滑越小。 ( F)
90、配辊是将孔型配置在轧辊上的一项工作,包括孔型在轧制面上的水平和垂直方向的配置。 ( T)
91,千分尺是根据螺旋副的转动转化为测量头的轴向移动来读数的。( ) T
92、前滑区内金属的质点水平速度小于后滑区内质点水平速度。 ( F)
93、前张力增加时,则使金属向前流动的阻力减少,增加前滑区,使前滑增加。 ( T)
94、热轧时温度越高,摩擦系数越高。 ( F)
95、塑性变形是指外力消除后,能够恢复的变形。 ( F)
96、碳溶于γ-Fe中形成的间隙固溶体称为铁素体,常用符号A表示。 ( F)
97、碳素钢与合金钢是按化学成份分类的,而优质钢与普碳钢是按质量分类的。 ( T)
98、碳在固体钢中的存在形式一种是固溶体,另一种是碳化物。 ( T)
99、提高轧制速度,有利于钢管咬入。 ( F)
100、体心立方结构的铁叫r-Fe。 ( F)
101、铁碳平衡图中,碳在奥氏体中的溶解度曲线是ES线。 ( T)
102、铁碳相图是研究碳素钢的相变过程,以及制定热加工及热处理等工艺的重要依据。( T )
103、退火是将钢加热到一定温度,保温后再快速冷却的热处理工艺。 (F )
104、为了改善T12钢(1.15<c%<1.24=的机械性能和组织状态,一般采用的预先热处理方法是完全退火。 ( F )
105、物体受外力作用产生变形时,在弹性限度以内,变形与外力的大小成正比。( T )
106、延伸系数等于轧前的横断面积于轧后横断面积之比。 ( T)
107、在变形区内金属的流动的速度都是相同的。 ( F)
108、在产品标准中均规定有钢材尺寸的波动范围,即允许钢材的实际尺寸与公称尺寸之间有一定的偏差,这个偏差一般称为公差。( T)
109、在轧制过程中,单位压力在变形区的分布是不均匀的。 ( T)
110、在外力作用下,金属将产生变形,在金属内部将产生与作用力相抗衡的内力,单位面积上的这种内力称为平均轧制力( F)
111、轧制生产实践表明,所轧制的钢越软,则其塑性就越好。 ( F)
112、不论哪种轧制方式,轧制时变形区均处于三向压应力状态下。 ( F)
113、控制轧制可以提高钢的机械性能。 ( T)
114、压力加工实验,压缩一个三棱柱体金属块,只要压力足够大,最终截面形状不是三角形而变为圆形。 ( T)
115、试验表明,在压力加工过程中,随变形速度的增加,摩擦系数要下降。( T)
116、在相对压下量一定的情况下,当轧辊的直径增大或轧件的厚度减小时,会引起单位压力的减小。 ( F)
117、轧件宽度对轧制力的影响是轧件宽度越宽,轧制力越大。 ( T)
118、金属的同素异晶转变会引起体积的变化,同时将产生内应力。 ( T)
119、消除钢材的加工硬化,一般都采用淬火处理的方式解决。 ( F)
120、对钢材进行回火热处理,其目的是降低脆性,提高钢材的塑性和韧性。 ( T)
121、淬透性好的钢,经淬火热处理后的硬度肯定是很高的。 ( F)
122、轧制压力就是在变形时,钢管作用于轧辊上的力。 ( T)
123、在轧钢生产中,金属的轧制速度和金属的变形速度是截然不同的两个概念。 ( T)
124、在轧制实际操作中,D上>D下易造成钢管出现向上翘头现象。 ( F)
125、为了确保热轧型钢产品晶粒是细化的,在孔型设计中均使成品孔型的压下量最大。( F )
126、冷轧要酸洗,有一种情况,硫酸与铁作用产生的氢气向铁的基体内扩散,使钢的内应力增加,塑性和硬度都下降,脆性提高的现象称为氢脆。 ( T)
127、在现代轧制生产中多采用控制轧制技术,控制轧制的主要优点是提高钢材的综合性能,简化生产工艺过程,降低生产成本。 ( T)
128、在轧制生产的实际操作中,确定轧辊原始辊缝的理论基础是弹跳曲线或是弹跳方程。 ( T)
129、在现代热轧生产中多采用控制轧制技术,其目的是为了细化晶粒,改善钢管的性能,提高产量。 ( F)
130、不论是热轧还是冷轧,其压下规程是轧制制度中最基本的核心内容。 ( T)
131、热轧型钢生产对宽展的预先计算是非常重要的,如轧制圆钢时,若对其宽展量估计过大,则轧制时极容易出耳子。 ( F)
132、在热轧钢管生产中,孔型一般都具有一定的侧壁斜度,它的作用之一是可以减少轧辊的重车量,降低轧辊的消耗。 ( T)
133、在相同轧制条件下,一般来说用钢轧辊轧制比用铸铁辊轧制轧件的宽展要大些。 ( T)
134、由于滑动轴承能承受较大的冲击负荷,所以主要用在成品轧机上。 ( F)
135、由于滚动轴承具有刚性大的特点,所以主要用在成品轧机上。 ( T)
136、Q345是普碳钢的一种。 ( F)
137、变形抗力是金属和合金抵抗弹性变形的能力。 ( F)
138、变形区内金属的流动速度都是相等的。 ( F)
139、步进式加热炉是指在炉子装料口处用推钢机推动钢坯,使钢坯在炉内沿固定的滑轨上滑行。( F)
140、材料抵抗另外物体对它的压入的能力,称为硬度。 ( T)
141、单晶体呈各向异性,而多晶体呈现各向同性。 ( T)
142、单位面积上所受的内力称为应力。 ( T)
143、当加热温度达到或超过氧化铁皮的熔化温度(1300~1350℃)时,氧化铁皮开始熔化,并溶入钢料与钢料之间的缝隙中,当炉温降低时,熔化的氧化铁皮凝固,使料粘在一起,这种现象叫粘钢。 ( T)
144、当金属塑性变形时,物体中的各质点是向着阻力最小的方向流动。 ( T)
145、当其它条件不变,轧辊直径增大,宽展减小。 ( F)
146、对钢材而言,可通过测定钢材的硬度,粗略换算出强度。 ( T)
147、发生过烧的钢坯不能用其他办法抵挽救,只能送回炼钢炉重新熔炼。 ( T)
148、凡是变形量很大的金属内部一定存在加工硬化。 ( F)
149、钢材的热处理操作工艺由加热、保温和冷却三个阶段组成。 ( T)
150、钢号Q235-AF标记中的“Q”是指抗拉强度。 ( F)
四、简答题
1 矫不直的原因有哪些:
答:a、压下量小
b、矫直辊倾角大,钢管与辊子接触长度小
c、矫直辊磨损严重,不能继续生产
d、钢管弯曲变形量过小
2 前端矫凹的原因有
a、钢管咬入前位置过低
b、第一对矫直辊上下辊倾角不一致
c、钢管前端弯曲度过大,应适当放大第一对矫直辊的倾角
d、第一对矫直辊压下量过大
3 钢管尾端矫凹的原因有:
a、第三对矫直辊压下量过大
b、第三对矫直辊上下辊倾角不一致
c、钢管尾端弯曲度过大
4 钢管全长矫凹的原因有:
a、第二对矫直辊的上辊倾角小或钢管在矫直过程中弯曲变形量大
b、第一对矫直辊倾角过小
c、矫直辊棱角过尖或表面有凸棱
84、矫方。其原因有:
a、压下量大,钢管被压扁
b、矫直辊倾角过大
c、钢管横向壁厚不均
5、擦伤及麻点。其原因有:
a、入口辊道及导套不光滑
b、入口导套位置与矫直中心线不一致
c、矫直辊粘钢或表面磨损严重
6、钢管长度及外径不合格。其原因有:
a、各对矫直辊角度不一致
b、钢管在矫直前其外径不合格。
7、钢管矫直的目的
是为了消除钢管在轧制、运输、热处理及冷却过程中发生的钢管弯曲现象,同时它也对去除钢管表面的氧化铁皮,减小钢管的椭圆度起到一定的作用。
8 2-2-2型六辊立式矫直机。其结构特点为:
1、 直机采用六辊(2-2-2)上下辊全驱动的立式斜辊矫直机(干式矫直)
2、 矫直机上辊具有安全保护功能,过载时能快速抬起,对矫直辊和设备进行安全保护。
3、 具备矫直辊对中检查和轴向调整功能,便于安装、调试和换辊时中心线的检查。保证矫直辊中心线在同一个平面内,其误差≤±0.2 mm。并提供用于检验辊型的样板、对中检查量具或其他检验设备。提供辊缝和角度检查工具(设定精度检查和调校零位)。
4、 矫直辊的更换方便,采用液压操作的换辊设备。
5、 矫直辊的压下及压上、角度调节采用自动闭环调整。
6、 整个机架牢固,机架立柱采用液压予紧处理,立柱工作表面镀铬。在工作时不会发生影响矫直质量和设备性能的变形。
7、 调整机构均有防尘装罝,能方便地清理粉尘。
8、 矫直机能正反转。
9、 机械、液压、电气、润滑等设备均有设备及人员保护机构或装置。
减速箱采用硬齿面齿轮形式,齿轮无限寿命,轴承寿命较高。
9 简述矫直机压下量的调整
压下量的调整主要起到有利于钢管咬入和改变钢管在矫直变形时变形的分布及均匀性的作用,同时又要避免钢管在压下量作用下发生压扁塑性变形。通常,压下量的调整是根据不同的工作辊、钢管的材质、外径、壁厚及原始弯曲度而定。钢管的屈服强度度愈高、壁厚愈厚、外径愈大,则矫直的压下量也愈大。同时,矫直机的各对矫直辊的压下量是不同的,第一对矫直辊主要起咬入作用,故压下量较少;第二对矫直辊主要起矫直作用,故其压下量较大;第三对矫直辊主要起输出钢管的作用,故压下量应比第一对辊大。
10 简述矫直辊倾角的调整
矫直辊角度调整的目的是保证钢管与矫直辊的接触长度至少为2/3,这样有利于钢管的矫直。矫直辊倾角的调整应由大到小,以避免钢管被矫凹,同时应保证每个矫直辊的倾角一致,若倾角不一致,则轴向速度会不同,使钢管在矫直过程中受拉或受压,从而造成钢管外径过大或过小的缺陷,并使钢管长度发生变化。
11 简述矫直弯曲变形量的调整
钢管的矫直过程是钢管发生由小到大、再由大到小的弹塑性弯曲变形,并最终得到趋近一致变形的过程。因此,钢管矫直过程中必须发生一定程度的弯曲变形量。矫直弯曲变形量大小的选择与辊型、矫直机的选型、钢管的原始弯曲度等因素有关。应当指出的是,矫直弯曲变形量并非越大越好,过大时反而会影响矫直效果及钢管的表面质量。因此,在钢管能顺利矫直的情况下,我们在调整时没有必要追求大的弯曲变形量。
12 简述矫直速度调整
矫直速度的选择主要是考虑到钢管在矫直过程的稳定性及甩尾带来的后果。一般来说,当被矫直的钢管原始弯曲度大、屈服强度高、外径及壁厚大时,选择较低的矫直速度;反之,则选择较高的矫直速度。
13、矫直辊的辊型设计的意义
矫直辊的辊型设计对矫直质量及矫直机的的调整起着十分重要的作用,这是因为矫直辊的辊型决定了钢管在矫直过程中与矫直辊的接触长度。钢管与辊子的接触长度对钢管发生弹塑性变形的区域大小及均匀性有相当大的影响,当钢管与辊子的接触长度增加时,钢管在矫直时发生弹塑性变形的区域面积增加,且使弹塑性变形的均匀性增加,从而有利于钢管的矫直。
14 340分厂矫直机的突出特点
矫直辊的压下及压上、角度调节采用自动闭环调整。产品大纲上所有规格的钢管相应的矫直参数和矫直力建立了数据库,当输入钢管直径、壁厚、钢级等参数后,矫直机能自动调整到相应的合理的工作参数状态下,如:反弯量、开口度、矫直辊转角等。使被矫直钢管达到最佳矫直效果。并且有人工修改和自动记忆功能,能显示这些参数。在操作面板上,能方便地输入和显示钢管工艺参数、及矫直机调整参数(矫直速度、压下量、矫直辊转角)。有故障显示系统且能打印各种流程卡。调整后的锁紧和调整机构的间隙消除机构采用液压方式。
15 340分厂矫直机的技术性能
钢管外径:φ133 mm-φ340 mm
钢管壁厚:5 mm-40 mm
钢管长度:6 m-12.5 m
钢管温度:≤100℃
钢管屈服強度:400 N/mm2 - 1138N/mm2
矫直前钢管的弯曲度:10 mm/m(≤30mm/全长)
矫直前钢管椭圆度: ≤1.2%(最大外径差3mm)
16 340分厂矫直后钢管质量要求
钢管弯曲度:管端1m处≤1/1000mm,管体≤1/1500mm。
椭圆度:≤0.8%(最大外径差1.8mm)。
矫后钢管外表面无明显的划痕、凹痕等矫伤缺陷。
17 219分厂矫直机的技术性能
钢管外径:φ89 mm-φ219 mm
钢管壁厚:8mm-50 mm
钢管温度:≤300℃
钢管屈服強度:400 N/mm2 - 1240N/mm2
矫直前钢管的弯曲度:10 mm/m(≤100mm/全长)
矫直前钢管椭圆度: ≤1.2%(最大外径差3mm)
18 钢管矫直机有哪些形式
钢管矫直机有机械压力矫直机、斜辊矫直机和张力矫直机等几种形式。
19 斜辊矫直机按辊子数量分类,常用的有哪几种
斜辊矫直机按辊子数量分类,有五辊矫直机、六辊矫直机和七辊矫直机等几种常见形式。
20 斜辊矫直机的优点
(1)由于工作过程是连续的,故具有较高的生产效率;
(2)由于矫直辊上、下间距可调,除可消除钢管椭圆度外,还能确保矫直的精度。
(3)由于矫直辊具有特点的辊型曲线,这就保证了钢管与辊子有相应的接触面积,从而可保证钢管的矫直质量。
(4)由于钢管轴线与矫直辊轴线可调,可使一套辊子能矫直一定直径范围内的钢管,从而减少辊子储备数量和换辊时间。
21 矫直机调整正确的标志有哪些
(1)管子咬入顺利,矫直过程中,前进速度稳定,出矫直机后的管子无剧烈跳动;
(2)矫直后管子弯曲度符合标准规定;
(3)无矫伤等缺陷;
(4)钢管与辊面接触长度大于辊子长度的3/4以上;
(5)各个主电机负荷不超过规定值。
22 影响斜辊矫直机矫直钢管的因素一般有:
(1)合理的辊型曲线;(2)合理的辊间距;(3)合理的辊压角; (4)合理的矫直挠度
23.影响金属材料变形抗力的因素有哪些?
答:影响金属材料变形抗力的因素主要有以下几个方面:⑴材料的化学成份和组织结构;⑵变形时的温度;⑶变形速度;⑷变形程度;⑸应力状态。
24.什么叫失效,油套管失效的主要形式有哪些?
答:在特定的服役条件下发生变形、断裂、表面损伤而失去原有功能的现象叫失效。
油套管失效的主要形式有:挤毁、滑脱、破裂、泄漏、腐蚀、粘结、磨损等。
25.油套管管柱结构从外到里分哪几层?
答:从外到里分为:导管、表层套管、技术套管、油层套管、油管。
26.我司三大专用管系列是指哪些?
答:油井专用管系列、锅炉(压力容器)用管系列、机械加工用管系列。
27.我司目前可生产的高压锅炉管最高级别的钢种是什么?
答:T92(P92)。
28.我司89分厂可生产的主要专用管品种有哪些?(8个以上)
答:低中压锅炉管、高压锅炉管、高压化肥管、石油裂化管、液压支柱管、钻杆管、石油油管、地质管、船舶用管、高压气瓶用管等。
29.我司219分厂可生产的主要专用管品种有哪些?(8个以上)
答:低中压锅炉管、高压锅炉管、高压化肥管、液压支柱管、地质管、汽车半轴套管、接箍料管、炮弹用管、顶杆用管、高压气瓶用管等。
30.我司340分厂可生产的主要专用管品种有哪些?(6个以上)
答:低中压锅炉管、高压锅炉管、高压化肥管、液压支柱管、石油套管、管线管、接箍料管、高压气瓶用管等。
31.合金高锅管回火的目的是什么?
答:1)保证组织性能的稳定性;2)提高高温性能的稳定性;3)进一步消除应力。
32.我司目前采用的无损探测方法有哪几种?
答:涡流、超声(电磁超声)、漏磁、磁粉等。
33.影响奥氏体化的因素有哪些?
答:1)加热温度和保温时间;2)加热速度;3)合金元素;4)原始组织。
34.冷拔成品热处理的目的是什么?
答:消除加工硬化和残余应力,并获得所需要的性能。
35.目前我司常用的锅炉管国外标准有哪些?
答:美国:ASME SA-106(或ASTM A106)、ASME SA-192、ASME SA-209、ASME SA-210、ASME SA-213、ASME SA-335
德国:DIN17175
日本:JIS G3452、JIS G3454、JIS G3456、JIS G3461、JIS G3462。
36.GB5310标准中高锅管的牌号有哪些?
答:20G、25MnG、15MoG、15CrMoG、12Cr1MoVG、12Cr2MoG、12Cr2MoWVTiB、10Cr9Mo1VNb。
37、什么叫塑性变形?
答:物体受外力作用而产生变形,当外力去除后,物体不能够恢复其原始形状和尺寸,发生不可恢复的永久变形,这种变形称为塑性变形。
38、金属压力加工?
答:运用不同的工具,对金属和合金施加压力,使之产生塑性变形,制造出一定形状的产品的加工工艺,称为金属压力加工。
39、什么是加工硬化?
答:金属材料在再结晶温度以下塑性变形时强度和硬度升高,而塑性和韧性降低的现象。
40、在金属压力加工过程中润滑起何作用?
答:工艺润滑能降低轧制压力,节约能源,改善钢管内外表面质量,提高工模具的使用寿命。
五 计算题
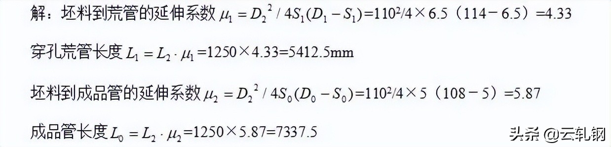
1、坯料D2=110,L2=1250,穿孔荒管D1×S1=114×6.5,成品管D0×S0=108×5,计算:(单位:mm,不考虑烧损)。
1、穿孔荒管长度L1;
2、成品管长度L0

2、20# φ120(轧)生产77×10×8m定尺,(切头尾700mm,烧损系数为0.97)。①管坯下料长度及坯耗(假设无中间废品):

3、 20# 101.6×20外径公差±0.8%(公差最大值为±0.8mm,最小值±0.35mm)计算其外径范围。
解:101.6×20按±0.8%计算其外径公差:
101.6×0.008=0.8128>0.8
故,公差取:±0.8mm
外径范围:最大值 101.6+0.8=102.4
最小值 101.6-0.8=100.8
4、20# φ120(轧)生产95×10×6m定尺,(切头尾700mm,烧损系数取0.97)。


5、某轧管分厂计划用120轧坯生产130×12规格毛管,试计算穿孔机的各种调整参数。(穿孔机所用顶头直径为96mm,有效长度为210mm,修约后轧辊辊面锥角为3.0°,tan3.0°=0.0524,导板出口锥角也为3.0°)。
解:已知条件:管坯外径D0=120,毛管外径D1=130,壁厚S1=12,顶头直径δ=96,顶头长度L=210,辊面锥角α=3.0°
(1)计算轧辊距A
按经验取顶前压下量为ε=11.5%,
则A= D0(1-ε)=120×(1-11.5%)=106.2mm
(2)顶头前伸量c的计算
计算高点后顶头工作段长度b
b=(δ+2S1-A)/(2tanα)=(96+2×12-106.2)/(2×tan3.0°)=132 mm
计算顶头前伸量c
c=L-b=210-132=78mm
(3)计算导板距B
钢管脱离顶头时为一椭圆,其短轴长度为a1=δ+2S=96+2×12=120,长轴为该点处的导板距,根据毛管圆面积与其脱离顶头时椭圆面积近似相等的原则即可求出长轴半径b1,此时b1=(D1×D1)/a1=130×130/120=141mm,又由于导板出口锥角为3.0°,所以孔喉处导板距为B=b1-2×b×tanα=141-2×132×tan3.0°=127.2mm。
6、某热轧管机组计划用ф130mm轧制坯生产一批76×6规格成品钢管,要求按9500mm定尺长度交货,现已知热轧时烧损为4%,由于受设备限制,轧制钢管最大长度不能超过30000mm,如考虑切头尾长度为1200mm,不计其它损耗,试计算轧制时的总延伸系数和管坯下料长度。

7、某三辊轧管机组用直径为φ120mm的管坯来生产φ77×10mm的钢管,用户要求按倍尺交货,且交货长度不能短于7500mm,也不能超过9500mm。已知该产品单倍尺长度为700mm,每个倍尺的切口长度为5~15mm,总的切口余量为20~50mm,生产过程中,每支钢管的总切头长度为800mm,管坯加热炉的装料长度为1500~3000mm。不考虑烧损和下料切口。问如何下料?
解:①计算总延伸系数:
μ=D坯2/[4×S×(D-S)]=1202/[4×10×(77-10)]=5.373
②计算成品管的长度范围:
根据题义可知:
L多倍尺=N×L单倍尺+(N-1)×L切口+L切口余量
10倍尺的成品管长度L10=10×700+9×(5~15)+20~50=7065~7185mm
11倍尺的成品管长度L11=11×700+10×(5~15)+20~50=7770~7900mm
12倍尺的成品管长度L12=12×700+11×(5~15)+20~50=8475~8615mm
13倍尺的成品管长度L13=13×700+12×(5~15)+20~50=9180~9330mm
由此可以看出只有11、12和13倍尺的钢管才符合用户的长度要求。
③计算11、12和13倍尺的管坯长度:
L倍尺管坯=(L多倍尺+L切头)/μ
11倍尺:管坯长度=[(7770~7900)+800]/5.373=1595~1619mm
12倍尺:管坯长度=[(8475~8615)+800]/5.373=1726~1752mm
13倍尺:管坯长度=[(9180~9330)+800]/5.373=1857~1885mm
答:管坯应按1595~1619mm、1726~1752mm和1857~1885mm三种长度范围进行下料。
8、某热轧管机组计划用Φ140的轧制一批Φ76×6×9000mm的成品管。现已知热轧时烧损为4%,由于受设备限制,轧制钢管最大长度不能超过30000mm,如考虑切头切尾长度为1200mm,不计其它损耗,试计算轧制时的总延伸系数和管坯下料长度。

9、某用户向我司订购一批20G高压锅炉管φ89×9×3000(mm)三倍尺钢管,现总调安排φ108分厂用φ130轧坯生产。已知坯料烧损3%,切头尾600mm,不计其它损耗,试计算管坯的下料长度及总延伸系数。(保留三位小数)


13、 已知钢管规格为Φ88.9×6.45×7500mm,重量为98.35Kg,求钢管的比重(比重单位:g/cm3)。
答:钢管体积为:
3.14×(88.9-6.45)×6.45×7500=12523.96cm3
98.35Kg=98350g
V=98350g /12523.96cm3=7.8g/cm3
14、 N80 Φ88.9×6.45mm的油管,取19mm宽的拉伸样,拉伸后下屈服点力值是73.530KN,最大拉力值是94.270KN,求屈服强度和抗拉强度(宽度和厚度均按理论尺寸计算)。
答:19mm宽试样的载面积=19×6.45=122.55mm2
屈服强度=73.530×1000/122.55=600MPa
抗拉强度=94.270×1000/122.55=769MPa
15 已知某钢坯在加热过程中1.5小时,表面温度升高了300℃,求加热速度。答案:解:加热速度=300/1.5=200℃/h
答:加热速度为200℃/h。
16 已知钢管规格为Φ88.9×6.45mm,重量为98.35Kg,比重为7.8 g/cm3,求钢管的长度。
答:钢管截面积=3.14×(88.9-6.45)×6.45=1670mm2
钢管体积=98350/7.8=12609cm3=12609000mm3
钢管长度=钢管体积/钢管截面积=12609000/1670=7550mm
17 已知钢管长度为7500mm,重量为98.35Kg,比重为7.8 g/cm3,求钢管的横截面积。
答:钢管体积=98350/7.8=12609cm3=12609000mm3
钢管的横截面积=钢管体积/钢管长度=12609000/7500=1681.2 mm2
18 按API 5CT要求,对油管壁厚只有负偏差要求为-12.5%,油管正偏差是按通径和单重偏差控制的(API 5CT要求:单重偏差为,通径棒直径为公称内径-3.18mm,通径允许加工偏差为0~+0.2mm,通径棒长度为1067mm),油管弯曲度为1.5mm/m,最小通径间隙为0.2mm,求Φ88.9×6.45mm理论最大平均壁厚(外径允许偏差:0~+0.79mm)。

(通径间隙按0.2mm考虑)。
计算可通棒最小内径=1067×1.5/1000+72.82+0.2+0.2=74.8mm
20 轧管机轧制时的线速度为3.0m/s,最后一组轧辊工作直径为603mm。求最后一组轧辊转速(n/min)?(保留一位小数)
解:根据V=πDn/60
得n=60V/(πD)=60×3×1000/(3.14×603)=95n/min
答:轧辊转速为95n/min。
21 某分厂9月从统计部门了解到该厂当月生产了合格钢管800t,用坯1072t,计算该分厂当月金属消耗是多少,成材率是多少?
解:由K=G总/G合=1072/800=1.34
成材率=800/1072=74.63%
22 若轧辊圆周速度V=3m/s,轧件入辊速度VH=2.25m/s,延伸系数μ=1.5,计算该道次的前滑值?

23 已知某再加热炉有效长度为32.5m,加热的管间距为50mm,管径300mm,该加热炉可装多少根管子,每根管子若为105Kg,该炉可装多少t管子?
解:32.5m=32500mm
32500/(300+50)≈92(根块)
92×105/1000=645(t)
答:该炉可装约92根管子,9.66t。
24 一分厂现已知生产φ88.9×6.45mm钢管时,总的延伸系数是8,烧损为2%,计算该分厂使用的坯料直径尺寸?


26 89分厂有2台生产钢管范围为φ25-φ114 mm的矫直机,一台生产钢管范围为φ60-φ133 mm的矫直机,设矫直速度均为0.5-2m/sec,现生产N80 φ88.9×6.45×9600mm油管,计划3天时间热轧3300吨,设目前有效作业率为75%。求:按此生产速度,开几台矫直机可满足要求(不考虑钢管转运、存放等影响)
解:(1)单支重量=6.45*(88.9-6.45)*0.02466*9.6=125.9Kg/支
(2)3300t油管支数=3300*1000/125.9≈26211支
(3)有效作业时间=3*24*0.75*60*60=194400秒
热轧速度=26211*9.6/194400=1.29m/s
热轧速度:1.29 m/s <矫直机的矫直速度2 m/s
答:在不考虑其它因素影响的情况下,开一台矫直机可满足生产需要
更多精彩内容,尽在【云轧钢】公众号。