下面列的是3个古老的几何作图问题,其历史可以追溯到相当久远的年代。
这些问题看起来非常简单,似乎要解决它们只在举手之间。然而却不知它们绞尽了多少数学家的脑汁,花费了多少几何爱好者的青春年华。

图源:pexels
这3个古老而又著名的问题如下。给你一把圆规和一根直尺,经过有限的步骤,你能否:
(1)把一个给定角三等分? 【三分角问题】
(2)作一个立方体使它的体积是已知立方体体积的两倍?【倍立方问题】
(3)作一个正方形使它的面积等于已知圆的面积? 【圆化方问题】
历史的鸿篇,被艰难地翻动了一页又一页,人类终于揭开了这些古老问题的谜底!这就是,要想用圆规和直尺解决以上3个作图问题,是根本不可能的。

读者朋友们,对于上面的结论,你们当中也许还有人抱有怀疑,你本人也许正想尝试一番。不过,我要诚恳地告诉你,这是徒劳的,它只会白白浪费你的宝贵时间和聪明才智。建议你耐心地往下读,它对解开你心头的疑窦,将是非常有益的。
先讲三分角问题。
的确,用圆规和直尺平分一个角是很容易的事。

我们也没有说所有的角都不能三等分。实际上常见的直角就能够三等分!
不过,要是我们能够指出有一个角不能用圆规和直尺三等分的话,那么大家应该相信一个真理,即三等分角的一般性方法是不存在的。
问题的关键在于圆规和直尺究竟有多大的能耐?学习过几何的人都知道,如果我们设定一个单位长1,那么长为a、b 的两条线段,经有限次的四则运算和开平方,用圆规和直尺都是可以作出的。看一看下图,无须多说,大家便会明白这一点。

笛卡儿坐标的建立,使几何问题转化为代数问题成为可能。
实际上,在坐标平面上,直线和圆分别表示为:
方程Ax+By+C=0
方程

如果某线段能够用圆规和直尺作出来,那么这条线段的两端势必是直线与直线,或直线与圆,或圆与圆的交点。也就是说,它的坐标应由下面的方程组来确定:

代数知识告诉我们,上面方程组的解,都可以由系数经过有限次的加减乘除和 开平方求得。如果我们把

或

这类经过两层开平方手续得到的式子叫作二层根式的话(数字都是有理数),那么三层根式、四层根式乃至于多层根式的意义,大约可以不说自明。
借助于代数的神力,圆规和直尺的作图问题显得更加明朗化了。即凡能用圆规和直尺作图的问题,必须是已知线段的有限层根式;反过来,如果一条线段能表示为已知线段的有限层根式,那么它一定能够通过圆规和直尺作出。
现在回到角A三等分的问题,关键在于如何把这个问题化为代数问题。
这之后,看看结果能不能表示为已知量的有限层根式。如果能,角A就能三等分,如果不能,角A就不能三等分。
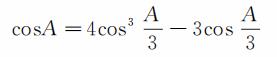
为了把三分角问题化为代数问题,我们要用到一个三角公式

现在令cosA=a,又令cos A/3=x,代入上式有

由于角A 是已知的,所以a为定数,例如:
(1)A=90°,a=cos90°=0,所求方程为

解得正根

这是一层根式,因此直角是能够用圆规和直尺三等分的。
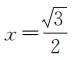
(2)A=45°,a=cos45°=√2 /2,所求方程为

可以验证,这个方程有一个正根

这也是一层根式,因此45°角也是能够用圆规和直尺三等分的。
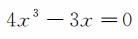
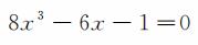
(3)A=60°,a=cos60°=1/2,所求方程为

下面我们来证明,这个方程的根不可能是一层根式 M + √N 。类似地,我们也可以证明这一方程的根不可能是二层根式,三层根式,…,k 层根式。
如果我们完成了上述一系列证明,那么就意味着我们不可能用圆规和直尺三等分60°角。
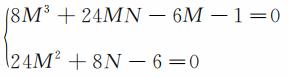
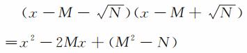
事实上,如果上面的方程有根 M + √N ,那么代入方程得

展开后整理并比较,有

这表明 M - √N 也应当是上面方程的根。这样,上面方程左端一定可以分解出以下因式

式中系数都是有理数,这很明显是不可能的。从而证明了用圆规和直尺三等分60°角是办不到的。
上面的证明尽管十分粗糙,但我想读者们一定已经确信,用圆规和直尺三等分任意角的一般方法是不存在的。这并非是智慧的贫困,而是科学的精华。
现在说说倍立方问题。这个问题始于一个有趣的神话。传说公元前5世纪古希腊的雅典,流行着一场瘟疫。人们为了消除这场灾难向神祈祷。神说:
“要使病疫不流行,除非把神殿前的立方体香案的体积扩大一倍。”开始人们以为十分容易,只需把香案的各棱放大一倍就行。不料神灵大怒,疫势越发不可收拾。人们只好再次向神灵顶礼膜拜,才知道新香案的体积不等于原香案体积的两倍。这个传说的结局如何? 今天已无从推知,但这个古老的问题却从此流传了下来。
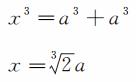
倍立方问题不能用圆规和直尺作出的道理,要比三分角问题简单得多。事实上设原香案棱长为a,新香案棱长为x,则它们之间有如下关系

而

明显不可能化为有限层根式,因而是不能用圆规和直尺作出的。
最后再看圆化方问题。假设已知圆半径为r,所求正方形边长为x,于是


√π看样子有点像一层根式,其实不是,因为 π本身不是有理数。那么,π能不能用圆规和直尺作出呢? 这是一个很难的问题,它比三分角问题还要难得多,我们这里不可能仔细讲它,只是告诉大家,大约在140年前(1882年),德国数学家 C.L.F.06林德曼(C.L.F.Lindmann,1852—1939)发现并证明了 π是一个“超越数”,也就是不可能由某个有理系数的方程算出的数。
这就表明π更不可能是某层根式。从而,圆化方问题同样无法用圆规和直尺作出。
古代几何三大作图问题的谜,到这里已经完全解开了。
·
作者:张远南 张昶
部分图源于网络
版权归原作者所有