
|OFDM文章第1篇|
班长说:深入了解5G,4GLTE的物理层技术,需要有一定OFDM基础。

图1 5G来了
正交频分复用OFDM,Orthogonal Frequency-Division Multiplexing。
目前正在使用的4GLTE网络,使用的下行多址技术为OFDMA,上行多址技术为SC-FDMA,单载波频分复用。
- OFDMA,其中A为Acesss,接入的意思。和时分多址TDMA、频分多址FDMA一样,是一种基于OFDM的多址技术。不同的用户通过OFDMA共享频带资源。
- SC-FDMA,其中SC为Single Carrier,单载波。
OFDM是4GLTE网络的关键,也是5G技术的关键。

图2:3个用户分别占有不同的子载波,实现多址
FDM的原理
OFDM首先是一个FDM系统。
频分复用FDM(Frequency Dividion Multipplexing)系统,我们并不陌生。当用收音机接收广播的时候,四大名著的电台评书节目使用不同的频率。此时如果我们想听《红楼梦》,那么经过与《红楼梦》相一致的带通滤波器,这个电台节目就会被接收下来了。

图3 传统的FDM
图3中,可以把每一个电台节目称为一个子载波,这些子载波占用不同的频段,然后发射出去。
- 子载波承载《西游记》的信息,中心频率f1;
- 子载波承载《红楼梦》的信息,中心频率f2;
- 子载波承载《水浒传》的信息,中心频率f3;
从第一代移动通信开始,FDM技术沿用至今。
FDM说白了,就是将整个系统的频带划分为多个"车道",每个"车道"用来传输我们的子载波。当然了,为了避免相互之间串扰,需要一定的"隔离带",这就说所谓的保护带,Guard Band。

图4 FDM的时域频域示意图
在接收端,我们通过带通滤波器,将所需的子载波信息接收下来。OFDM的出现
频谱资源是有限的,而且很贵!
英国电信监管机构Ofcom在2018年3月正式启动了5G频谱拍卖程序,拍卖了总计达150MHz的3.5GHz频段频谱,具体为3410MHz~3480MHz以及3500MHz~3580MHz。最终,沃达丰、O2、EE和3这四大英国运营商为此支付了11.48亿英镑(约为15.52亿美元)
150MHz等于15亿美元,相当于1M等于0.1亿美元!
当有成百上千的电台节目之时,那一点频率范围,够不够"分"的?
所以,我们要提高频谱的利用率!

图5 对比独立子信道与FDM
没错,图5把这些子载波"挤压"了。这给我们一个大胆的思路,在一定的频谱范围内,我们完全可以"挤压"更多的子载波。

图6 多载波调制
这样频率利用率肯定高了,但带来了问题:
- 不同的子载波现在糅杂在一起,接收端如何区分?
- Δf的取值,也就是"挤压"的程度,该如何选取呢?Δf是大一点好?还是小一点好?
我们先来解决第一个问题。
正交
图7,在[0,1]区间范围内,有三个正弦函数,分别是sin(2πt),sin(4πt),sin(6πt)。当然,我们还可以接着写下去,sin(8πt),sin(2πkt),...

图7 正弦系列的正交性
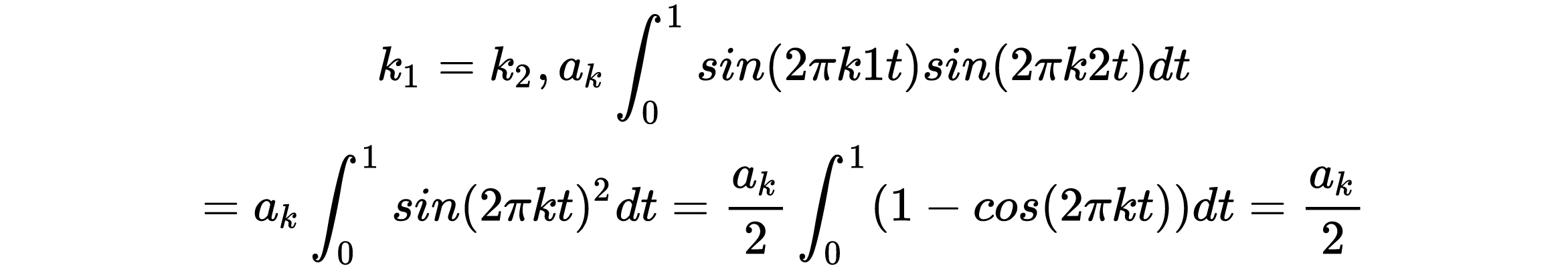
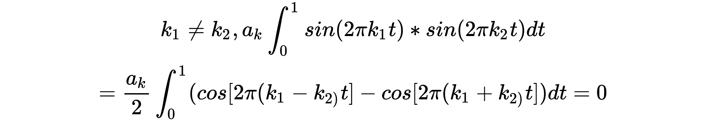
计算这个区间内任意两个函数的积分:

当k1=k2之时,积分结果为ak/2;

当k1≠k2之时,积分结果为0;

这表明这一系列的正弦函数是正交的。依此类推,余弦cos函数同样有此性质。
这其实是简单的定积分计算,但这种数学上的性质,对于通信而言异常重要。
因为这些正弦函数就是通信中所说的子载波,ak*sin()就是通信中所说的基带调制。
如果我们要发送的信息为ak,k=1,2,3,...,n,ak就是一个码元,其持续周期为码元周期=1秒。那么经过基带调制后,实际发送的信号为ak*sin(2πkt)。
上述的积分过程,可以筛选出合适的ak,其他的k值均为0,这是通信中的解调过程。
OFDM的基本思想
OFDM的出现,就是利用了正交的子载波来实现多载波通信技术。为什么可以这样做?因为不管在发射端,如何将多个子载波"糅杂"在一起,只要是正交的,我在接收端一个积分就能把你归零,而没有归零的就是初始值!
相互正交的子载波,可以是类似{sinwt,sin2wt,sin3wt}和{coswt,cos2wt,cos3wt}的正弦波和余弦波。
图8是是OFDM的基本思路,从基带调制,射频调制,无线传播,射频解调到基带解调。
用原始要发送的信号ak,bk去调制相互正交的子载波序列{sinwt,sin2wt,sin3wt}和{coswt,cos2wt,cos3wt},然后进行累加,得到s(t),然后再调制到射频载波wc上,用天线发射出去。

图8 OFDM调制解调过程(来源网络)
在接收端,将信号从射频载波上解调下来,在基带用相应的子载波通过码元周期内的积分把原始信号解调出来。基带其他子载波信号与信号解调所用的子载波由于在同一个码元周期内积分结果为0,相互正交,所以不会对信息的提取产生影响。

图9 基带调制过程,时域与频域
我们知道矩形信号的频谱是sinc函数,且如果脉冲宽带为τ,那么信号的带宽B=1/τ,这是一个倒数关系。
Δ这个倒数关系一定要牢记,在学习LTE与5G的物理层过程中,处处用到,而且没有人和你说为什么!

图10 矩形脉冲的频谱
现在有n个数据需要传输,我们用方波去表示这些数据,用正弦系列函数作为子载波。
经过基带调制后,不同的数据被调制到不同的子载波频率处,如图11(d)所示。再经过射频调制,子载波被调制到射频fc处图11(e),此时可以发射出去。

图11 时域方波信号经过OFDM调制后的信号频谱(来源于网络)
总结
OFDM的出现是为了解决FDM的频谱利用率低问题。但它仍然是一种FDM,只不过它利用的频谱看起来更"挤"了,也不需要用滤波器去区分子载波了(因为它用的都是正交的子载波,积分可以搞定,还记得吗?)

图12 OFDM的调制解调过程
但我们从图8和图12种可以看出,按照此种方式实现OFDM,系统需要大量的正弦波发生器和调制、解调器(积分),硬件结构相当复杂。
所以,这就是为什么OFDM技术在相当一段时间内不能得到广泛的应用。
直到1971年,Weistein和Ebert撰文给出了将DFT技术应用于OFDM传输系统的实现方案,以此取代复杂的硬件结果,使得OFDM研究与应用进入了一个新阶段。
从此,OFDM技术放飞了自我,我们下期再聊!
文中还涉及到复数信号,为什么图10中出现bk,为什么有cos,又有sin?这与IQ调制有何关系?这不影响理解OFDM的基本思想,如果您感兴趣,查看我之前的文章。
欢迎您在留言区留言讨论。
喜爱这篇文章,请点赞,关注作者@通信M班长