1、数据测量尺度
测量是对非量化事物的量化过程,数据包含多少信息去均与测量使用的尺度。测量的尺度决定了研究这些数据时应使用什么类型的统计分析方法。选定了相应的测量尺度便确定了所产生的数据类型,也就确定了在项目实施过程中可使用的统计分析方法。
有四类测量尺度:定类、定序、定距和定比。
(1)定类测量尺度:是一些数字形式的名义值,可以指示所属的类别,例如,白色、黑色等。可以是两类也可以是多类。
(2)定序测量尺度:是对可能的取值进行排序,如“好”“更好”“极好”来划分顾客对某种服务的偏好。
(3)定距测量尺度:例如温度、日期、时间等这种数据中的0是没有意义的,它能识别差距的大小。
(4)定比测量尺度:这比定距测量尺度高了一个层次,例如温度、长度、质量等,这种数据中的0是有意义的,是指对同一个事物的两个不同测量结果之间的比值是有意义的,可以讨论它们的比值。
2、数据的收集方法
有许多收集数据的方法,最典型的是使用检查表,检查表是收集过程数据时最常用的工具,常常用于DMAIC改进方法的测量阶段。
检测表有各种形式,针对不同的测量对象,需要使用不同的检查表,要有针对性地设计检查表,以便能够按照团队的意图,将重要的数据收集上来,在检查表上要注明被测变量,同时还应注明由谁来收集数据及采用的测量间隔。
表1是某企业的缺陷检查表,从该例中可以看出油漆是最常发生的缺陷,这张检查表也为减少缺陷提供了改进的基础。

表1:最终装配过程的缺陷检查表
表2所示的是检查表的另一个示例,该检查表记录了抽样数量和检测到的不合格品的数量,又记录了各种缺陷发生的频次。

表2:某成品抽样检验及外观不合格品项目检查表
在应用检查表时,可将这些检查表存入计算机,这样数据就能直接保存到适当的数据库中,节省大量的时间和资源。
在评价过程改进潜力时,时间周期和过程波动的历史数据常常是有用的,历史数据能够更好地表明改进潜力,这也就是在DMAIC改进方法中重视测量阶段的一个重要原因。
3、抽样方法
为了确保数据的准确性和代表性,能从样本中正确推断总体,必须采用适当的抽样方法,常用的是简单随机抽样、分层抽样等方法。
(1)简单随机抽样
随机抽样也就是简单随机抽样,它是按随机原则直接从总体中抽取样本,构造统计量,并对总计相应的指标做出统计推断。
1)随机抽样必须满足的基本条件
等可能性:总体中的每个个体有同等机会被抽到。
独立性:每次抽样都是相互独立的。
2)常用的随机抽样方法
抽签法:将总体每个个体边上编号,参合拌匀后从中抽取;
滚球法:*奖摇**方法;
计算机模拟法:计算机中的随机数据发生器;
随机数表法:利用随机数表,该表上数字的出现及其排列是随机形成的。
(2)分层抽样
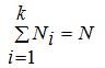
分层抽样,又称为类型抽样或分类抽样,是将总体按一定的标识加以分层。例如按不同的设备、材料、供应商等分层,然后在各层中按简单随机抽样抽取若干个样本,再由各层的样本组成一个总体样本。若假设总体含有N个样本,将总体划分为k层,每层总体样本为Ni(i=1,2,...,k),则有

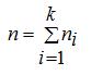
从各层总体Ni中随机抽取ni个样本,则:

根据不同要求,对于样本容量n,可以有三种不同的分配方法:比例分配法、湿度分配法和经济分配法。
1)比例分配法
样本按照各层总数的多少比例分配,即:

则各层的样本数为:

2)适度分配法
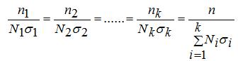
比例分配法显然没有考虑波动程度的差异,适度分配法考虑到波动程度较大的层应该多抽样,而波动程度较小的层应该少抽样,这样可以减少抽样误差,记σi为第i(i=1,2,...,k)层的标准差。适度分配法要求各层样本数ni要与各层总体与各层标准差乘积的比例相等,即:

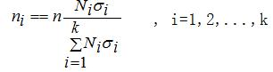
则各层的样本数为:

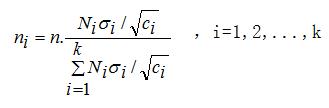
3)经济分配法
经济分配法是指对于抽样费用较高的层,相对取样少一些,而费用较低的层则可以多取样,记C1,C2,...,Ck为各层的抽样费用。由于样本数与费用的平方根成反比例的关系,应该使用下列比例保持相等,达到在一定的抽取费用情况下抽样误差最小,或在一定的抽样误差情况下抽样费用最少,即:

则各层的抽样数应为:
