
送你一本
装逼宝典
如何在数学试卷上*戏调**阅卷人?超模君今天就分享一下3大诀窍。
由于理解数学证明需要一定的智商和逻辑,所以数学证明*戏调**阅卷者乃至读者是很容易的,因为他们除非动手自己做一遍,否则对待证命题的直观理解是肯定不如写证明的人的。
数学书中最常用的方式就是
证明留做习题
证明是初等的
这个是[1]中定理XXX的直接推论
容易得到/容易看出/显然
但是这几招大家都在用,用多了就显得没逼格了,而且阅卷的时候阅卷者可以说“这个一点不显然”于是不给分,我来给大家介绍一些数学证明中高阶的装逼技巧,保证可以得到几百个阅卷人的一致通过。
下面的

分别表示循环和和循环积,例如

注意,从“约定记号”这一步开始就已经在挑战读者了,写的人永远比看的人容易理解这些记号是啥,所以可以用来装逼。
我为了在数学证明中装逼,没有别的,就是三种方法:
一是省略大规模运算
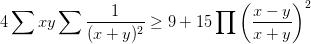
例1:x,y,z是非负实数(最多一个是0),求证


证明:
去分母,全部乘开,等价于
由schur不等式这是显然的(这个确实挺显然的...)
这种方法的核心在于一步给出结果,省略全部中间计算,事实上去分母全部乘开对人来说是比较大的计算量(请自行尝试),阅卷人只靠看根本无从判断这个得到的式子是确实算过还是随便写出来的,除非他自己算一次。于是只能不明不白地给个满分,装逼成功。
这方面的装逼高手当然是iran96的出题者陈计老师,著有名作"代数不等式",配凑从来只给结果不给过程,你有种自己去验算。
二是抹除思考的痕迹
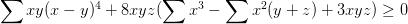
例2:

,求证

这是我之前的一个回答,这个答案是我的回答中我自己最喜欢的一个,其背后蕴含的思想是很深刻的(大概顶我5个回答),然而我在此只放了一个结果,深藏功与名。
令

和另外两个,代入原不等式,去分母展开整理得

这是显然的,仅仅是5次项和1次项均值起来就已经比右边大了。
细心的读者会发现等号取不到了,原因留作习题
(注意我这里也用到了前面提到的装逼技巧)
核心在于你乍一看根本就不知道第一个代换怎么想出来的,反正就是莫名其妙冒出这么一个东西,然后莫名其妙代进去,就莫名其妙算出来了。
实际上这个代换是分好几步来做的,每一步都有明确目的,然而最终的表述里把它全部合成一步,然后别人想看明白为啥这么做就要自个研究半天了。
总而言之就是尽量缩短证明的篇幅,篇幅越长越容易被看出来解题时的思路,想的是反证法写的是正面证明,想的是数学归纳法用的是最小数原理,反正怎么短怎么不露痕迹就怎么来,阅卷时看到如此短小的答案完全不知道写的人怎么想出来的,它偏偏又挑不出丝毫毛病,其实是一件有点不爽的事。
三是尽量把多个式子合成一个
例3:

做几何的时候,有些关键性的过程是必须给出来的,不然根本无法顺利地推理,所以这种情况下不能用省略推导掩盖思路来装逼,不过还有一种方法...
FA/FB*FA/FB=(FA*FG)/(FB*FH)*
(FA*FH)/(FB*FG)=S(FAG)/S(FBH)*S(FAH)/S(FBG)=AG/BH*AH/BG=1
核心思想依然是缩短证明的长度,不过这里不是为了隐藏推理的痕迹,而是为了让证明过程比较难以阅读,其中最简单的办法就是把所有的等号写在一起。
例如要证明A+C=B+D,一般的过程是A=...=B,C=...=D,两边相加得到结论,这时候为了减少出现的等式,直接写成A+C=...=B+C=...=B+D,证毕。
阅卷人乍一看一堆字母不知道谁是谁哪一步干啥的,看半天发现哦每一步都是对的,只不过全部写在一起真TM难读(因为每一步都要去大致长得一样的前后两个式子里找哪里改变了),然而要的就是这种不明觉厉的效果。
如果说还需要总结,那就是证明的过程中一定要给读者留下疑团,越多越好,包括但不限于:“这玩意怎么想到的?”/“这玩意怎么算出来的?”/“这个引用的定理是啥?”/“这为什么就显然了?”/“怎么还有习题?”/“到这就证完了?”...这对于装逼的成功率也是很重要的。
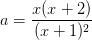
习题:(怎么还有习题?)如何(装逼地)回答下列问题。让阅卷者心生疑惑:

▼
「参考答案」
设AD=a,BE=b,FC=x,DB=y 梅涅劳斯: BEF共线:x/a*(a+y)/y*(CD-b)/b=1 CDE共线:y/a*(a+x)/x*(BF-b)/b=1 余弦定理:cosA=(a^2+(a+x)^2-CD^2)/2a(a+x)=(a^2+(a+y)^2-BF^2)/2a(a+y) 消掉CD,BF (x-y)(ax+ay+xy)+a^2b^2(a(x^4-y^4)+xy(x^3-y^3))/(x^2y^2(a+x)(a+y))=0 只能有x=y,QED.
本文由超级数学建模编辑整理
资料来源于舒自均(知乎)
https://www.zhihu.com/question/37124942/answer/70656431
已获作者授权
转载请在公众号中,回复“转载”
-----这里是数学思维的聚集地------
“超级数学建模”(微信号supermodeling),每天学一点小知识,轻松了解各种思维,做个好玩的理性派。50万数学精英都在关注!