





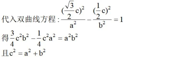
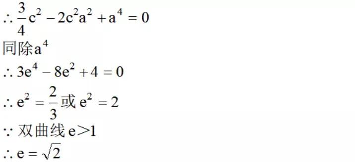
浅谈解析几何与圆锥曲线:
笛卡尔用“解析法”和“坐标系”得到了“圆锥曲线”的方程,用“数形结合”的思想将“圆锥曲线”的研究推向了一个崭新的高度。
笛卡尔是17世纪著名的哲学家、数学家和自然科学家,他在力学、天文学、光学、生物学、生理学和心理学等许多科学领域都有极大的贡献。在世界数学史上,他更是解析几何学的奠基者。在解析几何学尚未涎生的2000多年里,数学史上关于立法倍积、三等分角、化圆为方这三个几何问题一直困扰着数学家,不少人为此呕心沥血,穷毕生精力也找不到答案。
笛卡尔在认真总结了前人的大量经验教训后,认为这三大几何难题无论用尺还是用规,都不是好的解决办法,必须从根本入手,另找一条道路。在偶然的一 个机会,笛卡尔从蜘蛛织网纵横交错的直线和四周的圆线交叉中找到灵感,想到了 “形”和“数”的问题。
经过研究,他发现如果在平面上画出两个平行的直线,假定这两条线成直角,那么就出现四个90°的直角,在这四个角的任一个点上设个位置,就可以建立起点的坐标系。这个简单的基本概念在现代人看来似乎一目了然,但在当时,却是数学史上最伟大的发现之一。
简单地说,这个发现建立了平面坐标与数(X,Y) 之间的关系,构成了平面上点与曲线之间的对应关系,从而把数学的两大形态,即“形”与“数”结合了起来,不仅如此,笛卡尔还用代数方程描述几何图形,用几何图形表示代数方程的计算结果。于是,数学史上从此诞生了用代数方法解决几何问题的一门崭新学科——解析几何。
笛卡尔出版了专门论述解析几何原理的数学论著——《几何学》,书中详细论述了坐标的建立,曲线与直线的关系,并强调人们必须运用数学的方法去透视事物的本质。解析几何的诞生,直接改变了从古希腊以来代数与几何的分离局面,从而推动了数学的巨大发展。解析几何最重要的贡献在于,它提供了当时科学发展迫切需要的数学工具。