在阅读此文前,诚邀您请点点右上方的“关注”,既方便您进行讨论与分享,还能及时阅读最新内容,感谢您的支持。
仿真结果分析和讨论
帧数对偏振图像重建质量的影响
如实验为视宁度为10cm,波前复原残差的均方根(Root Mean Square, RMS)约为0.107λ,使用单帧短曝光图像重建出的v图像。
与波前估计准确的参考图像相比,存在较多的伪结构,与ic部分的串扰相比,该部分伪结构主要来自i的串扰。
产生这些结构的主要原因是对波前像差估计不准确,导致部分频率放大,不能准确估计目标频谱,且受到较严重的串扰。
实验中方框内分别为平均偏振强度为2%(区域①)和3×10-4(区域②)的两个区域。

图4 参考图像、重建的v信号及i向v的串扰
在该重建方法中,可以获得每一帧采集的偏振调制图像对应的波前像差,在较短的时间间隔内,可认为太阳结构没发生改变,故可采用(4)式的方法借助多帧图像对观测目标进行重建。
增加用于偏振图像重建的图像帧数可解决单帧波前估计不准确造成的部分频率分量被放大的问题,改善图像重建质量,如图5为帧数分别为1,3,6,10,15,21,28,36,45和55时,上面中两个区域的重建结果。
随着帧数的增加,区域①对应的强偏振信号与参考图像不断接近,区域②对应的弱偏振信号则始终无法重建。
如图6每一列为不同帧数下重建的区域②图像与i信号串扰的对比,我们发现区域②的偏振信号均被串扰淹没,除部分信号较强的区域外,始终无法与串扰区分。
若将此偏振信号用于磁场反演,会导致错误的磁场测量结果。

图 5 不同帧数时两个区域的重建效果。
第1行图像为区域1的重建结果,第2行图像为区域2的重建结果,从左至右帧数不断增加,最右侧为参考图像。

图 6 区域②中的v信号和i的串扰。
第1行为重建的v信号,第2行为i的串扰
增加图像帧数可以降低串扰的水平,但对于强度较小的偏振信号,仍较难与串扰区分。
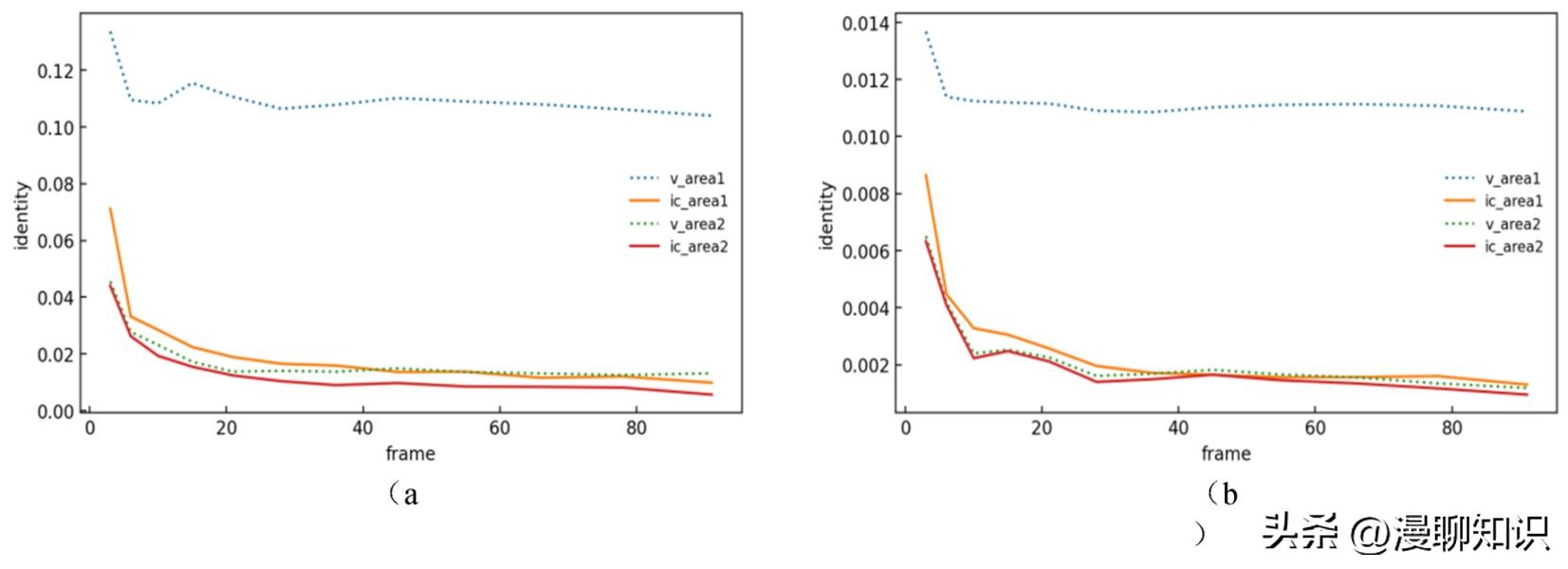
下面的两个分别为区域①和区域②重建的v信号与i串扰的pv值和标准差与重建图像的帧数之间的关系。
从文中可以看出,随着帧数增加,i串扰的pv值和标准差均迅速下降,在30帧后下降速度逐渐放缓。
对区域①的重建图像来讲,i串扰的pv和标准差均小于v信号的值,故可以分辨v信号;而对于区域②的重建图像,i串扰的pv值和标准差均与v信号的值接近,即真实v信号始终受i串扰影响。
在一定的波前复原精度和有限的帧数内,由于i的串扰,无法准确测量较弱的偏振信号。

图 7 不同帧数下两个区域v信号和i串扰的数值对比。
其中(a)为pv值对比,(b)为标准差的对比。
图中蓝色点线表示区域①的v信号,绿色点线表示区域②的v信号,黄色实线表示区域①的串扰信号,红色实线表示区域②的串扰信号。
不同视宁度下偏振图像的重建质量
视宁度是衡量大气湍流对地基观测影响程度的重要指标。
抚仙湖太阳观测站是世界上视宁度条件最好的太阳观测台站之一,夏季视宁度均值为11.9cm,冬季视宁度均值约为7.8cm。
本节对不同视宁度和不同波前探测精度下,重建图像质量进行仿真分析。
下面为实验用到的不同视宁度波前像差φ的均方根及对其估计结果φˆ的均方根误差。

表 1 不同视宁度波前像差的均方根
|
Seeing/cm |
7 |
8 |
9 |
10 |
11 |
12 |
13 |
14 |
|
φ_rms(λ) |
0.496 |
0.444 |
0.409 |
0.359 |
0.315 |
0.318 |
0.302 |
0.262 |
|
φˆ_rmse(λ) |
0.139 |
0.128 |
0.117 |
0.107 |
0.096 |
0.09 |
0.085 |
0.079 |
对30帧短曝光调制图像重建的偏振信号进行对比,结果如下面,在视宁度较好的情况下,v信号的重建结果在上面的偏振信号强度不同的两个区域内均不断接近理想情况。
对不同视宁度下重建出的v信号的功率谱进行对比,如下文,可以看出视宁度条件越好,对v信号的中高频信息估计越准确。

图 8 不同视宁度条件下两区域的重建效果。
第1行图像为区域①的重建结果,第2行图像为区域②的重建结果,从左至右为视宁度不断增加,最右侧为参考图像。

图 9 不同视宁度重建v信号的功率谱
在该组对比数据中,视宁度良好的条件下,波前复原精度也比较高,无法区分两个因素对v信号重建的具体影响。
增加一组视宁度分别为80mm,100mm和120mm,波前复原精度均为0.128λ的对照实验。
该组波前像差重建出的v信号的功率谱如图10,在相同的波前复原精度下,不同视宁度时重建图像的串扰水平相当,但视宁度条件更好时,对v信号的中高频信息的估计也更准确。
其主要原因为:更好的视宁度下,观测到的退化图像受到大气湍流的影响更小,图像保留的信息更丰富,重建难度也越小。

图 10 不同视宁度、相同波前复原精度下重建v信号的功率谱
binning模式下的偏振图像的重建质量
为满足天文观测对精确测量的需求,天文用探测器通常工作在binning模式下,即将多个像素合并成一个像素,以收集更多数量的光子,这种处理数据的方式通过牺牲部分空间分辨率以实现更高精度的测量。
本节对binning模式下光强信号的串扰进行仿真。
如上面为分辨率分别对应1m口径望远镜和50cm口径望远镜的衍射极限角分辨率的两组图像,视宁度为10cm,使用30帧短曝光图像重建的偏振信号和其对应的串扰。
与1m口径望远镜对应的分辨率相比,降低分辨率使得重建信号的变化范围更小,且i信号的串扰也大幅降低。
下面为不同分辨率下,不同视宁度对应串扰的pv值和标准差。
由下文可以看出,在任一视宁度下,分辨率降低的同时也可以降低串扰的pv值和标准差,使重建的偏振信号更准确。
在实际观测时,可以针对观测目标的强度选择合适的分辨率和偏振测量精度,制定相应的观测计划。

图11 不同分辨率下的参考图像、重建图像和串扰。
其中第1行图像对应1m口径望远镜的衍射极限分辨率,第2行图像对应50cm口径望远镜的衍射极限分辨率。
表 2 不同视宁度和分辨率下的串扰
|
resolution |
70 |
80 |
90 |
100 |
110 |
120 |
130 |
140 |
|
|
std |
1m |
0.0037 |
0.0038 |
0.0026 |
0.0022 |
0.0019 |
0.00152 |
0.00153 |
0.0012 |
|
0.8m |
0.0023 |
0.0023 |
0.0014 |
0.0011 |
0.0011 |
0.0007 |
0.0007 |
0.0006 |
|
|
0.5m |
0.0018 |
0.0017 |
0.0009 |
0.0007 |
0.0008 |
0.00047 |
0.00047 |
0.0004 |
|
|
pv |
1m |
0.042 |
0.044 |
0.033 |
0.032 |
0.028 |
0.021 |
0.024 |
0.017 |
|
0.8m |
0.019 |
0.022 |
0.015 |
0.013 |
0.011 |
0.009 |
0.008 |
0.007 |
|
|
0.5m |
0.014 |
0.0166 |
0.01 |
0.007 |
0.0069 |
0.0056 |
0.0051 |
0.0045 |
对太阳偏振图像高分辨重建过程中,由于波前估计不准确引入的重建误差进行了仿真分析。
由于波前探测器的阶数有限,不同波前探测方法的波前估计结果与真实大气波前有一定偏差,该估计误差对偏振图像高分辨重建的主要影响是无法准确估计偏振信号的中高频信息,且会引入光强信号的串扰。
仿真结果表明,对于较强的太阳活动区磁场或者达到数十高斯的宁静区磁场,其偏振信号强度超过1%量级,重建的偏振图像受背景光强串扰的影响较低;而对于磁场强度较弱的宁静区磁场,或者在线偏振信号测量时,偏振信号的强度较弱,重建的偏振图像受光强的串扰较严重,难以分离。

在偏振观测中,增加用于图像重建的帧数、通过binning模式采集图像降低分辨率再进行重建等方法可降低偏振信号受光强串扰的影响。
随着帧数增加,光强信号的串扰不断降低,但其降低的速度不断减小,在实际的偏振测量中,过多的帧数用于偏振图像重建将牺牲部分时间分辨率。
同理,通过降低像元分辨率的方法采集偏振图像在降低光强信号串扰的同时也会降低图像的空间分辨率。
我们需要针对具体的观测目标在偏振图像的时间分辨率、空间分辨率和偏振测量精度之间做出权衡,进而制定相应的观测模式。
同时,一个具有优良视宁度的观测台站也是进行高分辨率太阳偏振测量必不可少的条件。
STENFLO J O. Solar magnetic fields as revealed by Stokes polarimetry[J]. The Astronomy and Astrophysics Review, 2013, 21(1): 66.
RIMMELE T R, MARINO J. Solar adaptive optics[C]// Proceedings of SPIE. 2011.
LÖFDAHL M G, VAN NOORT M J, DENKER C. Solar image restoration[C]// Proceedings of the International Workshop on Modern Solar Facilities-Advanced Solar Science. 2007.
LIU Z, XU J, GU B Z, et al. New vacuum solar telescope and observations with high resolution[J]. Research in Astronomy and Astrophysics, 2014, 14(6): 705.