
九宫格
九宫格有9个格子,一位非零自然数的数量正好也是9个,人们很容易想到将这9个自然数填到9个格子中,要满足的条件是:每一行,每一列,每一对角线,数字之和都相等。这里的数字之和只要求相等,并不要求一定要等于多少。
在缺少数学有关知识的时候,人们会使用不断的去尝试,尝试许多次,可能会发现一种填法,显然这种方法只能死记硬背,并不能轻松的教会别人。学生在学过方程组后,自然会想到列方程组去求解。这里的方程组存在一个问题,就是未知数有多个,学生使用传统的高斯消元法,不一定知道要先消去哪个未知数,而使用大学线性代数中的增广矩阵,通过对增广矩阵进行初等行变换,就能轻松的求解这类方程组了。
设九宫中的9个不同的一位非零自然数从左至右从上至下依次为x1,x2,x3,x4,x5,x6,x7,x8,x9,每一行,每一列,每一对角线的数字之和为a。如下图所示。

依题意,我们可以列出下面的方程组。

对于复杂的方程组,我们使用高斯消元法会比较困难,往往不知道应该消去哪些元,这时候我们将方程组的系数和常数项写成增广矩阵,然后对矩阵进行初等行变换,化到最简矩阵,我们就知道方程组的解是什么了。


根据0=45-3a,可得a=15。如果a≠15,则方程组无解。将a=15代入矩阵后,进一步初等行变换,如下



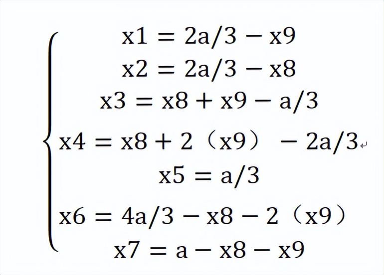
根据最简矩阵,可以得到方程组如下:

写成通解形式为

下面我们要确定自由变量x8和x9的取值范围。依题意,可知

结合上述方程组,最后我们得到x8和x9必须满足以下的关系

注意条件⑴至⑺,若x8=1,x9分别取2,3,4,6,7,8,9,则得到

若x8=2,x9分别取1,3,4,6,7,8,9,则得到

若x8=3,x9分别取1,2,4,6,7,8,9,则得到

同理,若x8=4,x9不定,无解,若x8=6,x9不定,无解,若x8=8,x9不定,无解,

最终,x8和x9的所有解为:

代入通解公式,得到总共8个解,如下

用图形来表示,如下图所示

上图中的任何一个九宫格数字图形,通过镜像和旋转变化,都可以得到其它7个九宫格数字图形。
如果不要求9个数字是一位自然数,也不要求互不相等,则依题意,我们可以列出下面的方程组。

同样的,我们对增广矩阵进行初等行变换,

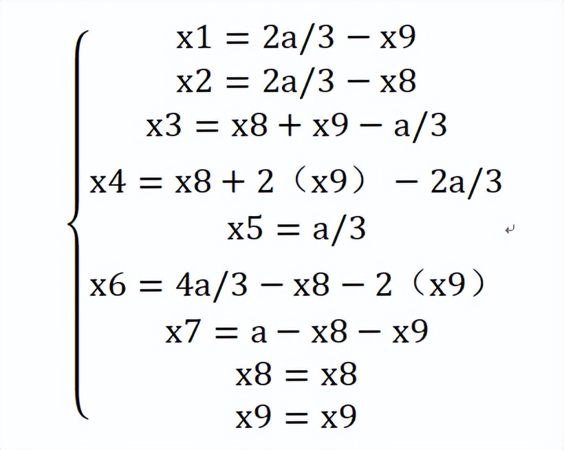
根据最简矩阵,可以得到方程组如下:

以上的方程组,就是九宫格问题的通解,其中x8=x8,x9=x9,。有了这个通解,我们就可以证明关于九宫格数字游戏的所有性质。
为了方便起见,给九宫格的格子起个名字。最中间的格子叫做中心格。位于四个角位置的格子叫做角格。两个角格之间的那个格子叫做棱格。
性质一、连续的9个自然数,或者构成等差数列的9个自然数,从小到大排列,序号分别为一至九,填到九宫格中,满足每行每列和每对角线之和均相等的一种填法是:
二四为肩,六八为足,七三为腰,上九下一,中心格为五。
证明:设等差数列从小到大分别为a1,a2,a3,a4,a5,a6,a7,a8,a9。按照二四为肩,六八为足,七三为腰,上九下一,中心格为五的填法,如下图所示。

设a1=a,公差为d,则得

代入表格中,得到:

从表中观察可得,每一行的和为3a+12d,每一列的和为3a+12d,每一对角线的和为3a+12d。说明填数是正确的。
从而证明性质一是正确的。
性质二、九宫格中,每行每列和每对角线之和,等于中心格数字的3倍。
证明:根据九宫格问题的通解

显然有,即a=3(x5)。得证。
性质三、九宫格中,每行每列和每对角线,去掉公共数,剩余两个数之和也相等。如下图所示,

可得:公共角格,x2+x3=x5+x9=x4+x7等,公共棱格,x1+x3=x5+x8等,公共中心格,x1+x9=x2+x8=x3+x7=x4+x6。
证明:根据

易得:公共角格,x2+x3=x5+x9=x4+x7等,公共棱格,x1+x3=x5+x8等,公共中心格,x1+x9=x2+x8=x3+x7=x4+x6。
所以性质三是正确的。
性质四、九宫格中,对角格数之和,对棱格数之和,均等于中心格数的2倍。如图所示

一定有:x1+x9=x3+x7=x2+x8=x4+x6=2(x5)。
证明:根据九宫格问题的通解

可得:x1+x9=2a/3,x3+x7=2a/3,x2+x8=2a/3,x4+x6=2a/3,2(x5)=2a/3,所以x1+x9=x3+x7=x2+x8=x4+x6=2(x5)。
性质五、九宫格中,两邻棱格数之和,等于两邻棱格对角线上较远的角格数的2倍。如图所示

一定有:x2+x4=2(x9),x2+x6=2(x7),x4+x8=2(x3),x6+x8=2(x1)。
证明:根据九宫格问题的通解

可得:x2+x4=2(x9),x2+x6=2a-2(x8)-2(x9)=2(x7),x4+x8=2(x8)+2(x9)-2a/3=2(x3),x6+x8=4a/3-2(x9)=2(x1)。
性质五中的三个数连线构成的三角形,我们不妨称为九宫格一角二棱三角形。
性质六、九宫格数字游戏唯一有解的条件是已知三个数,且三个数不能位于性质五所说的一角二棱三角形中,不能位于过中心格的行上,不能位于过中心格的列上,不能位于过中心格的对角线上。
证明:根据方程组

可知,有三个自由变量,分别是x8,x9和a,如果知道了a,也就知道了x5,即知道这三个未知数,就能求出其它6个未知数。
如果不知道a,知道x1, x8,x9,根据(1)式,可求出a值,知道x2, x8,x9,根据(2)式,可求出a值,知道x3, x8,x9,根据(3)式,可求出a值,知道x4, x8,x9,根据(4)式,可求出a值,知道x6, x8,x9,根据(6)式,可求出a值,知道x7, x8,x9,根据(7)式,可求出a值。
如果知道x8和x5,不知道x9, 知道x1, x8,x5,根据(1)式,可求出x9值,知道x3, x8,x5,根据(3)式,可求出x9值,知道x4, x8,x5,根据(4)式,可求出x9值,知道x6, x8,x5,根据(6)式,可求出x9值,知道x7, x8,x5,根据(7)式,可求出x9值。
同理如果知道x9和x5,不知道x8,再知道一个未知数,就能求出x8值。
如果只知道x4,x6,x8,根据(4)(6)式,可求出x9和x5。
如果只知道x3,x7,x9,根据(3)(7)式,可求出x8和x5。。
如果只知道x1, x2,x4,将图形旋转180度,就相当于知道了x6, x8,x9。即不知道x8或者x9,可以通过图形旋转,转化为知道了x8或者x9的情况。
如果三个数位于性质五所说的一角二棱三角形中,位于过中心格的行上,位于过中心格的列上,位于过中心格的对角线上,即知道x1,x6,x8;知道x2,x4,x9;知道x2,x5,x8,知道x4,x5,x6(可转化为x2,x5,x8),知道x1,x5,x9,知道x3,x5,x7(可转化为x1,x5,x9)。是无法求出唯一解。读者可自行分析。这里就不再赘述了。
因此至少需要知道三个未知数,且三个数不能位于性质五所说的一角二棱三角形中,不能位于过中心格的行上,不能位于过中心格的列上,不能位于过中心格的对角线上,九宫格才有唯一确定的解。
如果三个已知数位于性质五所说的一角二棱三角形中,位于过中心格的行上,位于过中心格的列上,位于过中心格的对角线上,可分为两种情况:
第一种情况,三个数不满足性质四或者性质五,则九宫格无解;第二种情况,三个数能满足性质四或者性质五,则九宫格有无穷多个解。
总结:
1、性质一至性质六,理解后,很容易就能将结论记下来了,不需要死记硬背。
2、其中性质一的口决,二四为肩,六八为足,七三为腰,上九下一,中心格为五。可改写成,中心格一定填第5个数,若第三行棱格填第1个数,第三行右边的角格填第8个数,则其它各格可计算出。简写为:中心格中间数,8格最小数,9格第二大数,其它可算出。性质一,应用于已知9个等差数列的数,快速填九宫格的问题。请注意,如果9个数不是等差数列,不能按照8格最小数,9格第二大数这个口决去填。
3、其中性质二至性质六,主要应用于九宫格数字游戏。在小学阶段,出题人一般不会出无解或者有无穷多解的情况,因此性质六可以不用考虑。为了记住性质二至性质五,可以另外起个名字。如性质二,可叫做九宫格三倍定律,简称3倍定律。性质三,可叫做九宫格相交相等定律,简称交等定律。性质四,可叫做九宫格过中心直线二倍定律,简称中心2倍定律。性质五,可叫做九宫格一角二棱三角形二倍定律,简称三角形2倍定律。也就是总共有4个定律,分别是3倍定律,交等定律,中心2倍定律和三角形2倍定律。起这样的名字,只是为了方便记忆,并没有特殊的含义,读者也可以取其它的名字。
对于复杂的小学问题,我们成年人最容易想到的解题方法就是解方程或者解方程组。而对于九宫格问题,我们可以准确的列出方程组,但是我们很难得到该方程组的通解。通过上文,我们可以看出,应用线性代数的知识,就能够很好的解答此类数学问题。在书写方面,也是比较简洁流畅的。难点在于,小学生很难理解矩阵的初等行变换,其本质上就是对方程组进行消元,得到等效的方程组。
本人是因为非常好奇,所以在大学毕业多年后,才通过网络学习,去搞懂线性代数到底是如何解方程组这个问题的。而九宫格问题,正好可以应用线性代数中的增广矩阵和矩阵初等行变换知识,于是我才很感兴趣写出了本文。
这类数学题目,能够很好的激发学生学习数学的兴趣,学习线性代数解方程组的兴趣。这是因为这类数学题目,并不是出题人挖空心思想出来的怪题和偏题,而是人类追求完美和平均的天性,自然就会提出来的一个数学问题。这也是本文发表出来的意义所在。

如果本文启发到你了,让你产生了学习数学的浓厚兴趣,请你在评论区告诉我。对于小学生,如果不能完全理解本文中的有关方程组和矩阵的知识,也没有关系,只要知道3倍定律,交等定律,中心2倍定律和三角形2倍定律这4个结论,是通过数学方法推导或者证明出来的,肯定是正确的,就行了。等你们将来上了大学,学过线性代数,你们就能够完全理解了。现在你们只要记住这4个结论,就能轻松的计算九宫格数学问题了。