数姐有话
一元二次方程中跟与系数的关系,是中考的一个难点,在未来高中阶段,也是一个常考的点,所以,同学们在初学这块内容时,要多多研究透彻!
| 内容 | 基本要求 | 略高要求 | 较高要求 |
| 一元二次方程 | 了解一元二次方程的概念,会将一元二次方程化为一般形式,并指出各项系数;了解一元二次方程的根的意义 | 能由一元二次方程的概念确定二次项系数中所含字母的取值范围;会由方程的根求方程中待定系数的值 | |
| 一元二次方程的解法 | 理解配方法,会用直接开平方法、配方法、公式法、因式分解法解简单的数字系数的一元二次方程,理解各种解法的依据 | 能选择恰当的方法解一元二次方程;会用方程的根的判别式判别方程根的情况 | 能利用根的判别式说明含有字母系数的一元二次方程根的情况及由方程根的情况确定方程中待定系数的取值范围;会用配方法对代数式做简单的变形;会应用一元二次方程解决简单的实际问题 |
知识点睛
1根的判别式
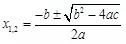
1.一元二次方程根的判别式的定义:
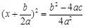
运用配方法解一元二次方程过程中得到

,显然只有当

时,才能直接开平方得:

.
也就是说,一元二次方程

只有当系数a、b、c满足条件

时才有实数根.这里

叫做一元二次方程根的判别式.
2.判别式与根的关系:
在实数范围内,一元二次方程

的根由其系数a、b、c确定,它的根的情况(是否有实数根)由

确定.
判别式:设一元二次方程为

,其根的判别式为:

则
①

方程

有两个不相等的实数根

.
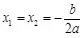
②

方程

有两个相等的实数根

.
③

方程

没有实数根.
若a、b、c 为有理数,且Δ为完全平方式,则方程的解为有理根;若Δ为完全平方式,同时

是2a的整数倍,则方程的根为整数根.
说明:Update
(1)用判别式去判定方程的根时,要先求出判别式的值:上述判定方法也可以反过来使用,当方程有两个不相等的实数根时,Δ>0;有两个相等的实数根时,Δ=0;没有实数根时,Δ<0.
(2)在解一元二次方程时,一般情况下,首先要运用根的判别式

判定方程的根的情况(有两个不相等的实数根,有两个相等的实数根,无实数根).当

=0时,方程有两个相等的实数根(二重根),不能说方程只有一个根.
① 当a>0时,抛物线开口向上,顶点为其最低点;
② 当a<0时,抛物线开口向下,顶点为其最高点.
3.一元二次方程的根的判别式的应用:
一元二次方程的根的判别式在以下方面有着广泛的应用:
(1)运用判别式,判定方程实数根的个数;
(2)利用判别式建立等式、不等式,求方程中参数值或取值范围;
(3)通过判别式,证明与方程相关的代数问题;
(4)借助判别式,运用一元二次方程必定有解的代数模型,解几何存在性问题,最值问题.
2韦达定理
如果一元二次方程

的两根为


那么,就有

比较等式两边对应项的系数,得

①式与②式也可以运用求根公式得到.人们把公式①与②称之为韦达定理,即根与系数的关系.
因此,给定一元二次方程

就一定有①与②式成立.反过来,如果有两数


满足①与②,那么这两数


必是一个一元二次方程

的根.利用这一基本知识常可以简捷地处理问题.
利用根与系数的关系,我们可以不求方程

的根,而知其根的正、负性.
在

的条件下,我们有如下结论:
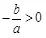
当

时,方程的两根必一正一负.若

,则此方程的正根不小于负根的绝对值;若

,则此方程的正根小于负根的绝对值.
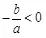
当

时,方程的两根同正或同负.若

,则此方程的两根均为正根;若

,则此方程的两根均为负根.

⑸ 韦达定理主要应用于以下几个方面:
①已知方程的一个根,求另一个根以及确定方程参数的值;
②已知方程,求关于方程的两根的代数式的值;
③已知方程的两根,求作方程;
④结合根的判别式,讨论根的符号特征;
⑤逆用构造一元二次方程辅助解题:当已知等式具有相同的结构时,就可以把某两个变元看作某个一元二次方程的两根,以便利用韦达定理;
⑤ 利用韦达定理求出一元二次方程中待定系数后,一定要验证方程的Δ.一些考试中,往往利用这一点设置陷阱.
数姐整理,转载请注明:文章来自初中数学微信公众号!