量子力学是描写微观物质的一种物理学理论,与相对论一起被认为是现代物理学的两大基本支柱,许多物理学理论如原子物理学、固体物理学、核物理学和粒子物理学以及其它相关的学科都是以量子力学为基础。量子力学的基本原理包括量子态的概念,运动方程、理论概念和观测物理量之间的对应规则和物理原理。

19世纪末,经典力学和经典电动力学在描述微观系统时的不足越来越明显。量子力学在20世纪初由普朗克、尼尔斯·玻尔、沃纳·海森堡、薛定谔、沃尔夫冈·泡利、德布罗意、马克斯·玻恩、恩里科·费米、保罗·狄拉克等一大批物理学家共同创立的。通过量子力学许多现象才得以真正地被解释,新的、无法直觉想象出来的现象被预言,这些现象也可以通过量子力学被精确地计算出来,后来也获得了非常精确的实验证明。量子力学的发展人们对物质的结构以及其相互作用的见解被革命化地改变,除通过广义相对论描写的引力外,至今所有其它物理基本相互作用均可以在量子力学的框架内描写(量子场论)。
从1925到1927年,在短短两年间,量子力学就基本成形,一直沿用至今。而对量子力学的理解和诠释,在第五届索尔维会议上爱因斯坦和玻尔所引发的激烈争论,却至今仍在发酵,已经演变成一场世纪之争。波尔说:“如果谁不曾对量子论感到震惊,他就根本没有理解它。"

第五届索尔维会议
海森堡不确定性原理
又名"测不准原理"、"不确定关系",英文"Uncertainty principle",是量子力学的一个基本原理,由德国物理学家海森堡于1927年提出。该原理表明:一个微观粒子的某些物理量(如位置和动量,或方位角与动量矩,还有时间和能量等),不可能同时具有确定的数值,其中一个量越确定,另一个量的不确定程度就越大。测量一对共轭量的误差的乘积必然大于常数 h/2π (h是普朗克常数)是海森堡在1927年首先提出的,它反映了微观粒子运动的基本规律,是物理学中一条重要原理。
海森堡测不准原理是通过一些实验来论证的。设想用一个γ射线显微镜来观察一个电子的坐标,因为γ射线显微镜的分辨本领受到波长λ的限制,所用光的波长λ越短,显微镜的分辨率越高,从而测定电子坐标不确定的程度△q就越小,所以△q∝λ。但另一方面,光照射到电子,可以看成是光量子和电子的碰撞,波长λ越短,光量子的动量就越大,所以有△p∝1/λ。经过一番推理计算,海森堡得出:△q△p≥h/2π。海森堡写道:“在位置被测定的一瞬,即当光子正被电子偏转时,电子的动量发生一个不连续的变化,因此,在确知电子位置的瞬间,关于它的动量我们就只能知道相应于其不连续变化的大小的程度。于是,位置测定得越准确,动量的测定就越不准确,反之亦然。”即粒子的位置和动量不能同时确定知道。

在我们生活的这个世界上,我们认为没有隐变量,上帝不会掷*子骰**,一切都是真实的,因此人们不能完全接受量子力学是因为它的不确定性。用传统的物理学来说,只要找到了事物之间相关的联系,就能随时确定,事物之间相关的物理数据,比如说,物体运行距离等于物体的速度乘以物体运行的时间,只要知道物体的速度,你就能时刻计算出物体运行了多远,然而海森堡提出的量子不确定性原理使得你无法预知一个微观粒子未来的状态。正如爱因斯坦所说的:”上帝不玩*子骰**,但是量子力学让我们不得不相信,上帝似乎是玩*子骰**的“。
量子力学理论的三大诡异现象
量子理论对于很多人来说是一个相当神秘也相当深奥的物理理论,事实上,就连爱因斯坦和量子理论的主要奠基人波尔也不能给予量子理论完美的解释。量子理论之所以如此神秘,是因为它主要研究的是微观世界的粒子行为,不向宏观世界那样很容易被我们观察和理解,而是量子理论中的几个神秘的让人匪夷所思的现象,直接颠覆了我们的人生观和世界观。
第一就是电子双缝干涉实验。简单来说,在实验中单个的电子可以同时穿过两条缝隙,在屏幕上留下干涉条纹,如果说这种特性可以用光既是粒子也是波的二重性来解释,那么接下来的实验结果就很难解释了。
当科学家在实验中利用侦测仪器试图观察电子到底是如何同时穿过两条缝隙时,电子又表现出了粒子的特性,只是穿过了其中的一条缝隙,在屏幕上留下的不再是干涉条纹,而是点状的图像。这样的结果出乎了所有人意料,就好像电子知道有人在观察它,观察这种行为可以影响电子的选择。直到今天,电子双缝干涉实验的结果也没有完美的解释,其中有些科学家试图用“平行宇宙”的概念加以解释,说实际上电子的选择有很多种,而当我们观察时,其他的选择立即消失,只能呈现一种选择结果,但是其他的选择在其他平行宇宙也在上演,就犹如有无数个你存在于不同的平行世界,只不过在不同平行世界的人生会各不相同。
第二就是量子纠缠。说的是两个相互纠缠的粒子可以相互感应到彼此,即使距离十分遥远,哪怕数光年,也能在瞬间感应到对方的变化并做出相应改变,速度甚至可以说是远超光速。
第三就是量子隧穿。在宏观世界,你不可能直接穿过一堵墙,但在微观世界就不一样了,粒子有一定的几率能直接穿过障碍物。由于量子理论的描述与宏观世界的相对论格格不入,如何将两大理论融合在一起成为物理学家们研究的圣杯,于是弦理论应运而生(这里不细讲弦理论,极其深奥)

量子假设的提出有力地冲击了经典物理学,促进物理学进入微观层面,奠基现代物理学。但直到现在,物理学家关于量子力学的一些假设仍然不能被充分地证明,仍有很多需要研究的地方。
1、双缝干涉
在经典力学的波动学说中,双缝干涉就是对光的波动解释,并没有神秘的地方,但是在量子力学中,双缝干涉就没那么容易解释了,其中有很多地方,科学家到现在都没有弄清楚。

对于该实验,量子力学认为,光是由一份一份的光量子组成,每份的能量大小为E=hυ,其中h为普朗克常数,υ为光子的频率。一束单色光穿过狭窄的单缝后再次穿过双缝,就会在双缝后面的屏幕上产生干涉条纹;该实验的神秘之处在于,如果我们一个一个地发射光子,也能得到干涉条纹,甚至我们把光子换成电子,甚至是分子,也能得到干涉条纹。
如果从粒子的角度看,粒子穿过单缝后,再次穿过双缝时只有两个选择,应该在屏幕上得到两条亮纹;可事实是得到了多条明暗相间的干涉条纹,说明单个粒子在该实验中能进行自我干涉。换句话说,单个粒子不是通过了一条缝,而是同时通过了两条缝,即单个粒子在同一时间,同时通过了双缝,就好似单个粒子一分为二后通过了双缝,然后再进行干涉组成一个粒子落到屏幕上。

该实验的神秘之处还在于,一旦我们试图探测粒子到底穿过了哪条缝,比如在双缝处加上探测器,那么干涉条纹会立刻消失,就好像粒子知道你对它进行观测了一般。
薛定谔的猫
"薛定谔的猫"是由奥地利物理学家薛定谔于1935年提出的有关猫生死叠加的著名理想实验,是把微观领域的量子行为扩展到宏观世界的推演。这里必须要认识量子行为的一个现象:观测。微观物质有不同的存在形式,即粒子和波。通常,微观物质以波的叠加混沌态存在;一旦观测后,它们立刻选择成为粒子。实验是这样的:在一个盒子里有一只猫,以及少量放射性物质。之后,有50%的概率放射性物质将会衰变并释放出毒气杀死这只猫,同时有50%的概率放射性物质不会衰变而猫将活下来。

一只猫被封在一个密室里,密室里有食物有毒药。毒药瓶上有一个锤子,锤子由一个电子开关控制,电子开关由放射性原子控制。如果原子核衰变,则放出阿尔法粒子,触动电子开关,锤子落下,砸碎毒药瓶,释放出里面的氰化物气体,猫必死无疑。原子核的衰变是随机事件,物理学家所能精确知道的只是半衰期--衰变一半所需要的时间。如果一种放射性元素的半衰期是一天,则过一天,该元素就少了一半,再过一天,就少了剩下的一半。物理学家却无法知道,它在什么时候衰变,上午,还是下午。当然,物理学家知道它在上午或下午衰变的几率--也就是猫在上午或者下午死亡的几率。如果我们不揭开密室的盖子,根据我们在日常生活中的经验,可以认定,猫或者死,或者活。这是它的两种本征态。如果我们用薛定谔方程来描述薛定谔猫,则只能说,它处于一种活与不活的叠加态。我们只有在揭开盖子的一瞬间,才能确切地知道猫是死是活。此时,猫构成的波函数由叠加态立即收缩到某一个本征态。量子理论认为:如果没有揭开盖子,进行观察,我们永远也不知道猫是死是活,它将永远处于半死不活的叠加态,可这使微观不确定原理变成了宏观不确定原理,客观规律不以人的意志为转移,猫既活又死违背了逻辑思维。

根据经典物理学,在盒子里必将发生这两个结果之一,而外部观测者只有打开盒子才能知道里面的结果 。而在量子的世界里,当盒子处于关闭状态,整个系统则一直保持不确定性的波态,即猫生死叠加。猫到底是死是活必须在盒子打开后,外部观测者观测时,物质以粒子形式表现后才能确定。这项实验旨在论证量子力学对微观粒子世界超乎常理的认识和理解,可这使微观不确定原理变成了宏观不确定原理,客观规律不以人的意志为转移,猫既活又死违背了逻辑思维。
究竟是必然还是偶然决定了宇宙的命运?或者说:“上帝玩*子骰**吗?”。这个是量子力学和相对论最大的争议。量子力学主张:世界是由不确定的、随机的事件决定,这个不确定(后者叫波动)其实就是辩证法主张的矛盾运作。而相对论则认为:世界应该是由固定的、机械的规律统治的,任何看似偶然的事件背后,其实都有必然在支撑。

量子力学作为20世纪最有突破的科学成就之一,也是最具争议的科学之一。"薛定谔的猫"很好的阐述了这一现状。关于薛定谔的猫,包括爱因斯坦在内的许多非主流科学家是持怀疑态度的,他们认为:这个原因是由"平行宇宙"(MWI)造成的,即: 当我们向盒子里看时,整个世界分裂成它自己的两个版本。这两个版本在其余的各个方面都是相同的,区别只是在于其中一个版本中,原子衰变了,猫死了;而在另一个版本中,原子没有衰变,猫还活着。
宇宙分裂
大家知道在关于猫的实验里,如果原子衰变,猫就被毒死,反之则存活。对此,哥本哈根派的解释:在我们没有观测它之前,猫是"又死又活"的,而观测后猫的波函数发生坍缩,猫要么死要么活。MWI则声称:每次实验必定同时产生一只活猫和一只死猫,只不过它们存在于两个平行的世界中。这样一来,薛定谔的猫也不必再为死活问题困扰。只不过是宇宙分裂成了两个,一个有活猫,一个有死猫罢了。对于那个活猫的宇宙,猫是一直活着的,不存在死活叠加的问题。对于死猫的宇宙,猫在宇宙分裂的那一刻就实实在在地死了,不是等人们打开箱子才"坍缩"。

猜想从宇宙诞生以来,已经进行过无数次这样的分裂,它的数量以几何级数增长,很快趋于无穷。我们现在处于的这个宇宙只不过是其中的一个,在它之外,还有非常多的其他的宇宙。有些和我们这个世界很接近,有些和我们这个世界非常不同。也许在某个宇宙中,小行星并未撞击地球,恐龙仍是世界主宰;在某个宇宙中,可能还生存着我们未曾见过的生物......
平行宇宙
平行宇宙概念的提出,得益于现代量子力学的科学发现。平行宇宙,并不是因为时间旅行悖论提出来的,它是来自量子力学,因为量子力学有一个不确定性,就是量子的不确定性。在20世纪50年代,有的物理学家在观察量子的时候,发现每次观察的量子状态都不相同。而由于宇宙空间的所有物质都是由量子组成,所以这些科学家推测既然每个量子都有不同的状态,那么宇宙也有可能并不只是一个,而是由多个类似的宇宙组成。

平行宇宙是指从某个宇宙中分离出来,与原宇宙平行存在着的既相似又不同的其他宇宙。在这些宇宙中,也有和我们的宇宙以相同的条件诞生的宇宙,还有可能存在着和人类居住的星球相同的、或是具有相同历史的行星,也可能存在着跟人类完全相同的人。同时,在这些不同的宇宙里,事物的发展会有不同的结果:在我们的宇宙中已经灭绝的物种在另一个宇宙中可能正在不断进化,生生不息。有学者描述平行宇宙时用了这样的比喻,它们可能处于同一空间体系,但时间体系不同,就好像同在一条铁路线上疾驰的先后两列火车;它们也有可能处于同一时间体系,但空间体系不同,就好像同时行驶在立交桥上下两层通道中的小汽车。

英国天文学家称找到了支持平行宇宙论的证据。通过对宇宙微波背景辐射图的研究,他们发现了四个由“宇宙摩擦”形成的圆形图案,表明我们的宇宙可能至少4次进入过其他宇宙。

2007年 8月,科学家在研究宇宙微波背景辐射(CMB)信号时发现了一个巨大的冷斑(cold spot),其中完全是“空”的,没有任何的正常物质或者暗物质,也没有辐射信号,为什么宇宙中会存在如此怪异的时空。为了寻找这个答案,科学家认为这是另一个宇宙的证据,冷斑现象可能使得宇宙学家推出一种结论,暗示人们所处的宇宙之外还存在平行宇宙。科学家通过普朗克望远镜观测到的辐射数据发现我们的宇宙可能是10亿个宇宙中的一个,第一次有证据显示平行宇宙是存在的。普朗克望远镜绘制的地图显示了微波背景辐射的分布情况,科学家认为大爆炸后期残留的辐射均匀分布于宇宙空间中,尤其是在南天。北卡罗莱纳州大学教堂山分校理论物理学家劳拉·梅尔西尼-霍顿博士与来自卡内基·梅隆大学教授理查德·霍尔曼在2005年就预言了异常辐射的存在,并认为由于平行宇宙的存在导致了辐射分布异常。梅尔西尼-霍顿博士认为普朗克探测器的数据支持了平行宇宙存在的假设,这意味着在人们所处的宇宙之外还存在无限多的宇宙,正是由于其他宇宙的拖拽效应使得南天出现分布不均的辐射。、

宇宙微波背景辐射信号中的巨大冷斑跨度差不多达到10亿光年,位于波江座方向上,理论物理学家劳拉·梅尔西尼-霍顿博士认为这是另一个宇宙的信号,如果该发现被证实,那么这将是人类有史以来在本地宇宙时空外发现的第一个宇宙。宇宙微波背景辐射来自于宇宙大爆炸后残留的信号,存在于微波波段,NASA的威尔金森微波各向异性探测器和斯隆数字巡天拍摄的图像也显示我们的宇宙存在巨大的空洞,这一证据在2004年就被科学家发现。
事实上,关于冷斑的问题已经成为天文学家研究的重点,后来的研究显示这片神秘的宇宙时空并非完全不存在物质,在其周围存在小规模的星系,比起其他天区的星系,这些星系的跨度以及辐射都十分小,计算表明,宇宙空洞附近天体的辐射量比宇宙中其他可见时空辐射量减少大约20%至45%。然而,为什么宇宙中会形成如此奇怪的时空呢?比如距离银河系80亿光年处就存在一个直径大约为90光年的宇宙空洞,当前的宇宙大爆炸以及宇宙形成理论很难解释为什么可以形成这些空洞,它们的形成机制至今依然是个迷。

格里菲斯大学物理学教授霍华德·威斯曼说:“大概在1957年左右,量子物理学界出现了平行宇宙的想法。照此推断,量子测量每进行一次,一个宇宙就会产生出新的分支宇宙。所以就产生了无数的可能性——在有的宇宙里,陨石没有砸中地球,恐龙们幸存下来。再换一个宇宙,澳大利亚就成了葡萄牙人的殖民地了。此前,学者休·埃弗雷特发现量子粒子能够同时拥有两种不同的状态,因此提出了粒子以不同状态在不同世界同时存在的理论。按照这一理论,粒子在两种状态、两个世界之间不必二选其一,而是可以二者兼得。威斯曼和同事们认为,人们所处的宇宙不过是浩如烟海的众多的宇宙中的沧海一粟。这些宇宙同时存在,有的和人们所在的宇宙相似,有的则大不相同。威斯曼还表示,比较“靠近”的宇宙会相互排斥,增加相互之间的差异。

2014年10月31日,物理学家称,“平行宇宙”的确存在,给不同版本的“我们”提供生存空间。不仅如此,平行宇宙之间还会相互影响,所以才会出现微观层面种种奇怪的物理学现象。英国格里菲斯大学和美国加州大学学者联合提出上述理论。他们认为,平行宇宙不仅存在,而且相互影响,并非各自独立地发展变化;而相互作用,恰好能够解释微观物理研究发现的粒子奇怪的反应。
2015年,西班牙《趣味》月刊1月号报道,该领域最权威的两大专家、物理学家安德烈·林德和阿兰·古思认为,即便存在其他的宇宙,也是在离我们非常遥远的空间,我们永远不会与其发生接触;他们的同行保罗·J·斯坦哈特和尼尔·图罗克择坚持认为平行宇宙存在于不同的时间点;而马克斯·特格马克和已故科学家丹尼斯·夏默则认为其他的宇宙与我们所在的时空是彻底远离的。
2、量子纠缠与量子卫星技术
量子纠缠(quantum entanglement),或称量子缠结,是一种量子力学现象,是1935年由爱因斯坦、波多尔斯基和罗森提出的一种波,其量子态表达式:其中x1,x2分别代表了两个粒子的坐标,这样一个量子态的基本特征是在任何表象下,它都不可以写成两个子系统的量子态的直积的形式。 定义上描述复合系统(具有两个以上的成员系统)之一类特殊的量子态,此量子态无法分解为成员系统各自量子态之张量积(tensor product)。

量子卫星就是以量子信号做为卫星与地面之间数据传输媒介的卫星。其过程是量子信号从地面上发射并穿透大气层,卫星接收到量子信号并按需要将其转发到另一特定卫星,量子信号从该特定卫星上再次穿透大气层到达地球某个角落的指定接收地点。由于量子信号的携带者光子在外层空间传播时几乎没有损耗,如果能够在技术上实现纠缠光子在穿透整个大气层后仍然存活并保持其纠缠特性,人们就可以在卫星的帮助下实现全球化的量子通信。
2016年12月,从中国科学技术大学获悉,潘建伟院士及同事陆朝阳、陈宇翱等近期在量子信息科研领域再获重大突破,他们通过两种不同的方法制备了综合性能最优的纠缠光子源,首次成功实现"十光子纠缠",再次刷新了光子纠缠态制备的世界纪录。
2017年6月15日公布,中国量子科学实验卫星"墨子号"迎来了第一项重大成果,率先成功实现"千公里级"的星地双向量子纠缠分发,打破了此前国际上保持多年的"百公里级"纪录。
2018年1月,在中国和奥地利之间首次实现距离达7600公里的洲际量子密钥分发,并利用共享密钥实现加密数据传输和视频通信。该成果标志着"墨子号"已具备实现洲际量子保密通信的能力。

量子通讯是利用量子纠缠效应进行信息传递的。量子通讯的主要技术为:量子密码通信、量子远程传态和量子密集编码等,其基本部件包括量子态发生器、量子通道和量子测量装置。按其所传输的信息是经典还是量子而分为两类。前者主要用于量子密钥的传输,后者则可用于量子隐形传态和量子纠缠的分发。所谓隐形传送指的是脱离实物的一种“完全”的信息传送。据《新科学家》杂志综合报道,一支意大利和奥地利科学家小组宣布,他们首次识别出从地球上空1500公里处的人造卫星上反弹回地球的单批光子,实现了太空绝密传输量子信息的重大突破。这一突破标明在太空和地球之间可以构建安全的量子通道来传输信息,用于全球通信。量子纠缠技术是安全的传输信息的加密技术,即超光速传递信息。尽管知道这些粒子之间"交流"的速度很快,但我们目前却无法利用这种联系以如此快的速度控制和传递信息。因此爱因斯坦提出的规则,即任何信息传递的速度都无法超过光速,仍然成立。

3、量子隧穿
简单地说,量子隧穿是指微观粒子可以穿过一堵比自己还高的墙。这是一种量子效应,用经典力学的观点可能很难理解,但结合量子力学中波动性的观点,用薛定谔方程可以很容易解出来。

按照经典理论,总能量低于势垒是不能实现反应的。但依量子力学观点,无论粒子能量是否高于势垒,都不能肯定粒子是否能越过势垒,只能说出粒子越过势垒概率的大小。它取决于势垒高度、宽度及粒子本身的能量。能量高于势垒的、运动方向适宜的未必一定反应,只能说反应概率较大,而能量低于势垒的仍有一定概率实现反应,即可能有一部分粒子穿越势垒),好像从大山隧道通过一般,这就是隧道效应。根据爱因斯坦狭义相对论,任何物质在任何状况下的速度都不会超过光速 299,792,458米/秒。从理论上说,如果超过光速,时间将会出现倒流。
据报道,有两位德国科学家声称,利用量子隧穿效应,他们找到了让光突破自己速度限制的方法。两位德国科学家的实验是让微波光子粒子通过两个棱镜并进行观测得出。当两个棱镜分开时,大部分粒子都被第一个棱镜反射然后被探测器发现。但是,他们发现,有部分粒子却"隧穿"过了两个棱镜之间的间隙并被第二个棱镜反射回到探测器。尽管这部分粒子比大部分粒子穿越的距离要长,但是,两部分粒子却是同时被探测器发现。这也就是说,产生"隧穿"的光子粒子的速度超出了光速。德国科布伦茨大学教授Gunter Nimtz表示:"目前,这是唯一违反狭义相对论的一种现象。

在量子力学里,量子隧穿效应为一种量子特性,是电子等微观粒子能够穿过它们本来无法通过的"墙壁"的现象。正常情况下,粒子无法穿过这些"墙壁",但如果这些粒子足够小,这一切就可以发生。在放射性衰变发生时、在很多化学反应中以及在扫描隧道显微镜内都会出现这种量子隧穿效应,这是因为根据量子力学,微观粒子具有波的性质,因而有不为零的概率穿过这些"墙壁"。
扫描隧道显微镜是量子隧穿效应的主要应用之一。扫描隧道显微镜可以克服普通光学显微镜像差的限制,通过隧穿电子扫描物体表面,从而辨别远远小于光波长的物体。量子隧穿效应也可以存在于某些化学反应中。量子隧穿效应最常见于有机化学反应中,尤其是一些含活性中间体的反应和某些酶催化的生化反应。它是酶能够显著增加反应速率的一种机制。酶使用量子隧穿效应来转移电子及氢原子、重氢原子一类的原子核。实验也显示出,在某种生理状况之下,甚至连葡萄糖氧化酶的氧原子核都会发生量子隧穿效应。理论上,宏观物体也能发生隧穿效应。人也有可能穿过墙壁,但要求组成这个人的所有微观粒子都同时穿过墙壁,其实际上几乎是完全不可能。

在量子世界中,生命是一台复杂的分子机器。
生命有序性的自我维持需要依靠酶、色素、DNA、RNA和其他生化分子的协同合作,而这些生化分子的性质则多数建立在诸如隧穿、相干性和纠缠态等量子现象上。量子范畴内发生的变化引起宏观世界的效应是生命独有的特征,正是生命宏观现象对量子世界的敏感性。在微观的量子世界中,粒子们的奇特性质包括:同时做两件事(量子自旋)、能穿墙而过(量子隧穿)、具有幽灵般的联结等(量子纠缠)。这些奇特的性质之所以没有出现在宏观的经典世界,是因为分子间的“测量”。而在生命中,这些分子特异性是存在的。

从长远来看的话,一切都是量子的。如果没有量子力学的解释,我们目前对世界如何运转的大部分法都不能成立,现代技术世界的一大半成果都不可能出现。而如今,越来越多的研究证明,量子力学不仅仅作用于非生命现象,在生命现象中仍旧起关键作用。没有量子力学,我们就无法解释酶的催化(量子隧穿)、光合作用(量子漫步)、鸟的导航(量子纠缠)、鱼的嗅觉(量子自旋)、基因突变(量子跃迁)等生命现象。

我们对于量子的无知,就像300多年前,人类对于光的无知一样。也许,在未来的某一天,人类就能完全理解量子的世界。
在量子世界中,物理学家发现圆周率公式
圆周率π是圆的周长和其直径的比值,这是一个常数,在数学中是非常重要的。这个数是一个无理数,也就是一个无尽不循环的小数,大约为3.14159,后面有无数个小数位,永远也写不尽。经过数千年的努力,人类已经能够计算出相当精确的圆周率数值。它的计算公式有很多种,可以用无穷级数来表示。
比如数学家莱布尼茨发现的计算圆周率公式。

莱布尼茨发现的计算圆周率公式
再比如,数学家拉马努金发现的计算圆周率公式。

数学家拉马努金发现的计算圆周率公式
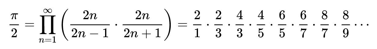
此外,还有数学家沃利斯在1655年发现的沃利斯乘积。

沃利斯乘积
在2015年,物理学家发现,上述于17世纪发现的经典圆周率公式也隐藏在量子物理世界中。这令物理学家兴奋不已,因为它揭示了量子物理学和数学之间存在不可思议的特殊联系。

氢原子能级
氢原子能级,这个发现与氢原子的能级有关。由于精确算出氢原子的能级是不现实的,于是物理学家Carl Hagen使用变分原理来估算氢原子的能级。在把这些数值与常规计算法进行比较时,他发现比率中出现了一个不寻常的趋势。很快他意识到,这实际上是计算圆周率的沃利斯乘积的一种表现,这是第一次从物理学中得到圆周率公式,十分意外的结果。
对此,数学家Kevin Knudson表示,在氢原子的量子力学方程中竟然隐藏着圆周率的公式,这十分不可思议。大自然在过去的80年里一直保守着这个秘密,现在终于被揭开了。而在量子力学和纯数学之间是否还隐藏着其他的秘密联系呢?
1928年,英国物理学家狄拉克完成了矩阵力学和波动力学之间的数学等价证明,对量子力学理论进行了系统的总结,并将两大理论体系——相对论和量子力学成功地结合起来,揭开了量子场论的序幕。量子理论是现代物理学的两大基石之一,从微观层面理解宏观现象提供了理论基础。
量子力学与心灵感应
心灵感应(telepathy),源于古希腊语,是1882年英国“心灵调查协会”的专家弗雷德里克迈雅斯提出的,它被认为是一种不通过感官,而以某种不可见的方式在人与人之间传递信息、交流思想的能力,是一种超感官知觉,又称心电感应。心灵感应常和远视、读心、预知等类似现象被归为一类, 统称为超心理学(parapsychology)。

心灵感应在生活中很常见,许多人都有切身体会。西北大学生命科学学院李璐、姚默在教育部重点实验室(西部资源生物与现代生物技术实验室)基金(KH09030)支持的项目结题中就叙述了心灵感应事例。
前苏联的研究人员把几只小兔子放进核潜艇,潜艇潜入被冰覆盖的海水中。而在莫斯科的实验室里,给小兔的母亲脑内埋入电极,在指定时刻,每次杀死1只小兔,同时调查母兔的反应。结果每当1只小兔被杀死的瞬间,母兔都有反应。表明:心灵感应通过水也能到达距离数千公里之外的地方,且确认动物也有该能力。
Lichtenstein等1999年发表在Behavior Genrtics的论文Telepathy in twins,对双胞胎的心灵感应现象也进行了肯定性的报道。同卵双胞胎常在相近时刻和相似部位发生相同的疾病,孪生子之间心灵感应一般发生在基因完全相同的同卵双胞胎之间,表明该现象的发生与基因的相似程度有直接相关性。

心理学家所做的甘兹菲尔德实验对于这种超感觉现象更具说服力。“接受者”躺在只有微弱红光的房间里,处于放松状态,并用劈成两半的乒乓球盖住双眼,戴上耳机,里面*放播**着白噪音,剥夺其感官信息。“传递者”在另一间屋子观察一个随机选定的目标,如图片,并通过心灵感应将画面传递给“接受者”。之后,“接受者”要描述实验中观察到的图像,并在4幅图中指出所观察的图像。从1974—2004年间,共进行了88次甘兹菲尔德实验, 在3145个测试案例中有1008例命中(32.1%的命中率),这明显高于25%的随机猜测的概率。
根据量子力学理论,在相互耦合的微观粒子(如电子、光子等)之间存在某种神秘的远距离上的关联,如果我们对其中的一个粒子进行测量,另一个粒子将会瞬时“感应”到这种影响,并发生相应的变化,无论它们相距多远。通俗点解释,所谓量子纠缠就好像你通过一个魔力把是把一个硬币分割成2面,一面放在地球,一面放在火星,如果你在地球上可以看的是硬币的正面面,那么你可以瞬间想当然的确定在火星上的那一面一定是硬币的反面。这就是一种远程的信息传递,当然前提是你有魔力,可以把一个双面的硬币扳开为2个独立的侧面。

如此现象导致了“鬼魅似的远距作用”,彷佛两颗电子拥有超光速的秘密通信一般。鬼魅”(spooky)一词出自爱因斯坦之口,他曾经推断,这种“鬼魅般的超距作用”(spooky actionat a distance),似与狭义相对论中所谓的局域性(locality)相违背。”因此直到过世前他都没有完全接受量子力学是一个真实而完备的理论,一直尝试找到一种更加合理的诠释。科学在研究意识中遇到的困难是,无法用我们人类熟悉的时间、空间、质量、能量等来测量意识,但是我们每一个头脑清醒的人都知道自己的意识是存在的。如何来研究无法用常规方法测量而存在的意识呢?目前有些学科在神经和大脑上对意识进行了广泛而深入的研究,虽然对大脑的许多功能有了不少的了解,但是对于意识本身仍然是个迷,仍然无法解释“意识的难题。

量子力学与意识
美国北卡罗莱纳州维克森林医学院大学教授兰萨从量子力学角度出发,表明人死了其实没有消失,只是意识造成的一种幻象。

他指出,我们熟知的死亡其实并不存在,死亡是不可被描述和定义的,死亡只存在我们的意识之中,他发现,当人的心跳停止跳动、血液停止流动,即物质元素停顿时,意识讯息任然可以运动,也就是说除了肉体外还有“量子讯息”也就是我们俗称的“灵魂”。他认为在我们的生命失去机能,走到尽头时,还会在另一个世界重新开始。
关于人死后生命是否依然存在的问题一直被各界争论不休,俄罗斯<晨报>2012年10月30日文章却指出,宣称找到了有力证据证明,人在心跳停止以后依然存在“灵魂”。

研究人员表示,“当人的心跳停止,血液停止流动时,微管失去其量子状态,但存在于其中的量子信息不会被破坏,所以它们就在宇宙中传播散布。所以如果重症监护室的病人存活下来,他们多会讲述那“一束白光”或者看到自己如何“灵魂出窍”;如果病人去世,那么量子信息就会在不确定的期限内存在于肉体之外,即"灵魂"。
量子力学在生活中的应用
1.晶体管。晶体管的优势在于它能够同时扮演电子信号放大器和转换器的角色。这几乎是所有现代电子设备最基本的功能需求。但晶体管的出现,首先必须要感谢的就是量子力学。正是在量子力学基础研究领域获得的突破,美国斯坦福大学的研究者尤金·瓦格纳及其学生弗里德里希·塞茨得以在1930年发现半导体的性质——同时作为导体和绝缘体而存在。在晶体管上加电压能实现门的功能,控制管中电流的导通或者截止,利用这个原理便能实现信息编码,以至于编写一种1和0的语言来操作它们。此后的10年中,贝尔实验室的科学家制作和改良了世界首枚晶体管。1954年,美国军方成功制造出世界首台晶体管计算机TRIDAC。今天,英特尔和AMD的尖端芯片上,已经能够摆放数十亿个微处理器。而这一切都必须归功于量子力学。
2.量子干涉搞定能量回收。量子干涉描述了同一个量子系统由若干个不同态叠加成一个纯态的情况,这听起来让人完全不知所谓,但研究人员利用它研制了一种分子温差电材料,能够有效地将热量转化为电能。更重要的是,这种材料的厚度仅仅只有百万分之一英尺,在其发挥功效时,不需要再额外安装其他外部运动部件,也不会产生任何污染。研究团队表示,如果用这种材料将汽车的排气系统包裹起来的话,车辆因此将获得足以点亮200只100瓦灯泡的电能——尽管理论让人茫然,但这数字可是清晰可见的。该团队因此对新型材料的前途充满信心,确定在其他存在热量损失的领域,该材料同样能够发挥作用,将热能转变为电能,比如光伏太阳能板。而我们只需知道,这都是量子干涉“搞定”的。
3.量子时钟。航天工程师在计算宇宙飞船的飞行轨迹时,必须清楚地了解目的地的位置。不管是恒星还是小行星,它们都时刻处在运动当中,同时距离也是必须考虑的因素。一旦将来我们飞出了所在星系的范围,留给误差的边际范围将会越来越小。对于这些极度精准的原子钟来说,导致误差产生的最大敌人,是量子噪声。它们能够消减原子钟测量原子振动的能力。现在,来自德国大学的两位研究人员已经开发出通过调整铯原子的能量层级来抑制量子噪声程度的方法。他们目前正在试图将这一方法应用到所有原子钟上去。毕竟科技越发达,对准时的要求就越高。
4.量子密码的安全性。量子密码是一种利用量子纠缠效应、基于单光子偏振态的全新信息传输方式。其安全之处在于,每当有人闯入传输网络,光子束就会出现紊乱,每个结点的探测器就会指出错误等级的增加,从而发出受*警袭**报;发送与接收双方也会随机选取键值的子集进行比较,全部匹配才认为没有人*听窃**。换句话说,黑客无法闯入一个量子系统而不留下干扰痕迹,因为仅仅尝试解码这一举动,就会导致量子密码系统改变自己的状态。相应的,即便有黑客成功拦截获得了一组密码信息的解码钥匙,那他在完成这一举动的同一时刻,也导致了密钥的变化。因而当合法的信息接收者检查钥匙时,就会轻易发现端倪,进而更换新的密钥。量子密码的出现一直被视为“绝对安全”的回归。
5.随机数发生器。所谓的随机数发生器,它们借助量子力学,能够召唤出真正的随机数。不过,科学家为什么要不辞劳苦地深入量子世界来寻找随机数,而不是简单轻松地抛下硬币、掷个*子骰**。真正的随机性只存在于量子层级,因此,科学家收集到关于掷*子骰**的足够信息,那么他们便能够提前对结果作出预测。这对于轮盘赌博、彩票甚至计算机得出的开奖结果等统统有效。
6.激光。今天,无论是家用CD*放播**器,还是“导弹防御系统”,激光已经在当代人类的社会生活中,占据了核心地位。激光器的原理,是先冲击围绕原子旋转的电子,令其在重回低能量级别时迸发出光子,这些光子随后又会引发周围的原子发生同样的变化,即发射出光子。最终,在激光器的引导下,这些光子形成稳定的集中束流,即我们所看到的激光。人们能够知晓这些,离不开理论物理学家马克斯·普朗克及其发现的量子力学原理。普朗克指出,原子的能量级别不是连续的,而是分散、不连贯的,当原子发射出能量时,是以在离散值上被称作量子的最小基本单位进行的。激光器工作的原理,实际上就是激发一个特定量子散发能量。
7.超精密温度计。如果用普通的医用温度计去测量比绝对零度低百分之一的温度,这支温度计的下场可想而知。那么如何去对付这样的极端温度呢?美国耶鲁大学的研究人员发明了一支可以对付这些情况的神奇温度计。它不仅能在极端环境中保持坚挺,更能够提供无比精确的数值。为制作这种温度计,研究团队必须重新梳理温度计的设计思路。比如获得精确数值的方式。科学家借助量子隧道,粒子在穿越势垒的过程中,产生出了量子噪声。使用这种量子温度计去测量这些噪声,便能够精确地得出实验物体的温度。
8.量子计算机。相比传统计算机,量子计算机具有无可比拟的巨大优势:并行处理。借助并行处理的能力,量子计算机能够同时处理多重任务,而不是像传统计算机那样还要分出轻重缓急。量子计算机的这一特性,注定它在未来将以指数级的速度超越传统计算机。不过,量子计算机使用的是比传统比特存储能力高出许多的量子比特,而量子比特非常难以创造出来,因为这需要多种粒子共同组成网络。直到现在,科学家只能够一次性将12种粒子缠连起来,因此量子计算机若要实现商业化应用,至少需要将这个数字增加数十倍甚至上百倍。
9.瞬时通信。当你在用手机、短信、邮件以及MSN、飞信等等诸如此类的通信工具时,你发出的声音、文字、图像都需要一点时间才能达到目的地,或长或短而已。现在的人们日常所能用到的通信方式,所需时间虽然极其短,但在很远的未来,人与人之间的交流不会只限于大洲与大洲之间,而可能需要横跨星系,这就使通信时间大大的增加,“好奇”号火星车登陆火星,传回的信号到达地球就有十几分钟的延迟,这还只是在太阳系中地球与火星的距离,如果将距离延伸更远,那么科学家认为,只有量子力学才有能力真正实现“即时”的通信,无论距离多远。
10.远距传输。远距离传输就是量子态隐形传输,是在无比奇特的量子世界里,量子呈现的“纠缠”运动状态。该状态的光子如同有“心电感应”,能使需要传输的量子态“超时空穿越”,在一个地方神秘消失,不需要任何载体的携带,又在另一个地方瞬间出现。在“超时空穿越”中,它传输的不再是经典信息,而是量子态携带的量子信息,这些量子信息是未来量子通信网络的组成要素。
