
(⊙_⊙)
每天一篇全球人文与地理
微信公众号:地球知识局
NO.1249-清末东北鼠疫
作者:李团长
制图:孙绿 / 校稿:猫斯图 / 编辑:养乐多
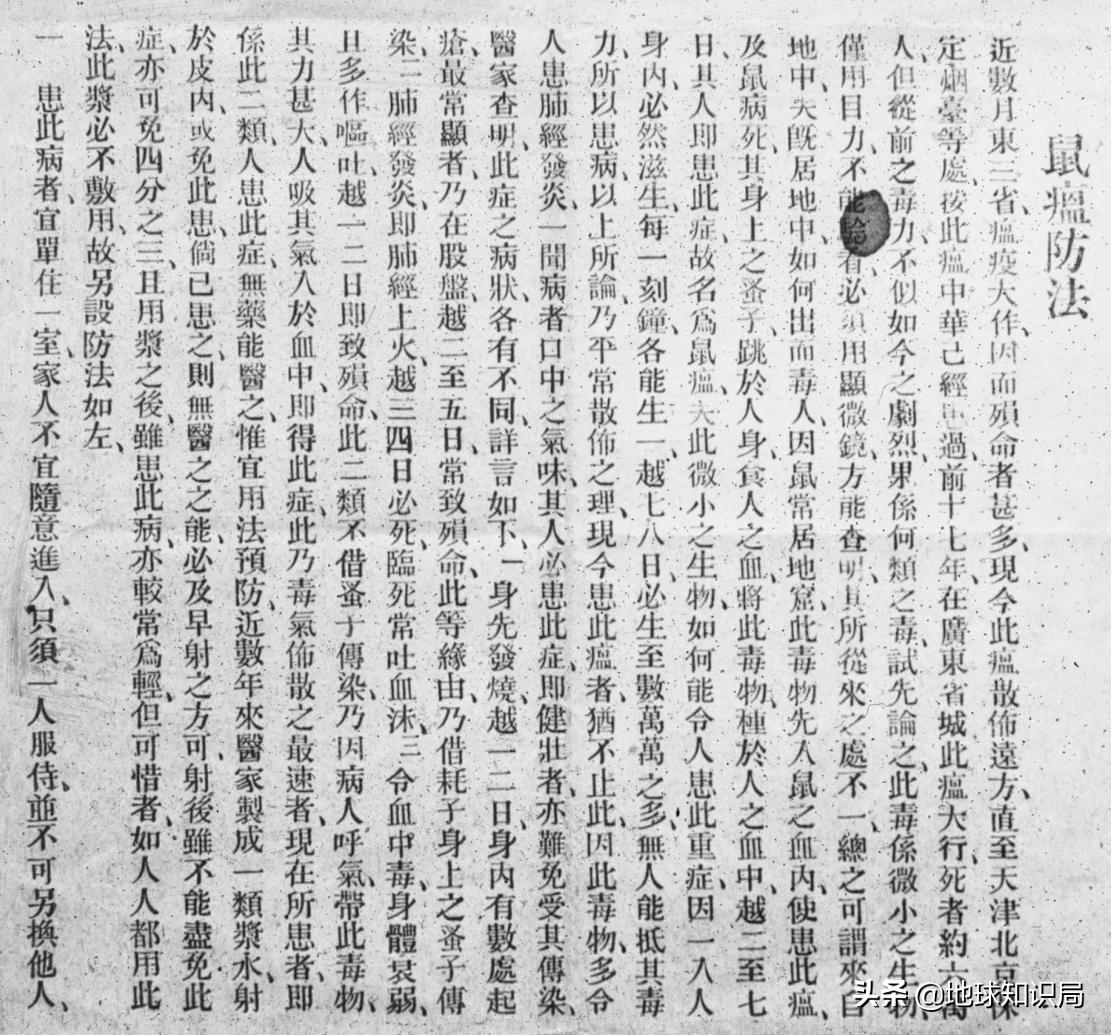
鼠疫又出现了。
尽管这种病已经多年没有在现代社会被发现,但影视作品和文学作品中仍然时不时有对鼠疫的表现。那尸横遍野,药石罔效的场面,往往令观者不寒而栗。其实也不用多说鼠疫的病理特征,仅这一个“疫”字,就足够让人对其闻风丧胆。
在辛亥革命前夕,中国东北大地上就曾爆发过一场规模空前的鼠疫,造成了巨量的伤亡。所幸在近代医疗和防疫手段的控制下,这场鼠疫最终竟被及时扑灭。
清朝末年的中国东北大鼠疫
(图片© Thomas H. Hahn Docu-Images)▼

在日俄包夹的缝隙中,中国人的这场自救运动尤其值得我们关注。
源自俄罗斯的纯正疫情
鼠疫是一种由鼠疫杆菌引起的烈性传染病,为严重威胁人类生命的瘟疫之一。由于其危害性远非其他传染病和一般疾病可比,一旦感染死亡率极高,因此鼠疫也被列为“国际检疫的第一号法规传染病”。
带有荧光标记的鼠疫耶尔森菌放大200倍
(图片来自:Wikipedia@ Larry Stauffer)▼

鼠疫和“鼠”有一定的关系。鼠疫病原菌的宿主是啮齿目松鼠科的旱獭,而跳蚤则寄生于其。旱獭是学名,对大家来说可能有些陌生,但俗名土拨鼠肯定就无人不知了。需要注意的是,俗名为土拨鼠的动物并不只是旱獭。
呆萌可爱看看就好,想亲密接触还是不要了
(图片来自:Wikipedia@Marumari)▼

在旱獭之间,以跳蚤为媒介,一直流行着鼠间鼠疫。旱獭一旦感染鼠疫杆菌,细菌就会在血液中迅速繁殖,几小时到十几小时后就会出现各种并发症直至死亡,几乎是当场去世。因此有经验的猎人看到不明死因的旱獭,都会敬而远之,连别的旱獭也不敢碰那些横死林中的同类。
跳蚤载体前肠中的大量鼠疫耶尔森菌
这也是鼠疫的病原
(图片来自:Wikipedia@NIAID,NIH )▼

常年与动物打交道的猎户知道,这种疾病也会传染到人的身上,不出三日就会发病,若不及时救治,不日即亡。而且其传染性强,不但可以通过人间的直接接触传染,而且也可以通过使用的器皿把病菌传播至他人。
被跳蚤咬后感染了鼠疫杆菌的一个孩子
(图片来自:Wikipedia@Jack Poland)▼
清朝末年,中俄东部交界地带就爆发了一场大规模流行性肺鼠疫灾害。而其爆发,正与人们对旱獭暴毙原因的无知有关。
其实在此之前,清俄交界地带或多或少都发生过鼠疫地方性疫情。但由于东北人烟稀少,且猎人熟悉疫病情况,很少有大面积传播扩散的。
远东对于俄国和关内来说都是偏远又寒冷的地方
即使俄国人努力增加人口
所建城市的俄国人也还非常少
清朝则是长期将东北视为禁地
在开放移民之前汉人也很少▼

然而,到了19世纪末,大量外来者为了生计,纷纷聚集在西伯利亚草原及蒙古草原地带。这些外来务工人员的新工作主要为矿工、伐木工、皮草猎人,他们在促进了清朝末年中俄东部边境地区繁荣的同时,也扩大了人群聚居规模,同时不择手段地猎杀动物,最终酿成大祸。
皮毛资源是俄国人向西伯利亚扩张的重要动力
和很多西方国家一样,俄国要从清朝进口大量茶叶
而所能出口的,最重要的便是皮毛
(图片来自wikipedia@Kuerschner)▼

一切要从俄国境内西伯利亚的边境小镇达乌里亚说起。它位于今俄罗斯外贝加尔边疆区,为20世纪初西伯利亚大铁路东段紧靠后贝加尔斯克站的一个小站。
后贝加尔斯克对面就是满洲里
商人们在这里互通有无,微生物也搭了便车▼

这里有一个叫张万寿的中国包工头,人们习惯称其为“张把头”,经营着一处华工工棚。1910年9月的一天,工棚内的七人突然发病去世,死因未知,在当地造成了不小的恐慌。后来的调查指出,这些人可能直接或间接与感染了鼠疫的旱獭、外来猎人有过接触,成为了第一批大批量死亡的感染者。
得到消息的俄当局反应迅速,前来烧毁了张把头的工棚,隔离了所有工人,并将他们的衣物及所有用品一并烧毁,作为消毒。至于生者,俄当局也给予了一些补偿,但要求他们尽快出境,不得污染俄国当地的卫生环境。
反应迅速的俄国人对处理情况时刻关注着
唯恐波及自身
(图片© Thomas H. Hahn Docu-Images)▼

这些被驱逐的华工中,有两名得到赔偿就沿西伯利亚铁路南线坐火车,在满洲里入境大清国,并住到了中国铁路界内二道街的张木铺。然而只过了一个多月,这两名华工就相继在张木铺发病身亡。随后,此旅馆的旅客也相继感染疾病而亡。
东北鼠疫,开始了。
沿着铁路横扫东北
人类对于鼠疫并没有天然的免疫力,无论种族、年龄、性别,感染鼠疫的几率均等。不过疫情也会因为生活和卫生条件的差别而有一定的差异,首发人群显然是以捕猎者、苦力、劳工为代表的下层劳动人民。拥挤的居住环境和恶劣的卫生状况则为病菌传播提供了温床。
医疗卫生资源也是有的,但是很稀缺
和不断流动的人口以及过大的空间面积相比
想杜绝鼠疫的传播还是很难的
(图片© Thomas H. Hahn Docu-Images)▼

随后,以有产农民、商人、军人、医生等为代表中产阶级染疫情况也开始陆续出现。他们是与劳工混居或在第一线抵抗疫情的人,但病魔并不会因为他们的富裕而手下留情,人人平等只有在这时才能成真。
身份地位在活着的时候才有高低之分
在瘟疫面前,尸体放下面还是上面没什么讲究
(图片© Thomas H. Hahn Docu-Images)▼

但总有些人更平等。比如当时混迹于东北的俄国人,因社区卫生状况较好,且在疫情之初就杜绝了华人进入,并采取了一些消毒措施,鼠疫死者的比例明显低于华人。
对自己人的预防很到位
(图片© Thomas H. Hahn Docu-Images)▼

而在华人圈子里,10月在满洲里爆发的肺鼠疫,旋即由大清东省铁路(中东铁路)蔓延及哈尔滨、齐齐哈尔(卜奎)、长春、奉天(沈阳)等处,再由铁路线继续向周边腹地扩散。此时的东北地区,三将军改省制刚刚完成,除了东三省几个大城市外,其他的府厅县州也受波及,并由城市发展至农村地区,并最终进入关内。
顺着东北的铁路系统,在这广阔的东北大地
鼠疫感到大有可为啊▼

波及如此广泛的鼠疫与当时的社会大环境脱不离关系。
近代东北地区开发较晚,大量人口涌入的过程中,医疗服务设施并未及时跟进,卫生条件相对较差。疫情爆发后,医生也只是按照中医瘟病的方法治疗,未能进行隔离,导致大规模的交叉感染,连许多医务工作者也不能幸免遇难。
当时的一些固有观念也有碍防疫。比如中国人习惯于传统的土葬,但腐烂的尸体只会进一步恶化卫生状况,火化死者应是最有效的疾控手段。虽有西医提出此举,可由于强大的文化保守势力阻拦,火葬举措初期未能铺开。
命都要没了,还困在保守文化里
鼠疫杆菌在尸体上也可以存活
抛尸野外让传播更容易
(图片© Thomas H. Hahn Docu-Images)▼

随着感染的继续,终于有疾控专家提出应切断铁路客运,逐点消灭感染区。可此时的中东铁路长春以北(东清铁路)由俄国实际控制,俄当局并不想因华人的疫病而牺牲短期经济利益,放任铁路客运。倒是对经营东北信心满满的日本人严控了长春以南的南满铁路客运,在客观上阻断了病菌大规模进入辽宁(奉天)和关内。
铁路华工的一个集中隔离营
(图片© Thomas H. Hahn Docu-Images)▼

中国人自己救自己
在俄日两国虚与委蛇,互相扯皮的同时,法理上拥有东北主权的清政府却完全没了说话的资格。清政府既缺乏威权控制东北的能力,也没有现代化的疾控医疗团队,只能任凭日俄两国政府在各自势力范围制定防疫措施。而在这种特殊时期,防疫的旗号下往往还能隐藏着更多政治、经济、军事利益,包括东北主权的逐渐丧失。
如果你什么防疫手段都没有
就只能眼看着身边人一个个死去
(图片© Thomas H. Hahn Docu-Images)▼

比如俄国*队军**就有所动作,在哈尔滨的新街区和码头设置防疫线,禁止中国人进入租界,也不准华工进入沿海州,并禁止乘坐东清铁路的列车,同时加派大量*队军**来到中俄边境。不过,俄国方面也没将全部中国人都列入禁止的对象,接受过检疫,并乘坐快速列车的高端华人旅客就不在此列,没人和钱过不去。
更多的人就只能等死了?
(图片© Thomas H. Hahn Docu-Images)▼

俄国方面同时也派出人员试图参与鼠疫的防疫,这时中国方面指出,哈尔滨的傅家店(道外)一直是中国领土,与俄方及铁路线无关,但俄方认为,这一地区虽主权属中国,但与租界相邻,如不让俄人参与,恐怕会危及租界。俄国欲借肺鼠疫流行之机,加深在中国土地上的政治介入企图暴露无遗。
鉴于日俄对疫病的管控完全出于本民族和母国利益,指望他们在中国土地上全面推广防疫措施并不现实,由中国人主导的一场彻底消灭鼠疫的大会战迫在眉睫。恰在这时,曾在天津陆军军医学堂任副监督的伍连德来到了哈尔滨,并在此后指导了东北肺鼠疫防治工作。
伍连德先生是中国检疫、防疫事业的先驱
也是中国第一个诺贝尔奖候选人
(图片来自:Wikipedia@理查德·阿瑟·诺顿)▼

伍连德来到这里制定了一系列疫时社会制度,除了推动尸体火化外,还积极搜寻患者,采取的措施逐渐取得了良好的效果。他本人还亲自上阵,和巡警一道,用铁腕手段搜寻患者,力求将单点感染区的危害降到最低。
翌年春天,哈尔滨到了积雪融化的季节,又在野外相继发现因肺鼠疫而死亡者的尸体,社会恐慌情绪严重。伍博士的团队却不避危险,对遗体按规定流程处理,并同步新设中控现代医院以充实卫生事业,避免外国人的干涉。
遍地尸体如果没有得到及时的处理,只会加重疫情
(图片© Thomas H. Hahn Docu-Images)▼

奉天、吉林以及关内等省份,也逐渐按照这一基本方法展开防疫工作,东三省总督设置的奉天防疫总局就是一里程碑。再往下涉及到地方,比如奉天省就推行了防治疫病和检疫(火车、海港)等一系列措施,虽然在实施的过程中有不尽完善之处,但也展开了中国防疫事业现代化的第一步。
用于表彰在抗疫工作中的优秀贡献者
(宣统三年:1911年)
(图片© Thomas H. Hahn Docu-Images)▼

以这些措施为先导,晚清政府甚至还从俄国和日本手中收回了部分检疫权,这对日后恢复中国对东北行使主权有着重要的政治意义。
因祸得福,一场疫病让国家不得不将有限的资源用于近代卫生系统,并促进了卫生知识在民众中的流传,让中国的卫生近代化向前大大迈出一步。
向民众普及必要的防疫知识和处理方式
对控制疫情和预防疾病等有很大作用
(图片来自:dobrafotografija.blogspot.com)▼

在各方的不断努力下,这场首发于东北地区的近代中国首次大规模肺鼠疫灾害终于在几个月内结束。罹难人数总计近六万,但事态没有进一步扩大成全国级别的大瘟疫。
只是,救得了病人的晚清却没能救回自己。战胜东北鼠疫后不久,已经到了风烛残年的清王朝就在辛亥革命的熊熊烈火中化成了灰烬,千秋功绩只留待后人评说。
参考资料:
[1]孟祥丽.1910-1911年中国东北北部的鼠疫灾害与沙俄[D].哈尔滨:黑龙江省社会科学院,2008.
[2]饭岛涉.鼠疫与近代中国卫生的制度化和社会变迁[M].社会科学文献出版社:北京,2019:108-127
*本文内容为作者提供,不代表地球知识局立场
封面图片图片© Thomas H. Hahn Docu-Images
END