高斯是令人恐怖的,19岁那年,花了一个晚上把一道欧几里得留下来2000年的数学难题给解了,直接把老师都给吓傻了。
因为这道数学难题阿基米德没有解出来,牛顿用尽毕生也没能解出来,居然让高斯一个晚上给做出来了,他甚至很不好意思地说,老师我太笨了,花了一个晚上才做出来。
可见顶级数学家高斯有多恐怖了,在数学上的成就直接排到全世界人类的前三名,被数学界称为上帝般的男人。

1796年3月30日晚上,德国的哥廷根大学,19岁的高斯正在解3道老师给他布置的数学题目。
花了两个小时,他就把第一道题目和第二道题目都给解了。
但是第三道题目,老师却要求他只用圆规和一把没有刻度的直尺做出正17边形。
高斯觉得这道题难度高了一些,直到天亮,他终于给做出来了。
老师接过作业后,看到正17边形状的答案都惊呆了,老师用颤抖的声音问道:真的,是你做的吗?
高斯说:是的,我花了一个晚上才做出来,我实在是太笨了。
这道2000年的难题,是老师不小心放到高斯的作业里去了,高斯以为是老师布置的作业,就一股脑的给做了。
重点是:这道难题,就连顶级数学家阿基米德和牛顿都没解出来,高斯却解出来了,可见高斯的数学天赋有多高了。

高斯后来说,如果他知道这是一道两千年的难题,可能他也做不出来,他当时只是保持了平常心和专注。
高斯用代数的方法解决二千多年来的几何难题,他也视此为生平得意之作,并决定在他死后要把自己的墓碑做成正17边形。
高斯定理的结论:每一个正整数都可以表示为不超过3个三角数之和。
根据这一个结论,后来的科学家又发现了两种著名的定理:
拉格朗日四平方和定理:每一个正整数都可以表示为不超过 4个平方数之和。
费马定理:当n≥3时,每一个正整数都可以表示为不超过n个n角数之和。
卡尔·弗雷德里希·高斯是世界级大数学家,号称数学王子。
三岁时就能纠正父亲算账时的计算错误。
9岁时,老师布置了一个作业从1到100的求和,结果老师的粉笔刚放下,高斯就算出来了,答案是5050。老师都不敢相信,高斯算得这么快。
数学老师感觉十分敬佩,他认为这孩子有天赋,开始经常借数学资料给高斯学习,成为了高斯的数学启蒙老师。
高斯在十一岁那年,他导出了牛顿的二项定理一般展开式,对无限级数的展开丰富的论证。
12岁时,他已经开始怀疑元素几何学中的基础证明。
到了14岁,高斯已经很出名了,但是由于家境贫寒,高斯一度到了上不了学的地步,被布伦兹维克公爵资助,让他继续完成学业。
15 岁高斯偶然得到一本书,书上有一个对数表,他花了一年的时间计算其中100个,他发现素数分布密度接近于对数的倒数,这就是著名的素数定律。
17岁,高斯发现了质数分布定理和最小二乘法。
19岁,高斯破解了2000多年的数学难题。
22岁博士毕业,在博士论文,高斯证明了代数的一个重要的定理:任何一元代数方程都有根。
24岁,他成为哥廷根大学的数学教授,出版了《算学研究》,这本书的出现直接结束了19世纪以前数论的无系统状态,高斯晚年说:“《算学研究》已经成为历史性的著作了。”
事实证明的确如此。
30岁,高斯被任命为哥廷根大学的天文学教授和天文台长。

32岁他发表了天文学专著《天体运动理论》,其中最小二乘法,成为了天文学家研究和发现小行星运动轨道最有效的计算工具。
奥地利天文学家根据高斯书中计算出的轨道,成功地发现了谷神星,高斯从此名扬世界。
过了一年,他又准确预测了小行星二号——智神星(Pallas)的位置。
以至于后来的天文学家都要学《天体运动理论》。
高斯一个小时可以算出一个彗星的轨道来,而欧拉用古老法则须花上整整三天时间。
1812 年,高斯 35 岁,研究出了超几何函数。
从1818年开始,41岁的高斯接受了汉诺威公国的大地测量工作,这一干就是十年。
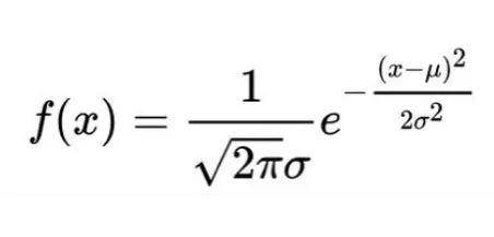
在长期测量中,从中推导了由椭圆面向圆球面投影时的公式,正态分布的密度函数,称为高斯函数。他还发明了日光反射镜。利用一面大镜子,把太阳光反射到遥远的地方,能够为测量员记位置。

50岁,高斯发表了《曲面的一般研究》,这本书涵盖了现在大学的微分几何内容。
给出费马大定理n=3,n=5情形的解,因对悬赏求证不感兴趣没有再做下去。
1833年,高斯56岁,他发明了全人类第一台电报。这简直是太牛了,直接从天文台牵线连到韦伯的实验室,每分钟可以发8个单词。
1834年,56岁的高斯和韦伯在天文台附近建造了一所磁气观测所,确定了地球磁场的南极和北极,还创造了电磁量的确定单位。
1855年2月23日清晨,高斯在睡眠中安祥去世,享年77岁。
1855年2月26日晨,在哥廷根大学天文台观测所前的广场上举行高斯的葬礼。
高斯的头上戴着桂冠,穿着紫色大学礼袍,躺在黑色灵柩内 ,周遭环绕着早春的花朵。
葬礼后高斯被葬在哥廷根的St. Albans墓园。
高斯对待学术有着非常严谨的态度,他一生只发表了155篇论文,还有大量的公式,他都没有发表过,因为他担心不够准确。
高斯,站在智商鄙视链最顶端的人。恐怖如斯!