温馨提示
“七分成绩定,三分志愿拼”
高考考得好,更要志愿填得好!
高考志愿填报是一个系统又繁琐的大工程,堪称几十万人的大博弈。为了帮助孩子用好每一分,到好行业、好地方、读好大学、学好专业, 推荐您选择步步通优选志愿规划志愿填报服务。#高考#
我省是我国的经济强省,也是我国的高等教育强省,与北京市、江苏省、湖北省等省市一起处于我国高等教育的第一方阵。拥有中山大学、华南理工大学两所原985工程大学,拥有暨南大学、华南师范大学两所原211工程。
大学排行榜很多,评选标准也是五花八门,那高考填志愿时最具参考价值的大学排名是什么?
答案一定是按往年高考录取分数排名!
那么,对于广东省高校而言,哪些高校的综合实力相对较强呢?哪些高校更值得考生和家长选择报考呢?下面,根据2022年各院校投档情况进行排名及分析,2023高考生赶快收藏参考、别忘了分享给有需要的同学,一起上大学!

注: 表格排名数据整理自广东本专科第一次投档分数和排名, 来源:博雅数据库,仅供参考,如有错漏,欢迎指正!
2022广东本科历史类投档












在高分段的投档中,历史类省内高校“三强”依旧是 中大、哈工大深圳、北师大珠海,紧随其后的是华工、暨大、华师、深大、华师(汕尾校区)、南医大、华农 。



其中, 中山大学 表现较稳,基本与往年持平, 最低投档线602分、最低排位1433名,较2021年略有所上升, 持续稳坐龙头大哥的位置。
哈工大深圳 紧随其后, 最低分600,最低排位1656;北师大珠海 继续高歌猛进,2021年投档609分,最低排位2031;2022年 599分最低排位1734。
作为省内师范院校“龙头”, 华南师范大学 连年来受到考生热捧, 最低分570,最低排位6297;此外,华南师范大学(汕尾校区)历史类招生表现不俗, 投档分558,最低排位9548 ,挺进前10。
新晋“双一流”建设高校华南农业大学、广州医科大学表现同样可圈可点 。华南农业大学 最低分547,最低排位13590; 广州医科大学 2022年最低分541,最低排位16072,2021年最低排位17975,排位上升1903位,排名上涨2名。
紧随前十的是 广外、 广大、广州医、北师港浸大、汕大、深圳北理、广工、深技大、广中医、广财 ,以上十所高校挤进前二十名。
其中 广东外语外贸大学 相较上年退步明显, 投档分544,最低排位15031 ,比2021年 下降了4967 , 高校省内排名下降3名,位列11名。
深圳北理 莫斯科大学 历史类招生表现不俗 , 投档分538,最低排位17265 ,位列16名; 北师港浸大 同样表现不俗, 最低排位16260,较2021年上升1661。
除此, 汕大医学院 在历史类也备受考生青睐 ,投档分525,最低排位24444, 排位上升7841位 ,排名上涨5名 。 广工揭阳校区分数也不低,投档分523,最低排位24444,位列23名。
高水平理工科大学建设高校东莞理工学院2022年同样备受考生欢迎 ,市外最低排位上升3370,市内更是上升了5447位 。
再往后看, 广东海洋大学 表现非常亮眼, 投档分514,最低排位30942, 排位上升5767位,其中*江阳**校区也备受考生青睐,投档分510,最低排位33598。
韩山师范学院、肇庆学院 和 韶关学院 等高校的投档表现突出,位居地方院校的前列,投档情况良好。
而 跌得比较厉害的是 广东金融学院 了,2021年广金投档分528分,最低排位30538,高校省内排名24。而2022年投档分则502分,最低排位39761,高校省内排名36。 高校省内排名下降12名,最低排位下降了9000多名。
再接着就是转设后的独立学院,从投档结果看,广东这批高校的招生并未受到“ 转设更名 ”影响,反而呈现“ 强者恒强 ”的特点。
从历史类看, 珠海科技学院 491分,广州城市理工学院482分, 广州新华学院 478分, 电子科技大学中山学院 476分 , 北京理工大学珠海学院475分,位居同类高校前5位。
2022广东本科物理类投档













本科物理类投档:
可以看出,在竞争愈加激烈的情况下,省内 排在第一的依旧是 哈工大深圳 , 647分最低分傲视群雄,最低排位2583 。 北师大珠海 2022年不仅在历史类表现亮眼,在物理类同样高歌猛进, 最低分617,最低排位11724,相较2021年上升1843,反超中大,挤进前二 。


省内高校中,最低排位大多呈下降状态, 中大、暨大、华师、深大、华师(汕尾校区)、南方医 最低排位下降都超过1000位,其中,深大下降最多,下降了6605位。
新晋“双一流”建设高校 华南农业大学 表现亮眼, 最低分572,最低排位45655,相较2021年上升10208,挤进前十。
除此,北师港浸大和广州医科大学也上升较多。 北师港浸大 2022年 投档分567,最低排位51101 ,排名11;最低排位涨了1.2万多名。 广州医 最低分561,最低排位58027 ,相较2021年涨了1万多名。
而跌得比较厉害的是 广东外语外贸大学 了,2022年,广外不仅在历史类招生中跌的厉害,在物理类同样跌的惨烈。2021年广外最低分577分,最低排位41461,高校省内排名10。而2022年则最低分555分,最低排位63950,高校省内排名16。高校省内排名下降6名, 最低排位下降了近2万多 。
再往后看,进入高水平大学重点学科建设高校行列的 佛山科学技术学院 表现不俗。 最低分528,最低排位99837,较2021年排位上升了近1万多 ,高校省内排名上升1位,来到26名的位置。
民办院校在物理类的表现依旧强势,其中, 珠海科技学院 最低投档分数为491分, 广州城市理工学院 489分, 广州新华学院 482分, 电子科技大学中山学院 481分、 北京理工大学珠海学院 480分 ,位居同类高校前5名。
2022专科历史类投档


























图片数据源自:广东省教育考试院
2022年历史类投档排名对比往年变化较大,其中 南方医科大学、韶关学院、嘉应学院、岭南师范学院、广东东软学院 等本科院校退出专科历史投档。
在高分段的投档中, 韩山师范学院、深圳职业技术学院、顺德职业技术学院、肇庆医学高等专科学校、深圳信息职业技术学院、广州番禺职业技术学院、广东轻工职业技术学院、广州卫生职业技术学院 8所学校 投档最低分数超过专科本科分数线 ,可见专科竞争激烈。
其中大部分学校排位上涨迅猛, 多数上升4万左右排位,甚至有上升13万排位 。在竞争愈加激烈的情况下, 深圳职业技术学院 持续霸榜前二 ,持续稳坐专科龙头大哥的位置。
2022年,考生报考医学类院校热情高涨,其中 肇庆医学高等专科学校、广州卫生职业技术学院、惠州卫生职业技术学院、广东江门中医药职业学院 等医学类院校分数暴涨,排位大幅度上升, 排名挤进前二十 。
医学专业“高难度、高压力、长周期”等特点曾让不少学子望而却步。如今,医学类专业“回热”,是社会环境、就业形势等多重因素影响的结果, 尤其是新冠肺炎疫情让人们更加深刻认识到医学的重要性,医护人员救死扶伤、守护人民健康安全的担当,也让不少高考学子深受触动,立志学医救人。
同时掌握一技之长、就业前景广阔等利好因素,也是吸引学生报考医学类专业的原因。
此外,被称为“铁饭碗”的师范类专业持续火热,尤其受考生追捧。其中,最大的黑马就是 广东茂名幼儿师范专科学校 。2021年茂名幼专最低分256分,最低排位256251,高校省内排名76,而2022年则最低分418分,最低排位120381,高校省内排名25。 高校省内排名整整上升了51名,最低排位上升了近13万多名。
除此, 广东汕头幼儿师范高等专科学校 也表现亮眼。汕幼专2022年投档分397,最低排位142700,排名45, 最低排位涨了10万多名 。
近两年来,“铁饭碗” 师范类专业热门。在当前就业形势和经济形势的双重影响下,考生们更倾向于做出“求稳”的职业规划。教师一职的稳定性和假期福利,吸引着不少考生报考师范专业。
民办院校中, 广东工商职业技术大学 一次性满档,投档分创历史新高,最低排位大幅度提升, 排名上升40名 。
整体来看,公办专科院校生源充足、投档分较高,竞争激烈, 只有一所公办院校有缺额 , 广东文艺职业学院 512专业项目组有22个名额。民办院校的历史类大量缺额,其中, 广州涉外经济职业技术学院、广东文理职业学院 缺额数均达1000以上。
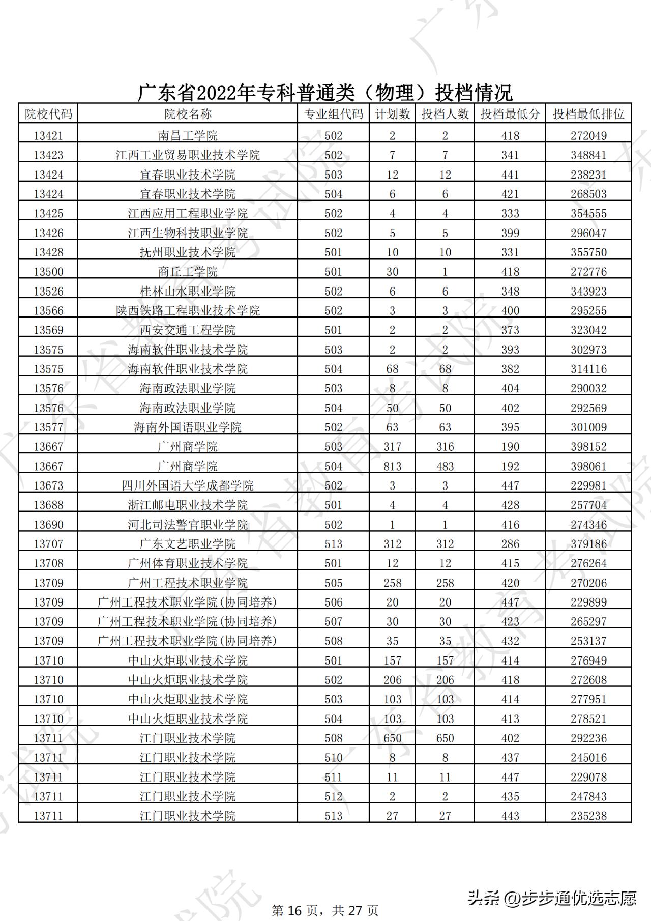
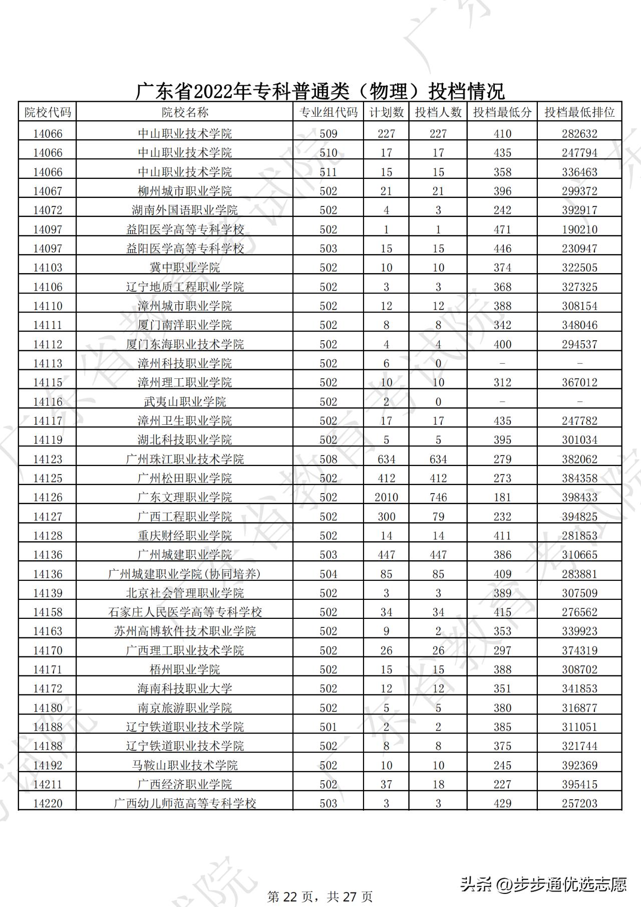
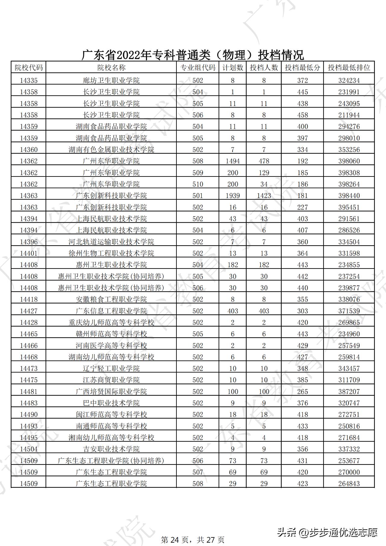
2022专科物理类投档
图片数据源自:广东省教育考试院



























2022年物理类投档跟历史类一样,对比往年排名变化较大,其中南方医科大学、嘉应学院、岭南师范学院等公*本科办**院校退出专科历史投档。
在高分段的投档中, 同样有8所学校投档最低分数超过专科本科分数线,分别是韶关学院、深圳职业技术学院、韩山师范学院、顺德职业技术学院、深圳信息职业技术学院、肇庆医学高等专科学校、广州卫生职业技术学院、广东茂名幼儿师范专科学校。
和历史类一样,大部分学校排位上涨迅猛,多数上升4万左右排位。 其中, 广东茂名幼儿师范专科学校 在物理类表现同样亮眼。2021年最低投档分为353,排位288633, 排名33 , 2022年跻身前十 , 最低投档分为445,排位232719, 排名8。
而跌得比较厉害的是 广东南华工商职业学院 和 广东体育职业技术学院 。 南华工商 2022年投档分437,最低排位245201,排名14; 最低排位下降了1.1万多名 。 广体职院 最低分400,最低排位295044,相较2021年 下降了1.2万多名。
整体来看,公办院校“抢破头”,投档一次满档,没有空额。民办院校大量缺额,其中,广州涉外经济职业技术学院、广东文理职业学院、广东酒店管理职业技术学院、广州东华职业学院缺额数均达1000以上。
另外, 广州城建职业学院、广东碧桂园职业学院 等民办学校受到考生青睐,生源情况较好,满档且投档分较高。
今年的投档情况又如何呢?
等成绩公布后可
小步将为大家整理2022年数据
以及预测今年分数可报考的高校
欢迎持续关注
步步通优选志愿综合考试院及网络,如有错漏欢迎指正~