问:焊锡丝与长度计算
当你在寻找线轴焊料时,会不会因得不到卖家提供的关于线轴上的产品长度数据而感到困惑?其实大可不必为此而焦虑,因为没有长度信息是因为焊料通常是按重量计算并销售的。
如果你无法通过目测来估算将收到的产品长度,那么该值可以通过计算得出。为此,我们需知道三个数值。
- 产品重量(不包括包装)
- 锡丝的直径
- 锡丝的成分(由此得出它的密度)

虽然这个方程看起来有点复杂,但我保证在实际操作起来要简单得多。你肯定可以轻松搞定!
下面我们就通过以下这些真实示例来实操一下。
示例一:无铅免清洗焊锡丝

|
厂商零件编号 |
4900-35G |
|
Digi-Key零件编号 |
473-1116-ND |
|
厂商 |
MG Chemicals |
|
描述 |
无铅免清洗焊锡丝Sn96.5Ag3Cu0.5 (96.5/3/0.5) 20 AWG,21 SWG管,0.60 oz (17g) |
|
规格书 |
点击此处 |
根据上述信息,我们可以先获得以下变量的数值:
- W(重量):17g
其包含在以上描述中。因为焊料通常按重量销售,所以重量通常会包含在描述中。
- d(直径):0.8mm
虽然描述中提到了线规是20AWG,但我们需要将其转换为mm直径格式,以进行计算。我们在规格书中找到了该值。
- D(密度):7.38 g/cm³
所有元素的密度都是恒定的。这意味着,只要我们知道某物中某元素的含量是多少,就能计算出其密度。我们也不必一一计算,因为这些合金的密度是现成的。在查找之前,我们先了解一下需要寻找什么。
这种合金是Sn96.5 / Ag3.0 / Cu0.5 。也就是说,它是由96.5%的锡 、3.0%的银和0.5%的铜制成的。如果有物体具有与这完全一致的元素组合,那它的密度就和本例中的相同。这是基本的物理常识。

那么我们在哪里可以找到所需的材料密度呢?这些值通常会包含在规格书中,但如果没有提供的话,在谷歌上同时搜索合金和密度等关键词,通常可以快速找到包含此值的资源。话虽如此,如果你继续向下滚动,就会看到我在文中列出了最常见的焊料及其密度。
有了这些值之后,我们需要将它们代入方程中并计算该产品的长度。



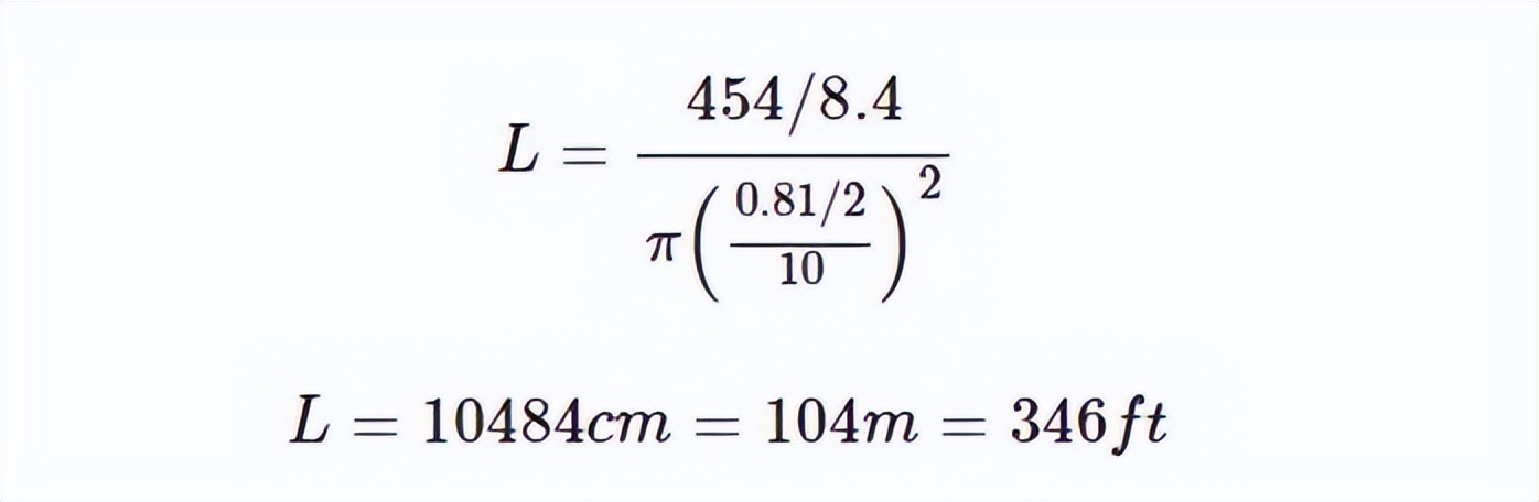
示例二:含铅免清洗焊锡丝

|
厂商零件编号 |
4865-454G |
|
|
DIGI-KEY 编号 |
473-1108-ND |
|
|
厂商 |
MG Chemicals |
|
|
描述 |
含铅免清洗焊锡丝Sn63Pb37 (63/37) 20 AWG,21 SWG线轴,1 lb (454 g) |
|
|
规格书 |
点击此处 |
|
|
W |
(重量) |
454g |
|
d |
(直径) |
0.81mm |
|
D |
(密度) |
8.40 g/cm³ |

常见合金材料密度值
下面总结了一份已知合金成分及其密度的列表,供大家在计算中使用。
|
合金成分 |
密度(g/cm³) |
||
|
Bi57Sn42Ag1 |
8.57 |
||
|
Bi58Sn42 |
8.57 |
||
|
In100 |
7.31 |
||
|
In52Sn48 |
7.3 |
||
|
In97Ag3 |
7.38 |
||
|
Pb60Sn40 |
9.28 |
||
|
Pb70Sn30 |
9.72 |
||
|
Pb85Sn15 |
10.47 |
||
|
Pb88Sn10Ag2 |
10.73 |
||
|
Pb93.5Sn5Ag1.5 |
11.02 |
||
|
Pb95Sn5 |
11.03 |
||
|
Pb97.5Ag1.5Sn1 |
11.26 |
||
|
Sn50Pb50 |
8.87 |
||
|
Sn60Pb40 |
8.51 |
||
|
Sn62Pb36Ag2 |
8.42 |
||
|
Sn62Pb38 |
8.37 |
||
|
Sn63Pb37 |
8.4 |
||
|
Sn95Ag5 |
7.4 |
||
|
Sn95Sb5 |
7.25 |
||
|
Sn96.5Ag3.0Cu0.5 |
7.38 |
||
|
Sn96.5Ag3.5 |
7.37 |
||
|
Sn96.5Ag3Cu0.5 |
7.37 |
||
|
Sn96Ag4 |
7.38 |
||
|
Sn97Ag3 |
7.36 |
||
|
Sn97Cu3 |
7.33 |
||
|
Sn99 |
7.28 |
||
|
Sn99.3Cu0.7 |
7.26 |
特别说明一下,以下方程不仅适用于焊料,还可以用于许多不同的场景。如果我们稍稍改动一下方程,就可以改变我们所得出的值。

示例三:更多灵活应用实例
以下是不同类型场景的应用示例。比如,我要在一艘改装的船上安装一些PVC管。我不想超过重量限制,因此我需要记录放置的所有东西。如果我手上有一个PVC管,我可以测量一下它的长度,然后计算出合适长度所对应的重量,但可惜现在没有。我能做些什么?显然,我可以去买一些PVC管,然后自己动手,或者……
我可以谷歌搜索PVC的密度,结果为1.38/cm³。据此,我计算出需要大约100英尺的2英寸管道。
以下是我找到的一张图表,其中包含了相关信息:

因此,我们通过计算得出的尺寸如下:
- OD = 2.375in (60.325mm)
- ID = 2.04 in (51.9938mm)

目前计算得出的管道重量为:
- W = 120220g
- W = 120.22Kg
- W = 265.04LBS
这个结果看起来有点重,那是因为这里没有考虑到管道的空心部分。我必须使用内径值再计算一次,然后用上面的值减去本次得出的值。
- W = 89307g
- W = 89.30Kg
- W = 196.88LBS
计算得出的管道重量为:
- W=30913g
- W=30.91Kg
- W=68.15LBS
100英尺2英寸PVC的重量约为68.15LBS。当然,根据上表可以得知,每英尺的管道重量为0.720LBS,因此100英尺的管道重量为72LBS。不过比较一下哪个数值更接近真实的重量也挺有意思。