标签:数据分析、数学、基础
基本初等函数
初等函数是由基本初等函数经过有限次的四则运算和复合运算所得到的函数。基本初等函数和初等函数在其定义区间内均为连续函数。目前对基本初等函数有两种分类方法:数学分析有六种基本初等函数,高等数学只有五种。数学分析所包含的初等函数比高数多一种,多的那一个初等函数是常量函数。
1.常数函数
不论自变量如何变化,对应的函数值都始终保持不变的函数,称为常数函数。其函数表达式和图形如下:
y=C(又称常值函数)

2.幂函数
即以底数为自变量,指数为常数的函数称为幂函数。其函数表达式和图形如下:


在上图中

3.指数函数
一般地,指数函数的定义域是 R ,在指数函数的定义表达式中,系数必须是1,自变量x必须在指数的位置上,且不能是x的其他表达式,否则,就不是指数函数。其函数表达式和图形如下:


在上图中,紫色的是a=2,灰色的是a=0.5。分别指的是0<a<1和a>1两种情况的图形。
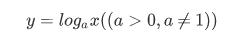
4.对数函数
对数函数是以幂(真数)为自变量,指数为因变量,底数为常量的函数。其中x是自变量,函数的定义域是(0,+∞),即x>0。其函数表达式和图形如下:


在上图中,紫色的是a=2,灰色的是a=0.5。分别指的是0<a<1和a>1两种情况的图形。
5.三角函数
三角函数是数学中常见的一类关于角度的函数。也就是说以角度为自变量,角度对应任意两边的比值为因变量的函数叫三角函数,三角函数将直角三角形的内角和它的两个边长度的比值相关联,也可以等价地用与单位圆有关的各种线段的长度来定义。常见的三角函数包括正弦函数、余弦函数和正切函数。其常见函数表达式和图形如下:


在上图中,绿色是正弦函数,红色是余弦函数,蓝色是正切函数。
6.反三角函数
反三角函数是反正弦arcsin x,反余弦arccos x,反正切arctan x,反余切arccot x,反正割arcsec x,反余割arccsc x这些函数的统称。它并不能狭义的理解为三角函数的反函数,是个多值函数。三角函数的反函数不是单值函数,因为它并不满足一个自变量对应一个函数值的要求,其图像与其原函数关于函数y=x对称。其常见函数表达式和图形如下:


上图中绿色是反正弦函数,红色是反余弦函数,蓝色是反正切函数。
在处理问题中,涉及到的计算问题,遇到比较多的的对数和指数之间的转换运算,下面就简单介绍下,它们之间的公式转换如下:
指数函数的运算:

对数函数的运算:

以上就是关于基本初等函数的介绍和它们的一些图形及转换公式。
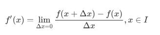
导函数
如果函数 f 在区间 I 上的每一点都可导(对于区间端点考虑相应的单侧导数, 如左端点考虑右导数),则称 f 为区间 I 上的可导函数。此时,对 I 上的任意一点 x 都有 f的一个导数与之对应,这就定义了一个在区间 I 上的函数,称为 f 在 I 上的导函数,简称导数。公式如下:

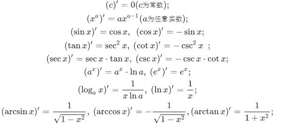
基本初等函数的导数公式

本文章为原创文章:技术文章—逻辑(不带源码)。
(1)更多优质内容和精彩资讯,可点击文章最底部的了解更多

(2)搜索CDA小程序,手机端随时随地浏览最新资讯和优质课程:
