混凝土结构用材料的性能
§2.1 钢筋
§2.2 混凝土
§2.3 钢筋与混凝土的粘结
§2.1 钢筋(steel reinforcement)
2.1.1 钢筋的品种(reinforcement types)与性能




※钢筋的强度与变形
•钢筋的s-e关系stress-strain relation


sa-比例极限fp proportional limit
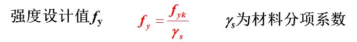
sb-屈服强度fy loweryield ,是钢筋强度的设计依据
sd-极限抗拉强度fu ultimate tensile strength
无明显屈服点的钢筋s-e图
s0.2-条件屈服强度(equivalent yield strength)残余应变为0.2%所对应的应力《规范》取s0.2 =0.85 fu

原应力-应变图

1. 热轧钢筋hot rolled steel reinforcing bar
HPB300级、HRB335级、HRB400级、RRB400级

钢筋的直径:d=6;6.5;8;8.2;10;12;14;16;18;20;22;25;28;32;36;40;50mm

热轧光面钢筋HPB300(Ⅰ级),多作为钢筋混凝土板和小型构件的受力钢筋以及各种构件的构造钢筋和箍筋。
热轧带肋钢筋HRB335(Ⅱ级),多作为大中型钢筋混凝土结构构件的受力钢筋和构造钢筋以及预应力混凝土结构构件中的非预应力钢筋,尺寸较大的构件;也有用Ⅱ级钢筋作箍筋的为增强与混凝土的粘结(Bond),外形制作成月牙肋或等高肋的变形钢筋(DeformedBar)。
热轧带肋钢筋HRB400(Ⅲ级)强度较高,用于大中型钢筋混凝土结构和高强混凝土结构构件的受力钢筋。
余热处理钢筋RRB400Ⅳ级钢筋强度太高,不适宜作为钢筋混凝土构件中的配筋,一般冷拉后作预应力筋。
热轧钢筋的力学性能

屈强比反映钢筋的强度储备,fy/ fu=0.6~0.7。

4 钢筋的应力—应变简化模型

(2)塑性性能:
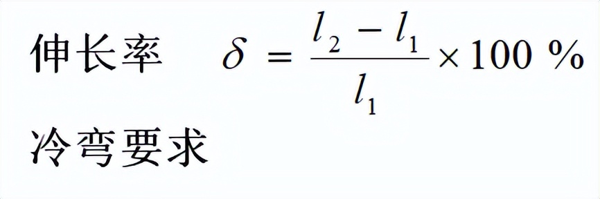
钢筋的塑性指标主要有两个:延伸率和冷弯性能。这两个指标反映了钢筋的塑性性能和变形能力。
伸 长率(Percentageof elongation):钢筋拉断时的应变,是指钢筋试件上标距为10d、5d(d为钢筋的试件直径)或100mm范围内的极限伸长率,记为δ10、δ5和δ100。延伸率大的钢筋,在拉断前有足够预兆,延性较好。含碳量越低的钢筋,屈服台阶越长,延伸率也越大,塑性性能越好。

均匀伸长率δgt由非颈缩断口区域标距的残余应变εr与恢复的弹性应变εe 组成。

2. 中高强钢丝(wire)和钢绞线(strandor tendon):
均用于预应力混凝土结构。预应力钢丝是以优质高碳钢盘条经等温淬火再拉拔而成的钢丝。中强钢丝的强度为800~1200MPa,高强钢丝、钢绞线的为1470 ~1860MPa;

钢丝的直径3~9mm;外形有光面、刻痕和螺旋肋三种。

钢绞线是用一种稍粗的直钢丝为中心,其余钢丝围绕其进行螺旋状绞合,再经低温回火处理,有2股、3股、7股等,常用的是3股、7股钢绞线。

硬钢的应力—应变曲线

条件屈服强度:
取残余应变为0.2%所对应的应力作为无明显流幅钢筋的强度限值,通常称为条件屈服强度。
3. 热处理钢筋 (heattreatment) :
是将Ⅳ级钢筋通过加热、淬火和回火等调质工艺处理,使强度得到较大幅度的提高,而延伸率降低不多。用于预应力混凝土结构。
4. 冷加工钢筋
是指在常温下采用冷加工工艺对热轧钢筋进行加工得到的钢筋。
•方法:冷拉、冷拔、冷轧、冷轧扭。
•目的:改变钢材内部结构,提高强度,节约钢筋。但经冷加工后,钢筋的延伸率降低。
冷拉

冷拉钢筋由热轧钢筋在常温下经机械拉伸而成,冷拉应力值应超过钢筋的屈服强度。钢筋经冷拉后,抗拉屈服强度提高,但塑性降低,这种现象称为冷拉强化。冷拉后,经过一段时间钢筋的屈服点比原来的屈服点有所提高,这种现象称为时效硬化。
冷拔

冷拔钢丝是将钢筋用强力拔过比它本身直径还小的硬质合金拔丝模而成的钢丝。分为甲级和乙级两个级别。
可提高钢筋的抗拉强度和抗压强度,但塑性降低很多,冷拔低碳钢丝的延性较差,且表面光滑,与混凝土粘结性差。
冷轧带肋钢筋
冷轧带肋钢筋是以普通低碳钢、优质碳素钢或低合金钢热轧圆盘条为母材,在表面冷轧成具有三面或两面月牙形横肋的钢筋,分为五个级别(CRB550、CRB650、CRB800、CRB970和CRB1170),极限强度与冷拔低碳钢丝相近,但伸长率比冷拔低碳钢丝有明显提高。
冷轧扭钢筋
冷轧扭钢筋是以热轧光面钢筋 HPB235为原材料,在常温下按规定的工艺参数,经钢筋冷轧扭机一次加工,轧扁扭曲呈连续螺旋状的冷强化钢筋,有矩形、菱形和螺旋肋几种。
2.1.2 混凝土结构对钢筋性能的要求
1.强度:强度是钢筋质量的重要目标。
屈服强度、抗拉强度、强屈比。
2.塑性:要求钢筋混凝土结构承载能力极限状态为具有明显预兆的塑性破坏。

3.可焊性:焊接后不应产生裂纹及过大的变形,以保证焊接接头性能良好。
4.与混凝土具有良好的粘结
§2.2 混凝土(concrete)

混凝土受压破坏机理可概括为:随着应力的增大,沿粗骨料界面和砂浆内部的微裂缝逐渐延伸和扩展,导致砂浆的损伤不断积累;裂缝贯通后,混凝土的连续性遭到破坏,逐渐丧失其承载力,破坏的实质是由连续材料逐步变成不连续材料的过程。

2.2.1 混凝土的强度
1. 抗压强度
⑴ 立方体抗压强度 fcuk
依此确定我国混凝土强度等级:
用标准制作方式制成的150mm×150mm×150mm的立方体试块,在20±3℃的温度和相对湿度在90%以上的潮湿空气中养护28天,用标准试验方法测得具有95%保证率的抗压强度。
fcuk=μf -1.645σf
常用等级:C15,C20,C25,C30,C35,C40,C45,C50,C55,C60,C65 ,C70,C75,C80
影响立方体抗压强度的因素:
•内因:如强度与水泥标号、骨料品种、配合比等
•外因:试验方法(箍套)、加荷速率、龄期、温度、湿度、试件尺寸。
尺寸的影响:
fcu(150) = 0.95 fcu(100) fcu(150) = 1.05 fcu(200)


2、轴心抗压强度fc
(1)轴心抗压强度的概念:也称棱柱体抗压强度(用符号fc表示),是用高宽比为2~4的棱柱体试件测得的抗压强度,我国标准以150×150×300mm的棱柱体试件为标准试件,也常用150×150×450的棱柱体试件。
(2)棱柱体抗压强度和立方体抗压强度的换算关系

二、混凝土破坏机理

混凝土的破坏机

到达B点以后,混凝土产生部分塑性变形,应力-应变逐渐偏离直线。B点时的裂缝发展已不稳定,试件的横向变形突然增大,常取sB作为混凝土的长期抗压强度 ;普通强度混凝土sB约为0.8 fc,高强混凝土sB可达0.95 fc
到达C点时,内部微裂缝连通形成破坏面,试件承载力开始减小而进入下降段。B点时的应力称为峰值应力,即为混凝土棱柱体抗压强度;相应的纵向压应变称为峰值应变,约为0.002。继续发展至D点时,破坏面初步形成。
E点以后,纵向裂缝形成一个斜向的破坏面,此破坏面在正应力和剪应力的作用下形成破坏带。此时试件的强度由破坏面上骨料间的摩阻力提供。随着应变进一步发展,摩阻力不断下降,试件的残余强度约为0.1~0.4 fc

约束混凝土可以提高混凝土的强度,但更值得注意的是可以提高混凝土的变形能力,这一点对于抗震结构非常重要。
轴心抗拉强度ft

轴心抗拉强度标准值

抗折强度
《普通混凝土力学性能试验方法标准》选用简支梁进行试验,采用三分点对称加载。

3、混凝土强度的标准值
(1)《规范》规定材料强度的标准值fk应具有不小于95%的保证率

(2)立方体抗压强度标准值

(3)轴心抗压强度标准值


[例]已知fcu,m=30MPa, d=0.14,求fcu,k和fck
fcu,k=fcu,m×(1-1.645d)=23.09MPa
fc,m=0.76fcu,m
fck=fcu,m(1-1.645d)×0.88×1.0
=0.76fcu,m(1-1.645d)×0.88×1.0 =15.44MPa
3. 混凝土在复合应力作用下的强度
⑴混凝土的双向受力强度
双轴受力试验一般采用正方形试件,试验时沿板平面内的两对应边分别作用法向应力s1和s2,沿板厚方向的法向应力s3=0,板处于平面应力状态。
s1、s2 (压-压) 强度增加
s1、s2 (拉-压) 强度降低
由于同时拉压时,增加了试件另一方向的受拉变形,加速了内部微裂缝的发展,使混凝土强度降低。混凝土的强度均低于单轴受力(拉或压)强度。
s1、s2 (拉-拉)单向受拉强度基本不变

⑵ 混凝土在法向应力和切应力作用下的复合强度

在有剪应力作用时,混凝土的抗压强度将低于单向抗压强度。
在剪压应力状态下,压应力达到0.6fc前,混凝土的抗剪强度随压应力增大而提高,超过0.6fc后,抗剪强度随压应力增大反而减小,当压应力达到混凝土轴心抗压强度时,抗剪强度为零。
在剪拉应力状态下,随着拉应力绝对值的增加,混凝土抗剪强度降低,当拉应力约为0.1fc时,混凝土受拉开裂,抗剪强度降低为零。
⑶ 混凝土的三向受压强度
三向受压时,混凝土的抗压强度和极限变形都有较大提高。


2.2.2 混凝土的变形
混凝土的变形分为两类:混凝土的受力变形和非受力变形
一. 混凝土的受力变形
1. 受压混凝土一次短期加荷的s- e曲线
试件:棱柱体

混凝土单调短期加载下的变形性能Stress-strain Relationship
分析混凝土构件应力、建立承载力和变形计算理论的必要依据,也是利用计算机进行非线性分析的基础。

轴心受压混凝土的应力—应变曲线





(3)不同强度等级混凝土的应力-应变曲线

▲混凝土弹性模量的测定与计算

混凝土的泊松比nc
泊松比是指一次短期加载(受压)时试件的横向应变与纵向应变之比。
当压应力较小时,约为0.15~0.18;接近破坏时,可达0.5以上。《规范》取nc=0.2。

4. 受拉混凝土的变形

2、荷载长期作用下混凝土的变形性能--徐变
(1)徐变的概念
混凝土在荷载的长期作用下,其应变或变形随时间增长的现象称为徐变。
(2)产生徐变的原因
▲凝胶体的塑性流动。
▲裂缝的出现与发展。
(3)徐变与时间的关系

▲ 特点:开始快、以后慢;半年完成大部分、一年稳定、三年终止
(4)徐变对结构的影响
▲ 不利影响:
徐变会使结构(或构件)的 变形增大 (如挠度);
引起 预应力损失 ;
在长期 高应力 作用下,甚至 会导致破坏 。
▲ 有利影响:
有利于结构构件产生 内(应)力重分布 ,降低结构的受力;
减小 大体积混凝土 内的温度应力;
受拉徐变可 延缓收缩裂缝 的出现。
影响徐变的因素:
1)材料组成
在混凝土的组成成分中,水灰比愈大,水泥水化后残余的游离水愈多,徐变也愈大;水泥用量愈多,凝胶体在混凝土中所占比重也愈大,徐变也愈大;骨料愈坚硬,弹性模量愈大以及骨料所占体积比愈大,则由凝胶体流动后传给骨料压力所引起的变形也愈小,徐变也愈小。
2) 外部环境
养护环境湿度愈大,温度愈高,则水泥水化作用愈充分,徐变就愈小,混凝土在使用期间处于高温、干燥条件下所产生的徐变比低温、潮湿时明显增大。此外,由于混凝土中水分的挥发逸散与构件的体积与表面积之比有关,因而构件尺寸愈大,表面积相对愈小,徐变就愈小。
3) 应力大小
l当s≤0.5fc时,徐变与应力成正比,为线性徐变。
l当s=(0.5~0.8)fc时,徐变的增长速度比应力的增长速度快,为非线性徐变。

l当σ>0.8fc时,混凝土内部的微裂缝进入非稳态发展,导致混凝土破坏。取σ=0.8fc作为混凝土的长期抗压强度。初应力越大,徐变也越大。
4)龄期影响
加载时混凝土的龄期越长,徐变越小。

为了减少徐变,应避免过早地给结构施加长期荷载,例如在施工期内避免过早地撤除构件的模板支柱等,也可以采取加快混凝土硬结的措施来减小龄期对徐变的影响。
4、混凝土的收缩
(1)收缩的概念
混凝土在空气中硬化时体积会缩小, 这种现象称为混凝土的收缩 。 (收缩是混凝土在 不受外力 情况下由于体积变化而产生的变形。)
(2)引起收缩的原因
▲ 物理方面 :干燥失水。
▲ 化学方面 :混凝土的碳化 ( 凝胶体中的Ca(OH)2® CaCO3 ) 。
(3)收缩对结构的影响
▲ 当收缩受到 约束 (如支座、内部钢筋)时,将使混凝土中 产生拉应力,甚至引起混凝土的开裂。
▲ 混凝土收缩会使 预应力混凝土 构件产生 预应力损失。

(4)收缩与时间的关系

▲ 早期发展快, 两周 可完成全部收缩的 25% , 一个月 可完成 50% ;以后发展逐渐减慢, 整个收缩过程 可延续 两年 以上。
一般情况下,最终收缩应变值约为 (2~5)×10-4 混凝土开裂应变为 (0.5~2.7)×10-4
(5)影响收缩的因素
▲ 水泥的强度等级高、用量多、水灰比大,收缩就大;
▲ 骨料弹性模量高、级配好,收缩就小;
▲ 养护时的湿度大、温度高,收缩就小;
▲ 使用时的湿度大、温度低,收缩就小;
▲ 构件体表比大,收缩就小;
▲ 混凝土越密实,收缩越小;
(6)膨胀的概念
混凝土在水中硬化时体积会增大, 这种现象称为混凝土的膨胀。
(7)膨胀对结构的影响
但混凝土的膨胀值一般较小,对结构的影响也较小,所以经常不予考虑。
2.2.3 混凝土的选用原则
•建筑工程中,钢筋混凝土构件的混凝土强度等级不应低于C20
•当采用HRB400级钢筋时,不宜低于C25
•当采用HRB400和RRB400级钢筋以及承受重复荷载的构件,不得低于C30
•预应力混凝土结构不应低于C30
•采用钢绞线、钢丝、热处理钢筋作预应力钢筋时,不宜低于C40
2.3 钢筋与混凝土的粘结
一、粘结的概念



二、粘结的作用
通过粘结可实现 钢筋与混凝土之间 的应力传递,保证两种材料 结合在一起 共同工作。
三、两类粘结
1、锚固粘结

2、局部粘结

§2.3 钢筋与混凝土的粘结
钢筋与混凝土之间的粘结是这两种材料共同工作的保证,使之能共同承受外力、共同变形、抵抗相互之间的滑移。
产生钢筋和混凝土粘结力的主要原因:
¬混凝土收缩将钢筋紧紧握固而产生的摩擦力;
¬混凝土颗料的化学作用产生的混凝土与钢筋之间的胶合力;
¬钢筋表面凹凸不平与混凝土之间产生的局部粘结应力;
¬钢筋端部在混凝土内的锚固作用。
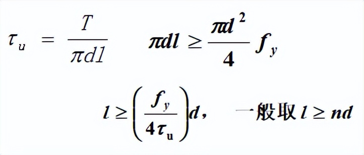
2.3.1 粘结力的定义
若钢筋和混凝土有相对变形(滑移),就会在钢筋和混凝土交界面上产生沿钢筋轴线方向的相互作用力,这种力称为钢筋与混凝土的粘结力。

⑴ 裂缝之间局部粘结应力
是指相邻两个开裂截面之间产生的钢筋拉力,通过裂缝两侧的粘结应力部分地向混凝土传递,使未开裂的混凝土受拉。

⑵ 钢筋端部的锚固粘结应力
是指钢筋伸入支座或支座负弯矩钢筋在跨间截断时,必须具有足够的锚固长度,通过锚固长度积累的粘结力。
按钢筋所处部位和所起作用不同受压、受拉、支座、节点及钢筋截断时,锚固长度各异。

以锚固粘结应力为例:

锚固设计的基本原则是必须保证足够的锚固粘结强度以使钢筋强度得以充分利用,即

2.3.2 粘结力的组成
1. 粘结力的组成
⑴化学胶结力
混凝土凝结时,由于水泥的水化作用在钢筋与混凝土接触面上产生的化学吸附作用力;来源于浇筑时水泥浆体向钢筋表面氧化层的渗透和养护过程中水泥晶体的生长和硬化。取决于水泥的性质和钢筋表面的粗糙程度。这种力一般很小,只在钢筋和混凝土界面存在,当接触面发生相对滑移时就消失,仅在局部无滑移区内起作用。
⑵ 摩擦力
混凝土收缩后将钢筋紧紧地握裹住,当钢筋和混凝土产生相对滑移时,在钢筋和混凝土界面上将产生摩擦力。它取决于混凝土发生收缩、荷载和反力等对钢筋的径向压应力、钢筋和混凝土之间的粗糙程度等。钢筋和混凝土之间的挤压力越大、接触面越粗糙,则摩擦力越大。
⑶ 机械咬合力
钢筋表面凹凸不平与混凝土产生的机械咬合作用而产生的力,即混凝土对钢筋表面斜向压力的纵向分力,取决于混凝土的抗剪强度。
变形钢筋的横肋会产生这种咬合力,它的咬合作用往往很大,是变形钢筋粘结力的主要来源。
⑷ 钢筋端部的锚固力
采取锚固措施后所造成的机械锚固力。
2. 光面钢筋的粘结性能
光面钢筋的粘结力以化学胶结力和摩擦力为主。
钢筋与混凝土的粘结强度通常采用拔出试验来测定。设拔出力为F,则以粘结破坏(钢筋拔出或混凝土劈裂)时钢筋与混凝土截面上的最大平均粘结应力作为粘结强度。


3. 变形钢筋的粘结性能
粘结强度仍由化学胶结力、摩擦力和钢筋表面凹凸不平的机械咬合力组成,但主要是钢筋表面突出肋与混凝土之间的机械咬合力。变形钢筋和光圆钢筋的主要区别是钢筋表面具有不同形状的横肋或斜肋。

变形钢筋外围混凝土的内裂缝
2 影响粘结强度的主要因素
(1) 混凝土强度: 混凝土强度等级 高、 粘结强度 大;且与 ft 成正比。
(2) 钢筋的外形特征: 变形钢筋的 粘结强度 大于 光面钢筋 的粘结强度。
(3)保护层厚度和钢筋净间距: 相对保护层厚度 c/d 越大 , 粘结强度越高 。钢筋净距 s 与钢筋直径 d 的比值 s/d 越大,粘结强度也越高。
(4)横向配筋: 限制了 径向裂缝 的发展,使 粘结强度 得到 提高 。
(5)受力情况
▲存在侧压力 可 提高 粘结强度;
▲受反复荷载作用 的钢筋,肋前后的混凝土均会被挤碎,导致咬合作用 降低 。
2.4 钢筋的锚固与搭接
1、保证粘结的构造措施
(1)规定钢筋最小的 搭接长度 和 锚固长度 。
(2)规定钢筋的 最小间距 和混凝土 保护层最小厚度 。
(3)对纵筋搭接范围内的 箍筋加密 进行了规定。
(4)对钢筋端部的 弯钩设置 进行了规定。
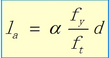
2、基本锚固长度的计算公式

锚固钢筋的外形系数 a 见 GB50010 表9.3.1和 建工教材 P114
|
钢筋类型 |
光面钢筋 |
带肋钢筋 |
刻痕钢丝 |
螺旋肋钢丝 |
三股钢绞线 |
七股钢绞线 |
|
a |
0.16 |
0.14 |
0.19 |
0.13 |
0.16 |
0.17 |
桥规 直接根据 混凝土强度等级 和 钢筋级别 确定钢筋的 最小锚固长度 ,见 道桥教材 P93表4-1。
3 钢筋的连接
(1) 钢筋连接的类型: 搭接;机械连接和焊接。
(2) 钢筋搭接区的受力性能
由于搭接区 钢筋净间距 的减小使得 劈裂裂缝 更早出现,粘结强度降低。因此《规范》取 搭接长度 为 锚固长度 乘与一个 大于1 的系数。
(3)纵向受拉钢筋的搭接长度 ll

GB50010-2002表9.4.3 纵向受拉钢筋搭接长度修正系数 z
|
纵向钢筋搭接接头面积百分率(%) |
£25 |
50 |
100 |
|
z |
1.2 |
1.4 |
1.6 |
▲ 在任何情况下,受拉钢筋搭接长度不应小于300 mm 。
(4)钢筋搭接接头连接区段的长度: 1.3 ll
(5) 同一连接区段内的受拉钢筋搭接接头面积百分率

(6) 纵向受压钢筋的搭接长度
取纵向 受拉钢筋搭接长度 的0.7倍,即0.7 ll, 且在任何情况下不应小于200 mm 。
(7) 搭接区的箍筋要求
直径 ³ 较大纵筋 直径的0.25倍;
间距 :£ 较小纵筋 直径的5倍,且不应大于100 mm .( 受拉搭接 )
£ 较小纵筋 直径的10倍,且不应大于200 mm .( 受压搭接 )
来源:筑龙结构设计