以前在讲到电流与电阻时,有位朋友跟我说:电流其实只是在电线表面流动,电线中心部分电子运动速度慢甚至几乎是不运动的,所以电线用多股铜线而不用单根实心导线。

多股导线与趋肤效应
这可能是人们对电流的“趋肤效应”存在普遍误解吧。
直流与交流磁场
当我们在导线的两端施加电压,电势差会在导体内部形成电场,进而产生电流。
电流分为直流电和交流电,直流电由于电场方向不变,电荷在导线中单向运动;交流电由于电场方向是周期性反转,因此电荷在导线中的运动方向和强度也会随着周期性发生变化。

交流电场中电荷周期性晃动
无论是直流电还是交流电,由于电荷运动的关系,它都会在导线内部及导线周围产生磁场。直流电所产生的磁场方向比较好判断,你可以通过右手抓握规则,将大拇指对准电流方向,另四个手指就是电磁场方向了。

电流方向与电磁场的关系
交流电的磁场方向则要复杂一些,因为交流电的电流方向和强度并不固定,因此交流电所产生的电磁场也随之不断变化。
涡电流的产生
由于交流电场在导线中不断翻转,由电场产生的磁通量也在不断地发生变化,法拉第定律告诉我们,变化的磁通量会在导体中感应出电动势,这个感应电动势会在导体内部形成环形涡流。

交流电路中产生环形涡流
导体内部感应磁场产生的环形涡流是一个变化的电场,它的外侧与交流电电流方向相同,而靠近导线中轴的区域形成反电动势,这样导致的结果就是导体外表面的电流得到加强,而中间的电流被削弱了,看起来电流都集中在电线的表面“皮肤”,因此我们称这种现象为趋肤效应,或集肤效应。

趋肤效应的产生
“皮肤”有多厚?
由于趋肤效应使得导体表面的电流密度大,并且随着深度的增加电流密度呈指数下降,因此导线的有效横截面积变小,电阻增加。那么这一层“皮肤”到底有多厚呢?
我们假设导体表面电流密度为1时,其内部电流密度为表面37%的深度δ,这个δ值就是皮肤厚度。

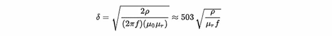
皮肤厚度
δ并不是一个固定值,它的大小与介质的相对磁导率 μr、介质的电阻率 ρ、以及交变电流的频率 f 都有关系,我们通常用以下公式来计算出 δ的值:

由这个公式我们可以看出,对于同一种材料的电线,当交流电流变化的频率越高时,δ的值越小;而电流频率越低,δ越大。一般情况下,当50Hz交流电流过铜质电缆时,它的皮肤厚度达到9.2毫米。而在一个10GHz的微波电路中,电流会集中在铜线表面0.65微米的表层。
趋肤效应的实用意义
了解电流的趋肤效应意义重大。在高压输电线路的设计时,我们不能一味通过增加导线的直径来获得大电流,因为当铜导线直径超过2厘米时,它中心部分的电流很少,因此造成材料的浪费。为了输送更多电能,特高压输电会采用多束相同的电缆来提高效率、降低损耗。

超高压输电用多根电缆减少趋肤效应产生的损耗
由于直流电一般不存在变化的电场,它在传输的过程中不产生变化的磁场,因此直流电不会产生涡电流。直流输电线路的电阻比交流输电要低得多,它更加节能,电缆也可以做得更粗,成本相应也更低。

直流电缆没有趋肤效应,可以做得很粗
我们家庭用电的电线通常都不很粗,线芯直径大多不超过5毫米,为什么它用的也是多股铜线呢?家用导线半径远远小于9.2毫米的趋肤深度,基本不需要考虑趋肤电阻,并且这些细铜丝之间没有绝缘,对减少趋肤效应没有帮助。采用多股铜丝最主要是因为在相同横截面积下它比单根铜线更加柔软。

家用电线可以忽略趋肤效应