
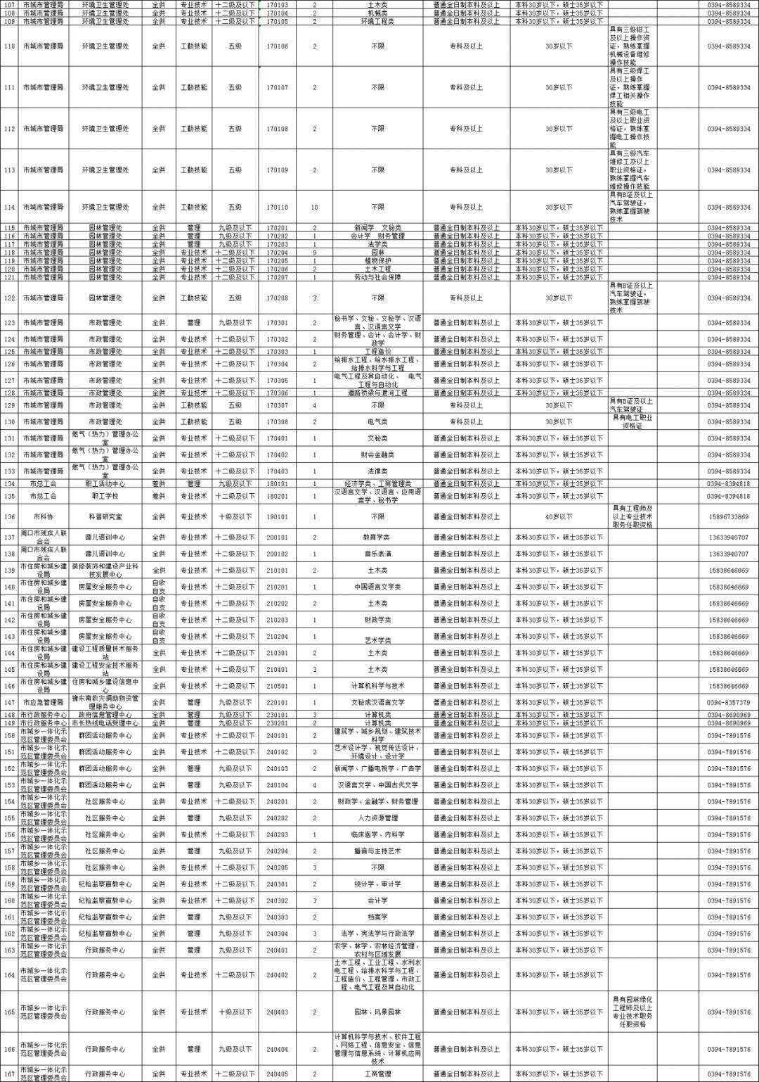
根据《河南省事业单位公开招聘规程》(豫人社〔2015〕55号)等文件规定,经市委市政府同意,2020年周口市市直事业单位拟面向社会公开招聘工作人员318名(详见附件《2020年周口市市直事业单位公开招聘工作人员岗位信息表》)。http://www.zkrsks.com/new.html?contentNum=12b6ea31b0894fa9ae89960befdc771e*载下**附件查看。



一、招聘条件
(一)应聘人员必须具备的基本条件
1.具有中华人民共和国国籍;
2.遵守宪法和法律;
3.具有良好的品行和职业操守;
4.具有岗位所需的专业知识或技能条件;
5.适应岗位要求的身体条件;
6.符合岗位要求的专业、学历等相关条件;
7.普通全日制本科毕业生年龄为30岁以下,硕士毕业生年龄为35岁以下,年龄计算时间为2020年1月1日。
(二)有下列情形之一的不得报名应聘
1.刑事处罚期限未满或者涉嫌违法犯罪正在接受调查的人员;
2.尚未解除*党**纪、政纪处分或正在接受纪律审查的人员;
3.五年内曾在公务员招录、事业单位公开招聘考试中被认定有舞弊等严重违反招聘纪律行为的人员;
4.国家和省另有规定不得应聘到事业单位的人员。
二、信息发布
2020年4月2日在周口人事考试网(www.zkrsks.com )上发布招聘公告。周口人事考试网为本次招聘专用网站,招聘信息、网上报名、考试公告等事项,均通过该网站发布,请应聘人员随时关注。
本次考试不指定考试用书,不举办、不委托任何机构举办考试辅导培训。
三、报名和资格审查
报名采取网上报名方式进行。报考人员请在规定时间内按下列要求进行网上报名。每人限报一个岗位,恶意注册虚假信息扰乱报名秩序的,取消报考资格。
(一)提交报名申请
报考者请于2020年4月14日9:00至4月16日17:00期间登录周口人事考试网(www.zkrsks.com),点击“网上报名”进入网上报名系统,点击“事业单位公开招聘考试”,如实填写、提交个人信息资料,按要求提交报名申请并上传本人电子照片(近期1寸彩色免冠正面证件照,jpg格式,照片宽高比例为1.3:1.6,大小为130×160像素,30kb以下)。报名申请被接受后,系统将向报考者反馈一个报名序号。报名序号是报考者查询报考资格审查结果、网上缴费、*载下**打印准考证和成绩查询等事项的重要依据,请妥善保管。
(二)报名资格审查
报名期间将对报考人员提交的信息资料进行资格初审,并及时在网上反馈初审结果。报考人员应及时登录网站,查询报名资格初审结果。2020年4月14日9:00至4月16日17:00期间,报考申请尚未审查或未通过资格审查的报考人员,可以改报其他岗位。考生资料不全或电子照片不符合要求的,报考者应及时进行补充或更新,并按要求再次提交资格审查。2020年4月16日17:00以后,报考人员不得修改信息。
招聘岗位报名人数与招聘计划数的比例不低于3∶1,达不到3∶1的,需相应核减该岗位招聘人数,核减后仍达不到比例的,该岗位不再进行招聘,退还考务费。
全日制技工院校中级工班、高级工班、预备技师(技师)班毕业生分别参照中专、大专、本科学历。
服务期满考核合格且在岗的大学生村干部或退役大学生士兵,笔试原始成绩加5分。符合多个条件的,最多加5分。拟享受加分政策的报考人员,等候通知办理相关手续。
资格审查工作将贯穿于本次考试招聘的全过程。应聘人员提交的报名材料应当真实、有效。对不符合报名条件、弄虚作假或违反招聘规定的,将取消其应聘或聘用资格,5年内不得参加本市内各级事业单位公开招聘。
(三)网上缴费
资格审查通过的报考人员,请务必于2020年4月18日17:00前登录周口人事考试网进行网上缴费,考务费每人30元。报考人员请准备好银联卡,开通网上银行功能,未按期缴纳的视为自动放弃报名资格。
农村建档立卡贫困家庭、享受国家最低生活保障金的城镇家庭报考人员,考务费可于后期退回。拟享受考务费退回政策的报考人员,另行通知办理相关手续。
四、考试
考试分为笔试和面试。笔试和面试时间根据新冠肺炎疫情形势而定,具体时间请广大考生持续关注“周口人事考试网”,以免错过笔试、面试时间。笔试、面试均不再进行电话通知,由于考生未能及时关注“周口人事考试网”而造成的后果由考生本人承担。
(一)笔试
笔试统一命题、统一组织、统一评分。
(二)面试
根据笔试成绩,按招聘岗位1:3比例从高分到低分确定参加面试人选,进入面试最后一名笔试成绩并列的,可一并进入面试。进入面试人员的笔试成绩划定最低控制分数线。 实际参加面试人数不能形成竞争的,面试人员的面试成绩须达到所在面试考官组使用同一面试题本考生的平均成绩,方可进入下一招聘环节。面试结束后空缺岗位不再递补。
考试总成绩=笔试成绩×50%+面试成绩×50%
五、体检和考察
根据考试总成绩,按招聘岗位1:1比例从高分到低分确定体检人员。总成绩并列的,取笔试成绩高的进入体检。笔试成绩、面试成绩均相同的另行加试,加试成绩高的进入体检。体检合格人员进入考察环节。
六、公示与聘用
根据考试总成绩和考察情况,确定拟聘用人员。拟聘用人员在周口人事考试网(www.zkrsks.com )上公示,公示期为7个工作日。
公示结束后办理聘用手续,签订聘用合同。
首次就业人员试用期12个月。试用期间及试用期满后的工资福利待遇,按国家有关规定执行。
本方案由周口市市直事业单位公开招聘工作领导小组负责解释。
报名咨询电话:
周口市纪委监委: 0394-8261799
周口市委办公室: 0394-8269509
周口市委机要保密局: 0394-8269856
周口市委编办: 17638683168
周口报业传媒集团: 0394-6069366
周口市高级技工学校: 0394-8912618
周口市住房公积金中心: 0394-8205985
周口市委网信办: 0394-8266807
周口市扶贫开发办公室: 0394-8286128
周口市教育体育局:0394-8319887
周口市人力资源和社会保障局: 0394-8288987
周口市水利局: 0394-8201520
周口市发展和改革委员会: 0394-8285055
周口市文化广电和旅游局: 0394-8273834
周口市卫健委: 0394-8224421
周口市统计局: 16603941373
周口市城市管理局:0394-8589334
周口市总工会: 0394-8394818
周口市科协: 15896733869
周口市残联: 13633940707
周口市住房和城乡建设局:15838646669
周口市应急管理局: 0394-8357379
周口市行政服务中心: 0394-8690969
周口市城乡一体化示范区工委: 0394-7891576
网上提交信息咨询电话:0394-8352626
报名综合咨询电话:0394-8273863
监督举报电话:0394-8222663

