同轴电缆75欧阻抗计算公式 (同轴射频电缆损耗计算)

网络分析仪测同轴电缆阻抗,同轴电缆计算自感

作为一个射频工程师,不管是在学习还是在工作当中都需要定量地计算出相应的结果,这时便需要花费大量时间去翻阅参考资料,计算过程通常比较繁琐。因此这时如果有免费的计算器和公式可以使用,这对学习和工作来说将会事半功倍。

Pasternack射频及转换计算器为工程师们提供了上至复杂数学公式,下至简单转化关系的宝贵易用工具。这些射频及微波计算器和转换工具可为您提供射频工程中公制标准单位、链路预算、同轴电缆、功率、衰减、频率等的射频计算和射频转换所需的各种数据。今天我们就一起来认识同轴电缆阻抗计算器。

(一)同轴电缆阻抗计算器

在射频和微波中的同轴电缆,主要用作传输线路。由于电缆同轴部件的几何形状赋予传输线路的同轴性,同轴电缆极其适合传输线路,不论直流还是截止频率,都能达到较高的传输效率。

网络分析仪测同轴电缆阻抗,同轴电缆计算自感

在对内导线、外导线以及同轴导线之间的电介质材料的基本特征知之甚少的情况下,单位长度电感、电位长度电容、特性阻抗和传导速度的计算并不困难。需要注意的是,这些计算都以某种假设为依据,即内导线和外导线完全同轴,整个长度上的电缆材料始终保持合理的紧密公差,否则各段同轴电缆的计算值会因为假设是否相符的原因而产生重大差异。

网络分析仪测同轴电缆阻抗,同轴电缆计算自感

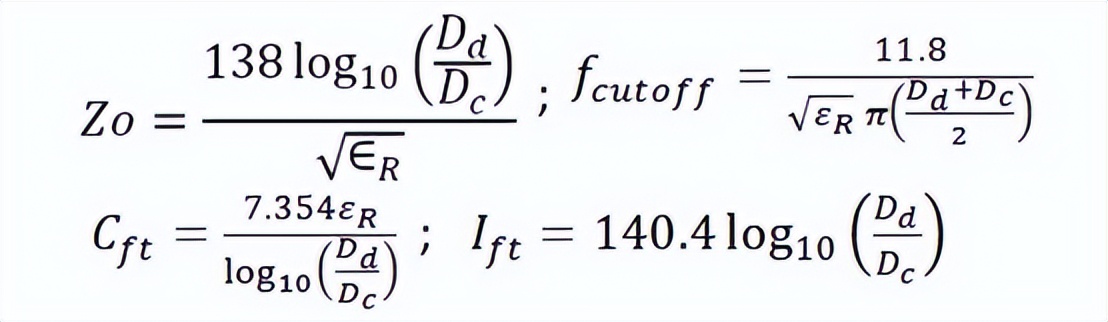
可以利用上图公式计算特性阻抗、截止频率、单位长度电容、单位长度电感。需要知道内导线(Dc)的外径,外导线(Dd)的内径,以及隔离内、外导线的电介质的相对介电常数。内导线的外径就是电介质的内径,而外导线的内径则是电介质的外径。利用光速、真空电容率和自由空间磁导率导出常数,即可借助这个常数计算上文提到的各项参数。

特性阻抗的单位为欧姆(Z0),截止频率(f_cutoff)为赫兹,单位长度电容(Cft)为法拉第,每英尺电感的单位为亨利。还可以求出传导速度,即光速与介电常数平方根之商的倒数。这是因为同轴传输导线的基本模式是横向电磁(TEM)模式,电磁场坡印廷矢量与同轴导线同向,穿过电介质。电介质越稀薄,传导速度越快,越接近真空中的光速。

只需点击Pasternack 同轴电缆阻抗计算器,输入电介质的内径和外径,选择测量值的单位,最后输入电介质的介电常数(相对介电常数)。计算机器会输入特性阻抗、截止频率、单位长度电容、单位长度电感,以及传导速度(光速的百分比)。

当然除了同轴电缆阻抗计算器外,Pasternack 射频计算器及转换工具还有以下计算器:

(二)射频功率转换计算器

射频功率转换计算器可实现毫瓦(mW)、瓦特、dBm、dBW、毫伏(mV)、伏特等向射频输入功率值和射频输出功率值的转换。

(三)链路预算计算器

链路预算计算器用于在系统放大器增益,天线增益及空间损耗已知的情况下,计算接收信号强度(单位为dBm)。

网络分析仪测同轴电缆阻抗,同轴电缆计算自感

(四)自由空间路径损耗计算器

自由空间路径损耗计算器用于在增益,距离及频率已知的情况下,计算两个天线之间的损耗(单位为dB)。

网络分析仪测同轴电缆阻抗,同轴电缆计算自感