
一、利用导数求瞬时值
某物理量A定义为A=△y/△x,
比如:速度v=△x/△t,加速度a=△v/△t,角速度ω=△θ/△t,电场强度E=-△Φ/△x,感应电动势E=N△Φ/△t等等,凡是结构是A=△y/△x这种类型的,我们都可以采用类比的方法.
物理量A=△y/△x,若△x不趋近零时,是一个过程的平均值,反映在图像上就是割线斜率;
物理量A=△y/△x,若△x→0,A的值为某时刻或某点的瞬时值,也就是△x→0的极限,

反映在图像上就是切线的斜率.

①导数在运动学上的运用
示例1:某质点运动过程中位移x(单位m)和时间t(单位s)满足表达式,x=5t³+3t²+4t+2(m),求:
①1s—3s内的平均速度
②2s时的瞬时速度
③2s时的加速度
【解析】
①1s—3s内的平均速度是割线斜率,
t=1s时,x=14m;
t=3s时,x=176m;
△x=162m;
1s—3s内的平均速度为81m/s.
②2s时的瞬时速度是切线斜率,瞬时速度的表达式就是位移对时间的导数,求得:
v=15t²+6t+4(m/s)
当t=2s时,v=76m/s.
③瞬时加速度的表达式就是速度对时间的导数,就是v-t图的斜率,也就是x-t函数对时间t的二阶导数.
求导得:a=30t+6(m/s²)
t=2s时,a=66m/s².
②导数在感应电动势上的运用
示例2:如图所示,两根平行足够长的金属导轨固定在水平桌面上,导轨的端点P和Q用导线相连,两导轨间的距离为L,磁场垂直于桌面向上,已知磁感强度B与时间的关系为B=kt(k为大于零的常量).在t=0时刻,金属杆紧靠在P、Q端,在外力作用下,杆从t=0时刻开始以恒定的加速度a从静止开始向导轨的另一端滑动,求在t时刻整个回路的感应电动势大小.

这是感生和动生共存的情况,可以用法拉第电磁感应普适公式,E=n△Φ/△t,瞬时电动势,就是求Φ(t)函数的导数.

Φ=BS=BLvt=ktL·½at²
E=kL·½at²+ktL·at=3kLat²/2.
例题:如图所示,KLMN是一个竖直的矩形导线框,全部处于磁感应强度为B的水平方向的匀强磁场中,线框面积为S,MN边水平,线框绕某竖直固定轴以角速度ω匀速转动。在MN边与磁场方向的夹角到达30°的时刻(图示位置),导线框中产生的瞬间电动势e的大小是多少?标出线框此时电流的方向。已知线框按俯视的逆时针方向转动。

【解析】从平行面开始计时的磁通量表达式为Φ=BSsinθ,t=0的初相位为π/6.
磁通量表达式应该修改为Φ=BSsin(θ+π/6),而θ=ωt,
Φ=BSsin(ωt+π/6)
E=n△Φ/△t,求瞬时表达式,即求导数,
E=nBSωcos(ωt+π/6)[t=0,n=1]
E=√3BSω/2
电流方向根据楞次定律判断.

例题:纸面内两个半径均为R的圆相切于O点,两圆形区域内分别存在垂直于纸面的匀强磁场,磁感应强度大小相等、方向相反,且不随时间变化。一长为2R的导体杆OA绕过O点且垂直于纸面的轴顺时针匀速旋转,角速度为ω。t=0时,OA恰好位于两圆的公切线上,如图所示。若选取从O指向A的电动势为正,下列描述导体杆中感应电动势随时间变化的图像可能正确的是(C)


【解析】

Φ=BS=B·θR²-½BR²sin2θ
=BR²(ωt-½sin2ωt)
Φ′(t)=BR²(ω-ωcos2ωt)
=2BR²ωsin²ωt.
E=nΦ′(t)=2BR²ωsin²ωt.
也可以用切割磁感线方法

③导数在电势分布于某直线上的应用
示例3:某静电场中的一条电场线与x轴重合,其电势的变化规律如图所示,在O点由静止释放一电子,电子仅受电场力的作用,则在-x₀~x₀区间内(BC)

A.该静电场是匀强电场
B.该静电场是非匀强电场
C.电子将沿x轴正方向运动,加速度逐渐减小
D.电子将沿x轴正方向运动,加速度逐渐增大
【解析】

值得注意的是电场强度E=-△Φ/△x有个负号;斜率为正,表示电场方向沿x负方向.
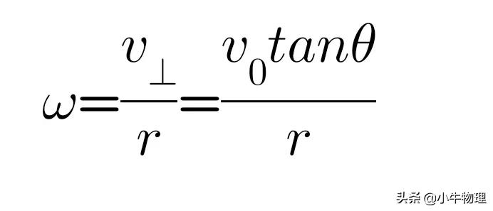
④导数在关联加速度上的应用 示例4:在一光滑水平面上放一个物体,人通过细绳跨过高处的定滑轮拉物体,使物体在水平面上运动,人以速度v₀,加速度a₀向左运动.当绳子与水平方向成θ角时,物体前进的瞬时速度v是多大和加速度a是多大?
【解析】

由速度关系,可以进而求出加速度之间的关系,不再同一直线上运动(涉及转动)的两物体,加速度关系不能类似于速度那样的关系(a₀=a·cosθ).
v₀=v·cosθ,v=v₀/cosθ,(θ也会随时间而变化,这是一个复合函数)
a=dv/dt




也可以用加速度合成法求解.
⑤导数在电磁感应与电容器结合的应用
示例5:如图,两条平行导轨所在平面与水平地面的夹角为θ,间距为L。导轨上端接有一平行板电容器,电容为C。导轨处于匀强磁场中,磁感应强度大小为B,方向垂直于导轨平面。在导轨上放置一质量为的金属棒,棒可沿导轨下滑,且在下滑过程中保持与导轨垂直并接触良好。已知金属棒与导轨之间的动摩擦因数为μ,重力加速度大小为g。忽略所有电阻。让金属棒从导轨上端由静止开始下滑,求:

(1)电容器极板上积累的电荷量与金属棒速度大小的关系;
Q=CBLv
(2)金属棒的速度大小随时间变化的关系.


二、利用导数求极值与单调性
示例:一木箱重为G,与地面间的动摩擦因数为μ,用斜向上的力F拉木箱,使之沿水平地面匀速前进,如图所示.问角α为何值时拉力F最小?这个最小值为多大?

【解析】
受力分析


求cosα+μsinα的最大值
利用导数得:
f′(α)=-sinα+μcosα=0
α=arctanμ
把α代入即可求得F的最小值.

例题:如图所示,相距2r的两个等量同种正电上场强的最大值及位置.

【解析】


即求cos²θsinθ的最大值
令f(θ)=cos²θsinθ
在连续可导情况下
f'(θ)=cos³θ-2sin²θcosθ=0
cos²θ=2sin²θ
tanθ=√2/2θ=arctan(√2/2)
θ≈35.26°
示例:如图所示,滑块a和b的质量均为m,a套在固定竖直杆上,b放在地面上,a和b通过铰链用刚性轻杆连接,轻杆的长度为L.轻杆初始在竖直方向,滑块a受到扰动由静止开始运动,不计一切摩擦,a和b可视为质点,重力加速度大小为g.在a下落的过程中,(BD)

并且分析a的速度如何变化,求解b的速度的最大值.


由系统机械能守恒得:

Va′(θ)=2sinθcos(1-cosθ)+sin³θ
此导函数的值大于零,则Va(θ)为增函数,即Va一直在增大.
Vb′(θ)=sinθcosθ(3cosθ-2)
此导函数有零点,且V′(θ)先大于零,后小于零,Vb先增后减.
当Vb′(θ)=0时,Vb具有最大值
sinθcosθ(3cosθ-2)=0
cosθ=2/3代入Vb得:

一般性解法:
Vacosθ=Vbsinθ
当θ=90°时,cosθ=0,Vb=0
b的速度从0到0,b的速度先增后减,杆子对b先做正功,后做负功,根据数学零点定理,必定有某点不做功,b的速度在该点速度有最大值,此时杆子的力Fɴ=0,a的机械能最小,b的机械能最大,a的加速度为g,b的加速度为0,b对地面压力为mg,此后a的加速度大于g,θ在增加,Va=Vbtanθ,在Vb增大的过程中,Va也在增大,在b减速过程中,杆子对b做负功,对a就做正功,a仍然加速,所以a一直在加速.
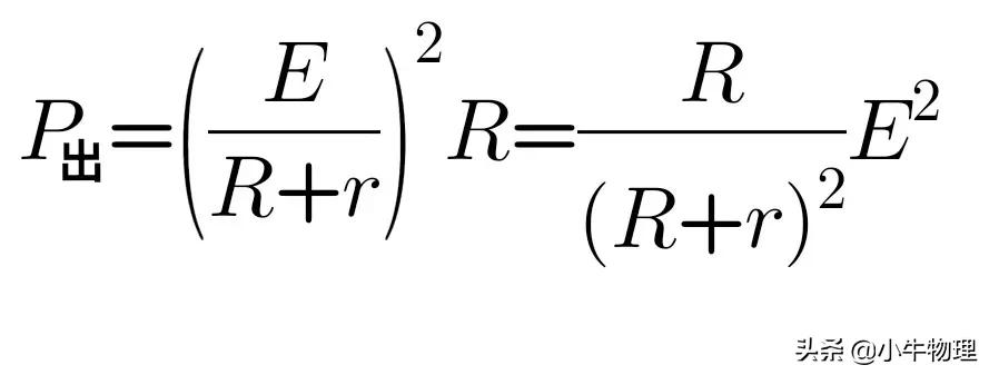
示例:在纯电阻电路中,输出功率和外电阻关系,当在电阻多大时,电源输出功率最大.


只需求R+r²/R的增减性

令f(R)=R+r²/R
对R求导得:f′(R)=1-r²·R⁻²
当f′(R)=1-r²·R⁻²=0时,
R<r时,f′(R)<0,f(R)为减函数,输出功率函数为增函数,R>r时,f′(R)>0,f(R)为增函数,输出功率函数为减函数,当R=r时,f′(R)=0,输出功率最大.
三、利用导数求变化率
例题:下图为一种早期发电机原理示意图,该发电机由固定的圆形线圈和一对用铁芯连接的圆柱形磁铁构成,两磁极相对于线圈平面对称。在磁极绕转轴匀速转动过程中,磁极中心在线圈平面上的投影沿圆弧XOY运动(O是线圈中心),则(D)

A.从X到O,电流由E经G流向F,先增大再减小
B.从X到O,电流由F经G流向E,先减小再增大
C.从O到Y,电流由F经G流向E,先减小再增大
D.从O到Y,电流由E经G流向F,先增大再减小
【解析】
磁极中心经过O点正上方时,磁通量最大,在连续可导情况下,磁通量对时间的一阶导数,也就是磁通量变化率为零,即感应电动势为零.
例题:如图所示,AOC是光滑的直角金属导轨,AO沿竖直方向,OC沿水平方向,ab是一根靠立在导轨上(开始时b离O点很近)的金属直棒,金属直棒从静止开始在重力作用下运动,运动过程中a端始终在AO上,b端始终在OC上.直到ab完全落在OC上,整个装置放在一匀强磁场中,磁场方向垂直于纸面向里,则ab棒在运动过程中(BD)

A.感应电流方向始终是b→a
B.感应电流方向先是b→a,后变为a→b
C.所受磁场力方向垂直于ab向上
D.所受磁场力方向先垂直于ab向下,后垂直于ab向上
【拓展】
感应电流什么位置最小?

【解析】
x=Lsinθ,y=Lcosθ,S=xy/2
=½L²sinθcosθ=L²sin2θ/4
Φ=BS=BL²sin2θ/4
Φ′(θ)=BL²cos2θ/2
当Φ′(θ)=BL²cos2θ/2=0时,即θ=π/4时,E有最小值.
例题:质量为m的球从地面以初速度v₀竖直向上抛出,已知球所受的空气阻力与速度大小成正比.下列图象分别描述了球在空中运动的加速度a、速度v随时间t的变化关系和动能Ek、机械能E(选地面处重力势能为零)随球距离地面高度h的变化关系,其中可能正确的是(C)


值得注意的是电阻的定义是R=U/I而不是△U/△I,因此不能用求导的方法求电阻.
附录:
1.零点定理
如果函数y= f(x)在区间[a,b]上的图象是连续不断的一条曲线,并且有f(a)·f(b)<0,那么,函数y= f(x)在区间(a,b)内有零点,即至少存在一个c∈(a,b),使得f(c)=0,这个c也就是方程f(x)= 0的根。
2.一阶导数增减性,二阶导数凹凸性,三阶导数看拐点。
连续可导函数的一阶导数就是相应的切线斜率。一阶导数大于0,则递增;一阶倒数小于0,则递减;一阶导数等于0,则不增不减。
而二阶导数可以反映图象的凹凸。二阶导数大于0,图象为凹;二阶导数小于0,图象为凸;二阶导数等于0,不凹不凸。
结合一阶、二阶导数可以求函数的极值。当一阶导数等于零,而二阶导数大于零时,为极小值点;当一阶导数等于零,而二阶导数小于零时,为极大值点;当一阶导数、二阶导数都等于零时,为驻点。一阶导数可以用来描述原函数的增减性。
二阶导数可以用来判断函数在一段区间上的凹凸性,f''(x)>0,则是凹的,f''(x)<0则是凸的。
三阶导数用来找函数的拐点,拐点的意思是如果曲线f(x)在经过点(x₀,f(x₀))时,曲线的凹凸性改变了,那么就称这个点为曲线的拐点。
3.常用导数表
