刚刚
考试院发布最新通知
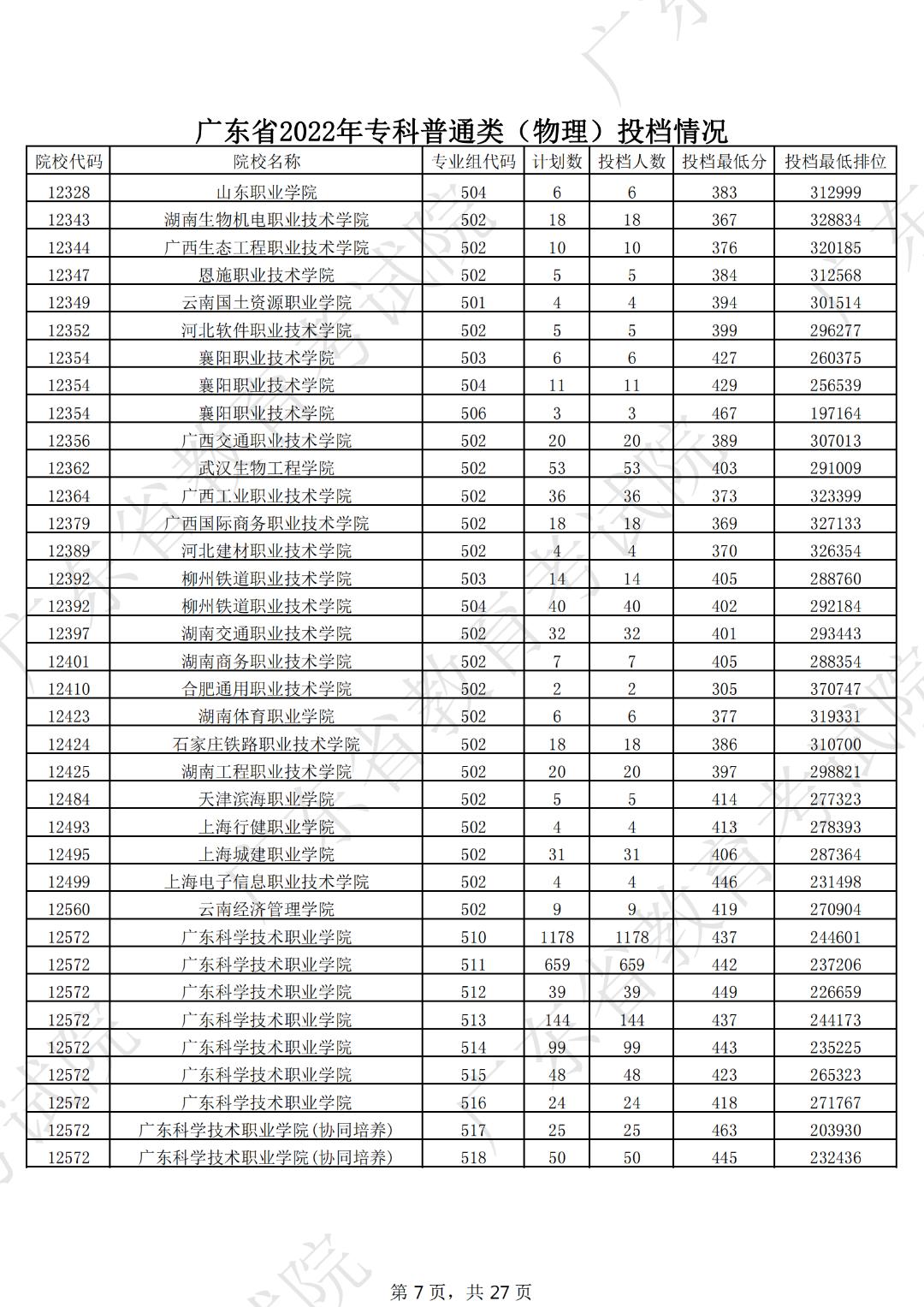
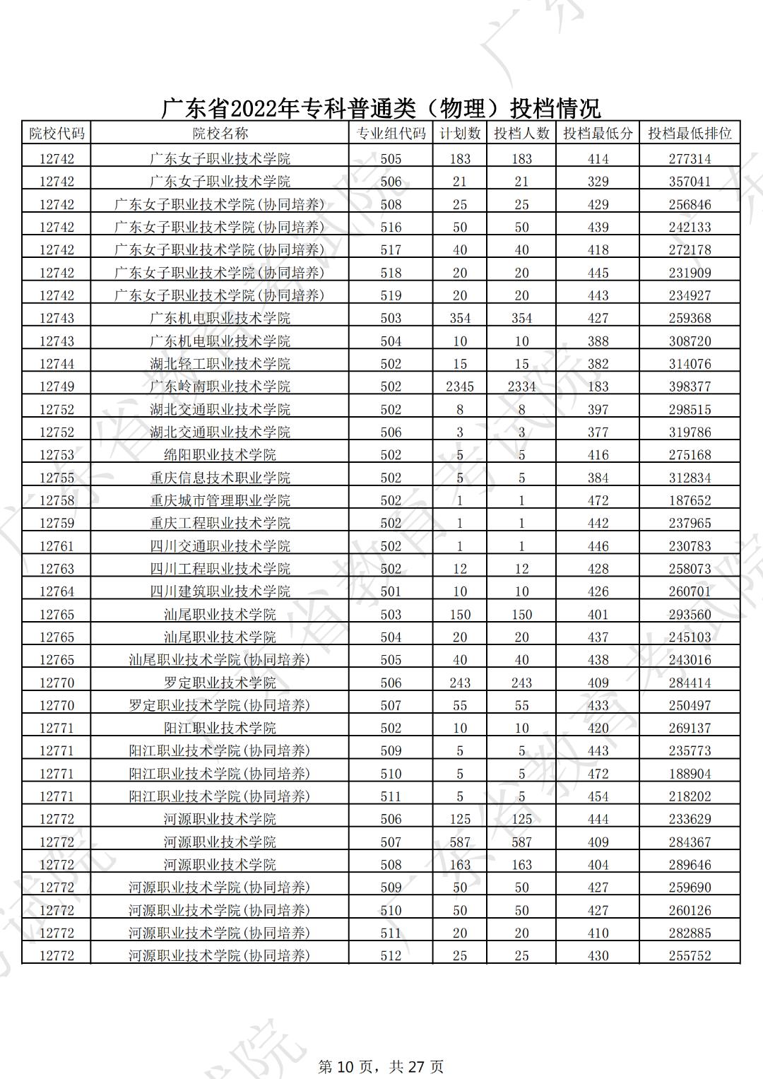
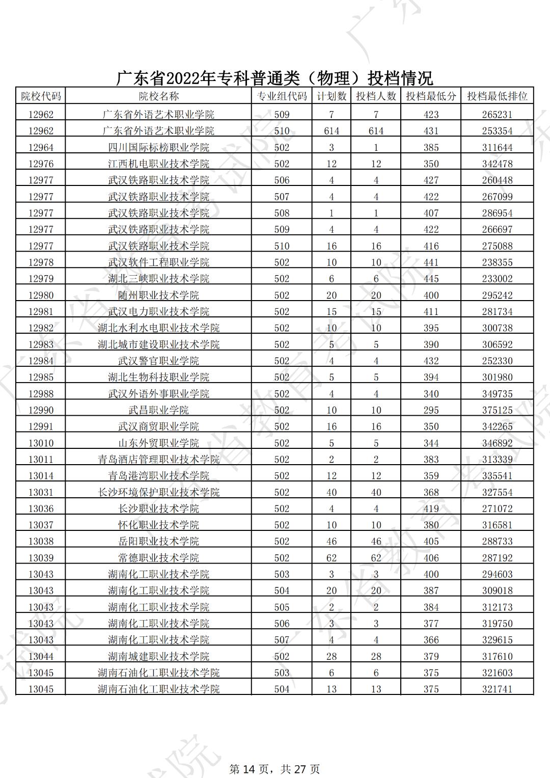
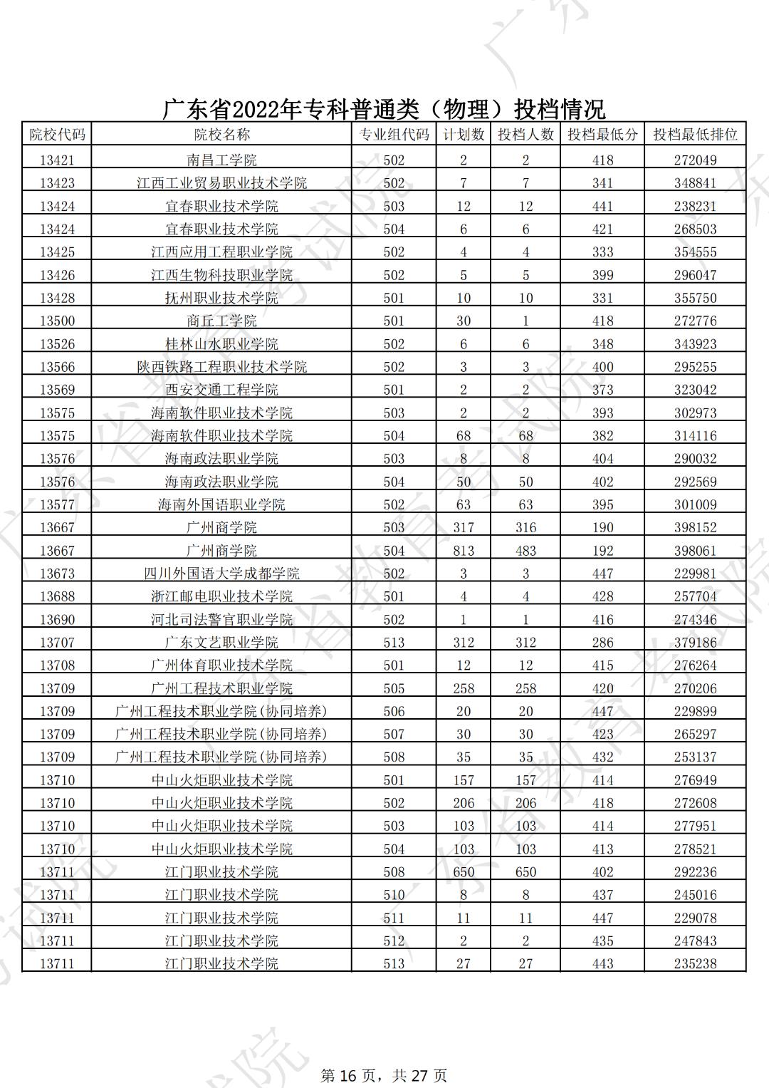
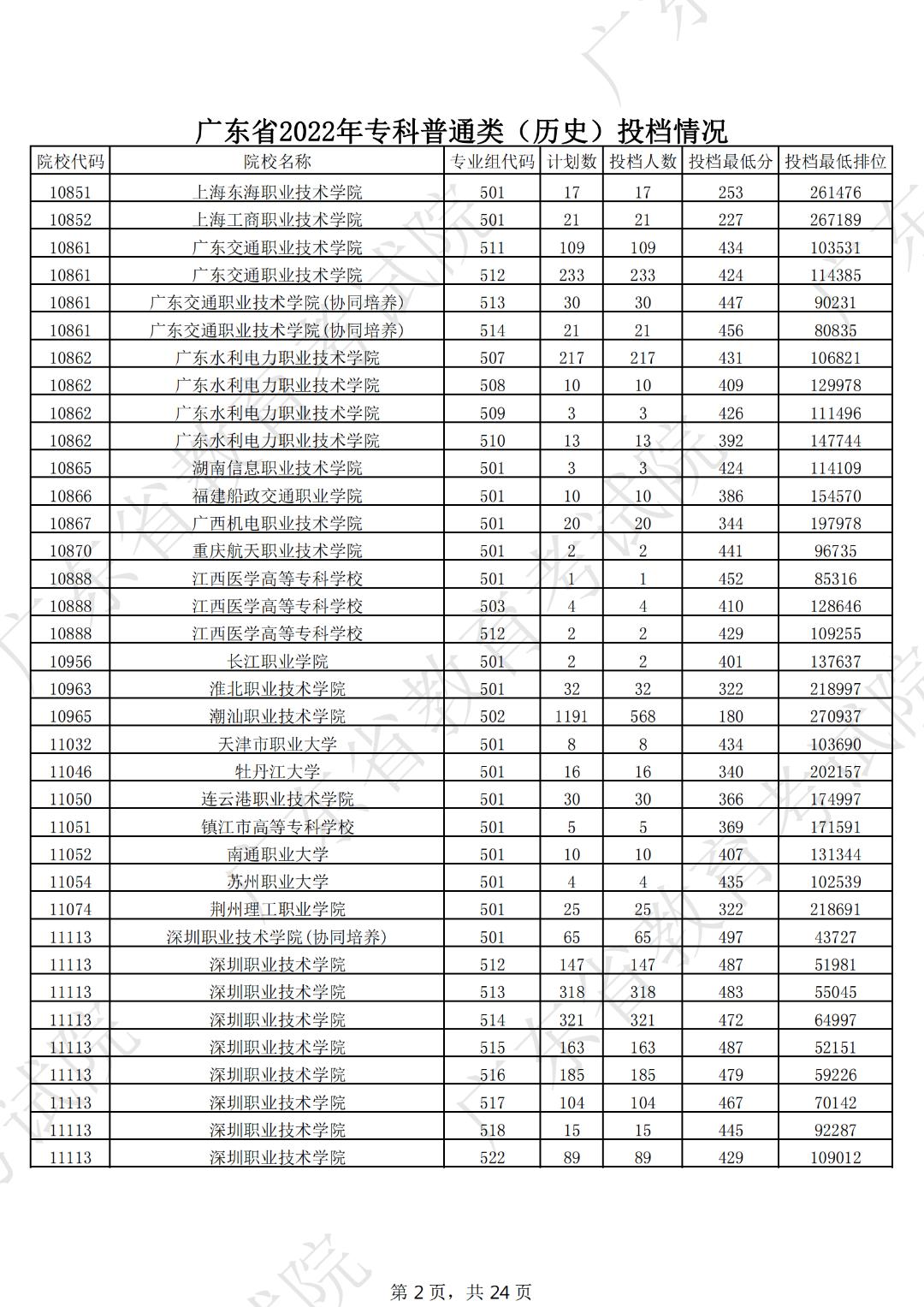
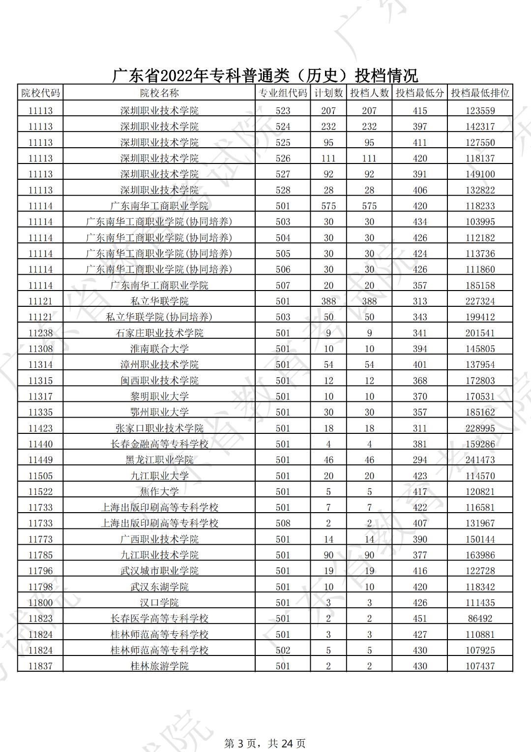
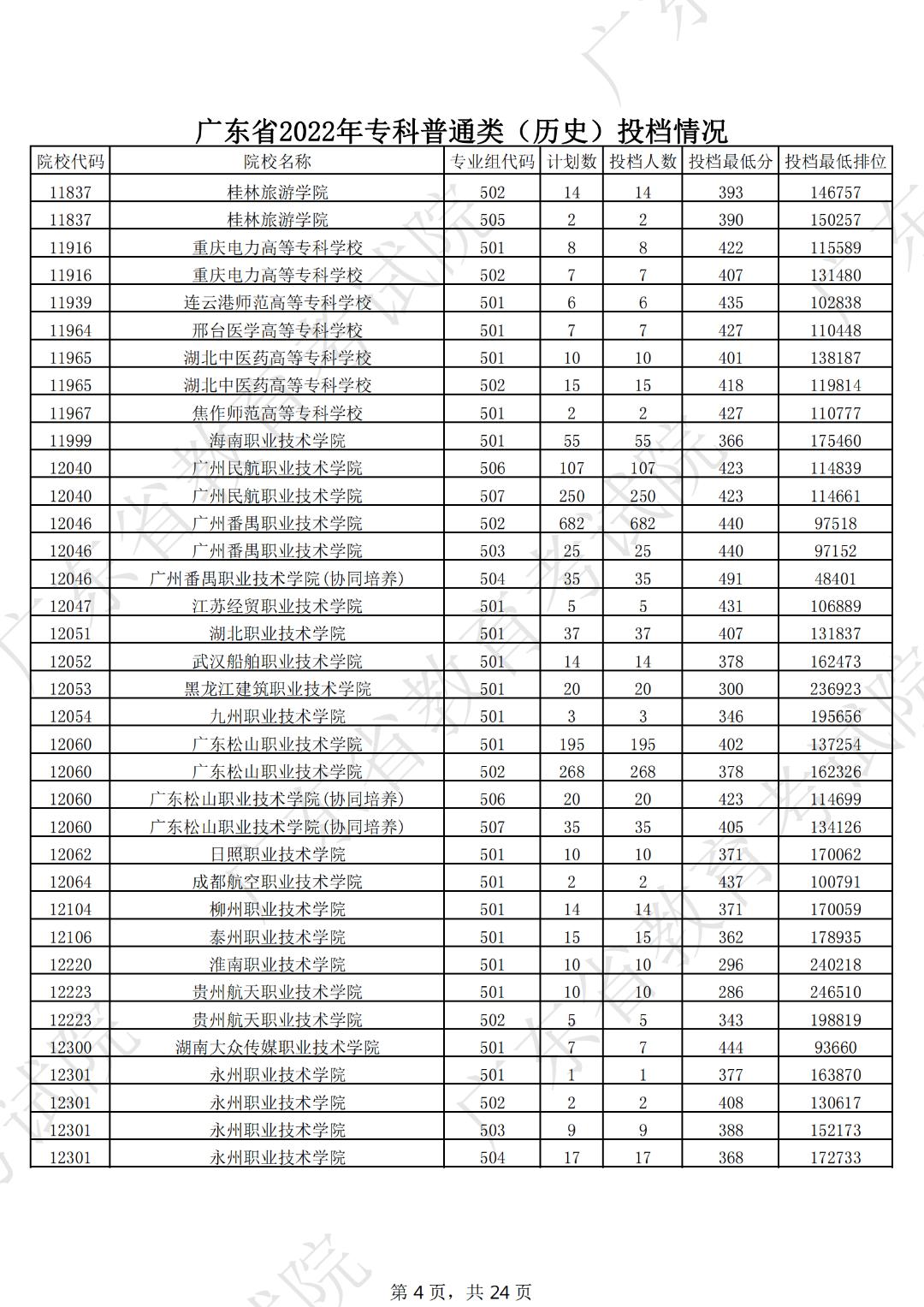
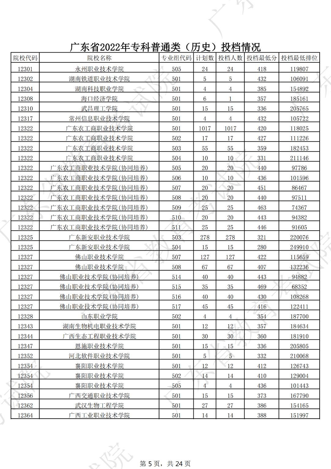
广东省2022年普通高考专科批次
已正式投档
最高504分
竞争超激烈
快来看看你过线了吗?
通知原文
我省2022年普通高考提前批专科(含卫生专项计划)录取工作已于8月1日顺利结束,共录取考生1420人。
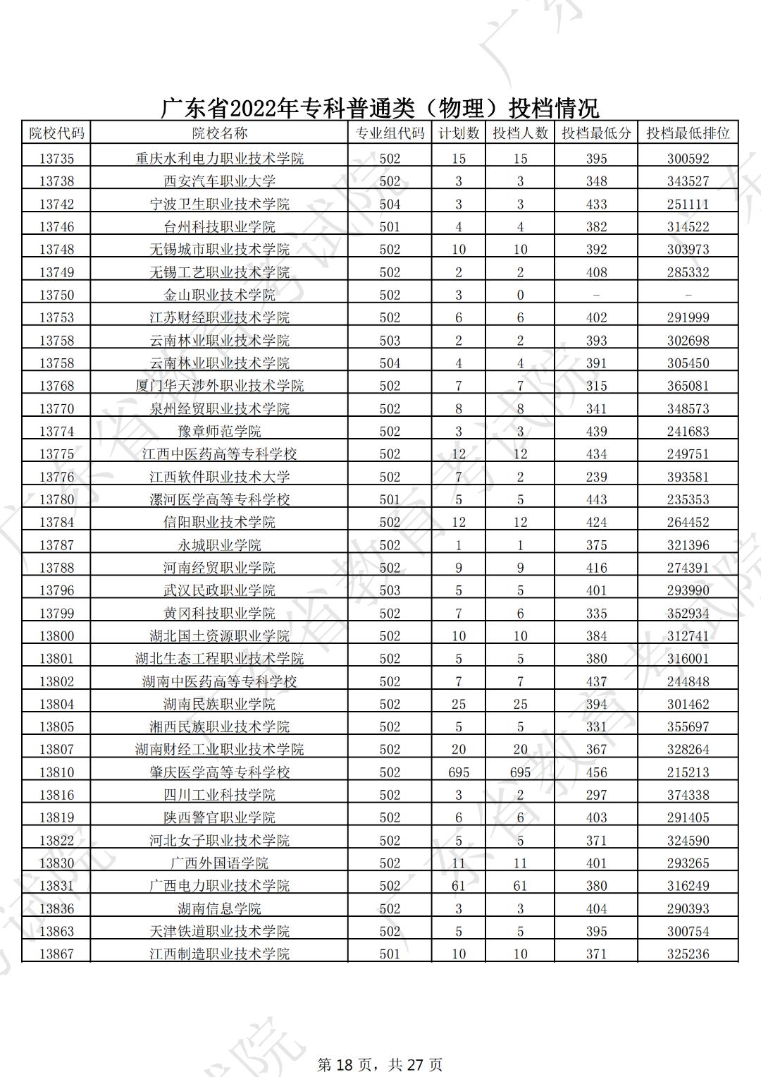
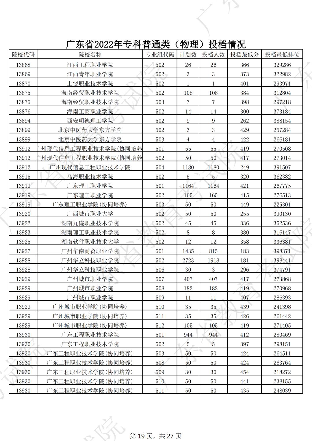
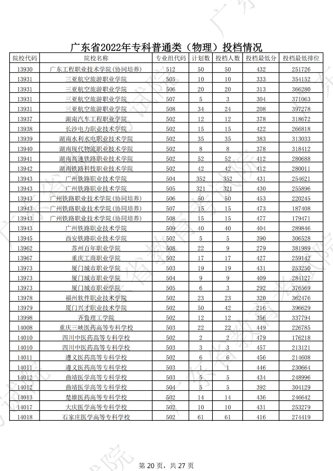
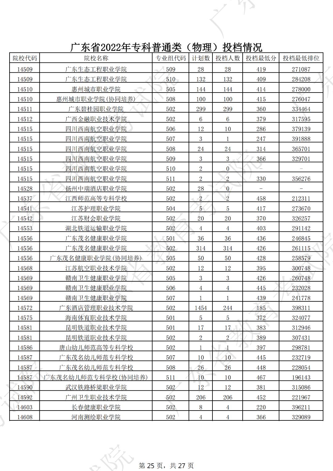
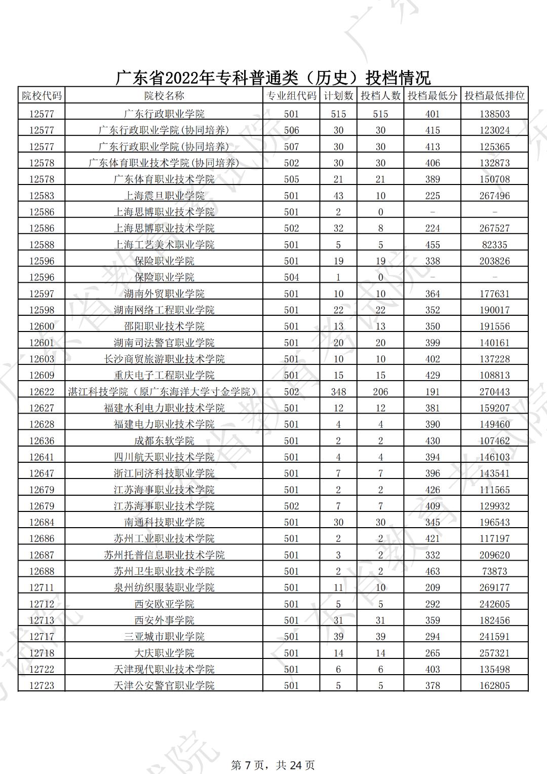
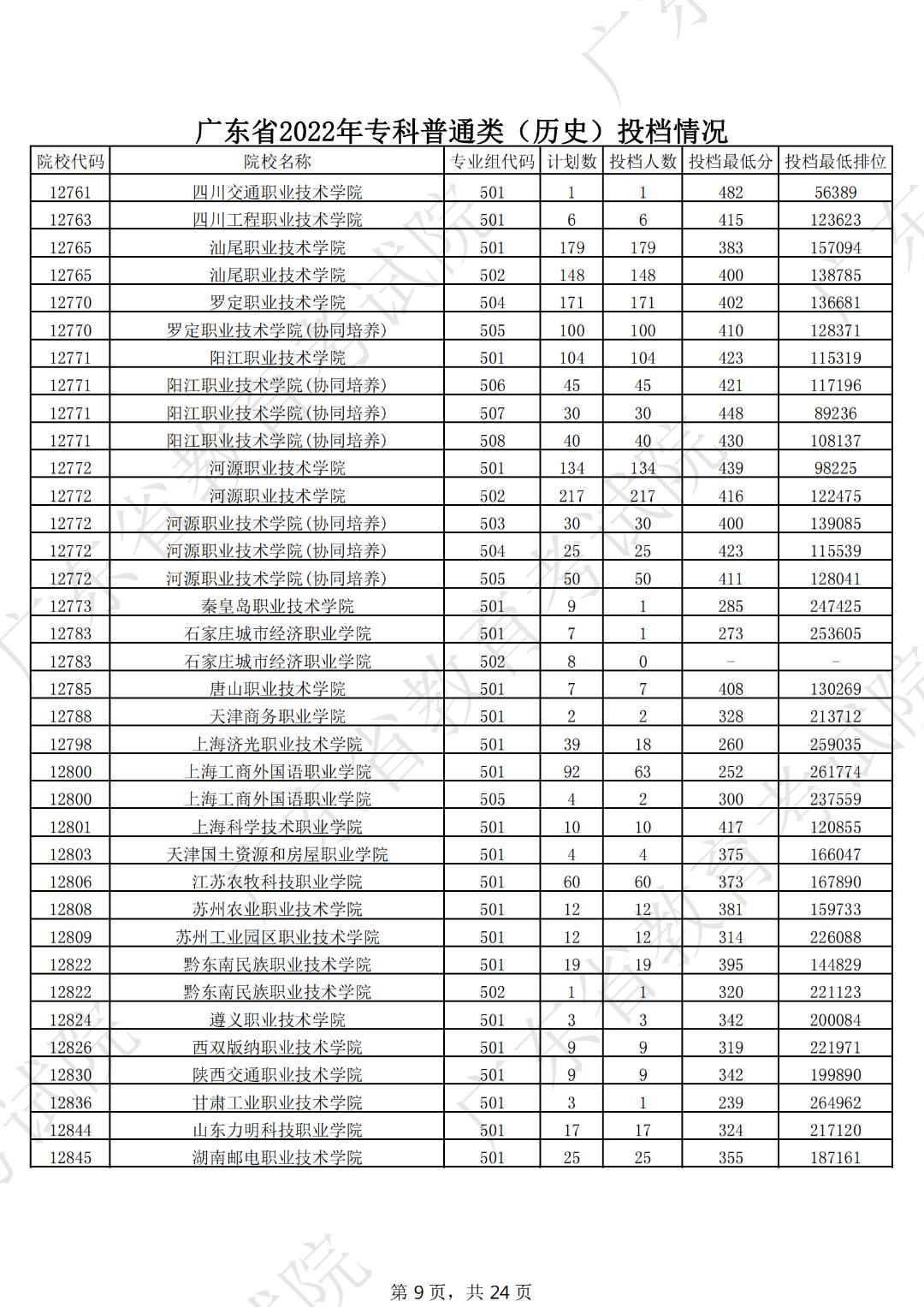
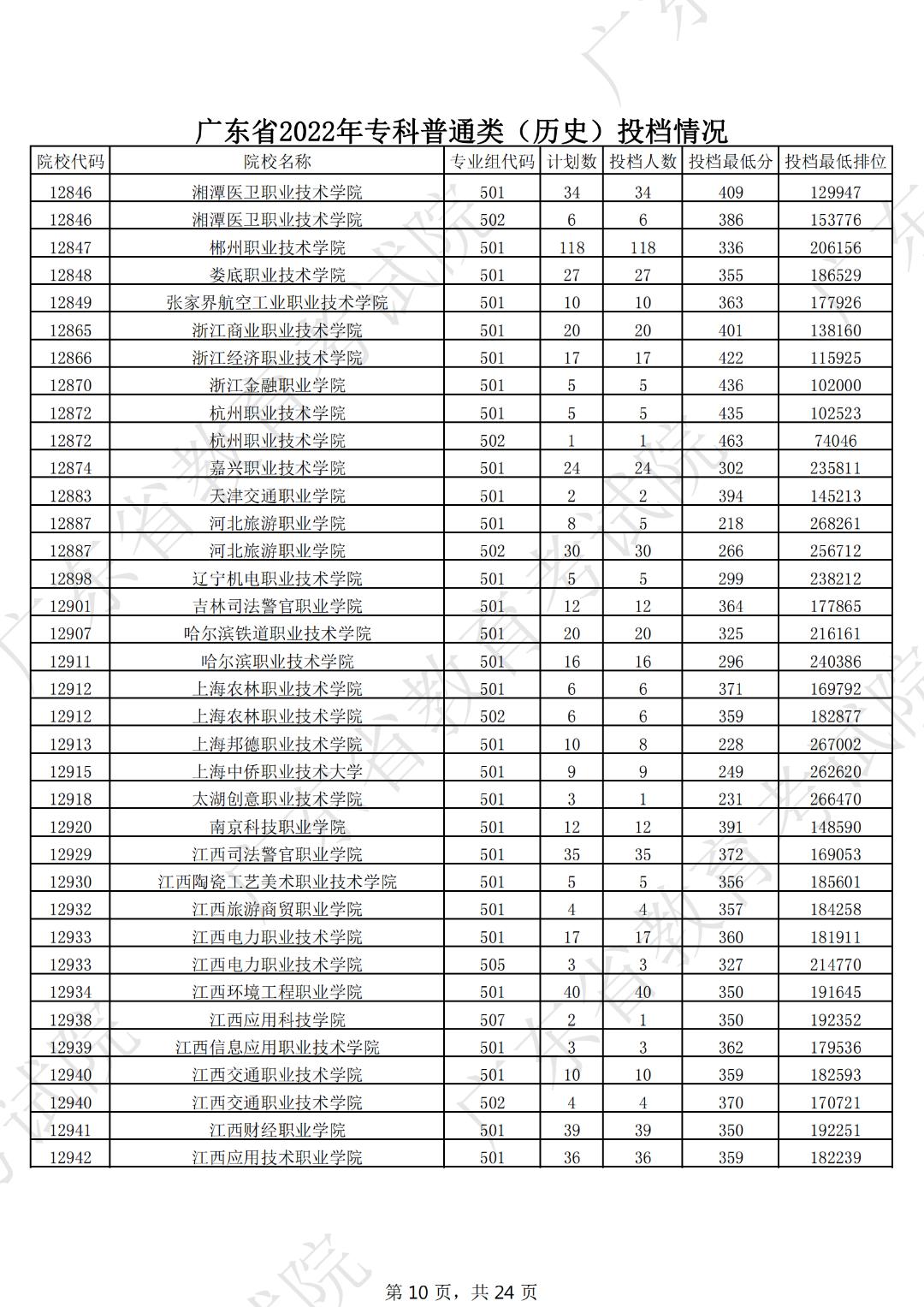
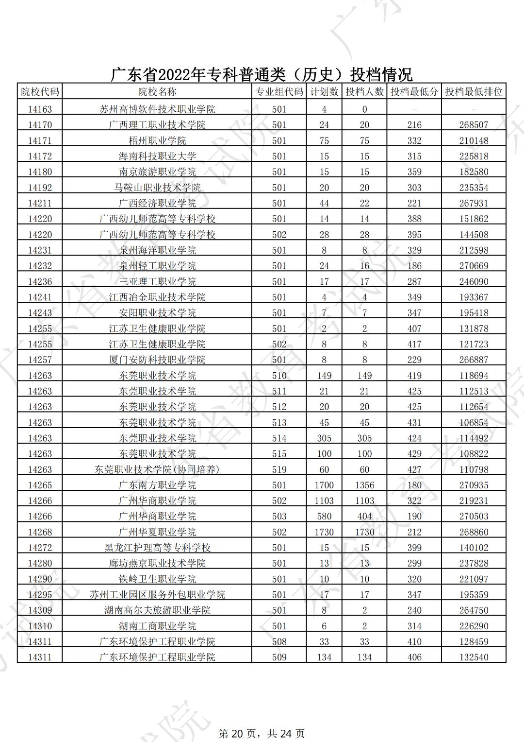
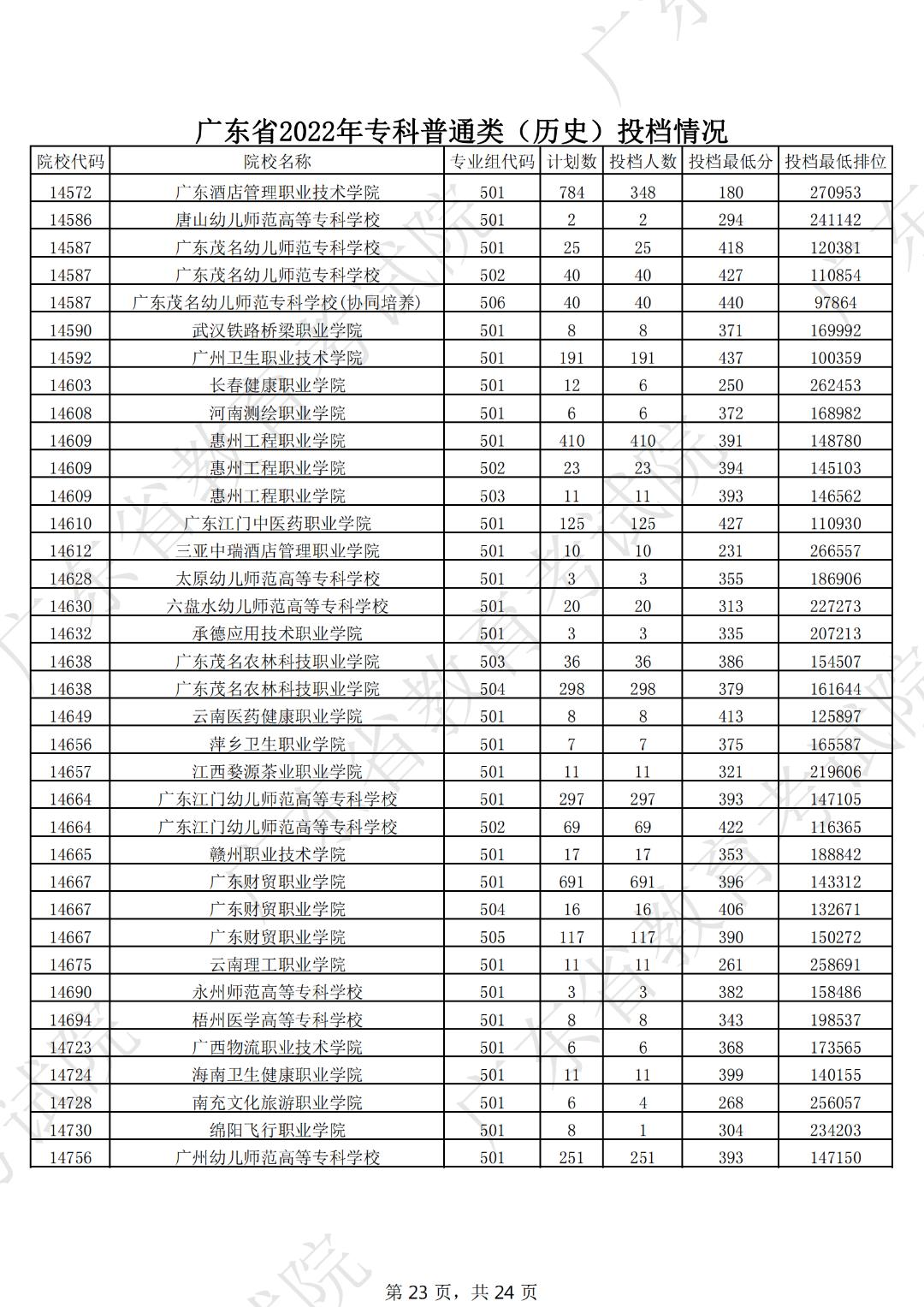
我省2022年普通高考专科批次已正式投档,共投出考生143636人,其中普通类(历史)投出56478人,普通类(物理)投出71418人,艺体类投出15740人。
从投档情况来看,公办专科院校生源充足、投档分较高,尤其是国家“双高计划”建设院校投档分较高,如普通类(历史、物理)的深圳职业技术学院、深圳信息职业技术学院、广东轻工职业技术学院、广州番禺职业技术学院、顺德职业技术学院等院校有多个专业组投档分超过本科批次录取最低分数线,本科线上考生共投出近1.5万人。公办专科院校与本科院校开展的三二分段协同培养招生继续受到考生青睐,投档分稳定在高位。
我省专科批次录取工作预计于8月5日结束,8月4日起,考生可陆续查询到录取结果。随后省招生办将对未完成计划的专科批次院校专业组统一进行征集志愿。请广大考生密切关注我院官网和官微,及时获取专科征集志愿权威信息。
广东省教育考试院
2022年8月3日
广东省2022年普通高考专科批次
普通类(物理)



























广东省2022年普通高考专科批次
普通类(历史)
























温馨提示: 目前,广东省2022年普通高等学校招生录取工作正在进行中。根据考试院最新招生日程安排,专科批次录取结果预计8月4日起陆续公布。
而在录取期间,每天17:00*考前**试院将截至当天11:30已经录取的考生,通过号码向已录取考生在高考志愿填报系统绑定的手机号码推送录取结果,被录取的考生可耐心等待哦!
此外,考生们也可以关注【贝壳说高考】,进入查询入口,快速查询你的录取结果哦!

来源:综合来源于网络
如有侵权问题,请联系小编删除