作者:刘延柱。
传统杂技里的独轮车表演已有一百多年历史。1870年英国人斯塔利 (Starley,J.K.) 发明了双轮自行车(图1)。这个新发明曾戏称为 “Penny-farthing” ,意思是 “ 1 又 1/4 便士” 。因为高大的前轮带一个矮小的后轮恰似一个大硬币配一个小硬币。当骑车人紧急刹车时,会由于惯性令重心向前冲,带动后轮离开地面。如刹车太急骑车人会因惯性向前方摔出去。后来发现,后轮离地后只有一个轮子着地的自行车在驾车人的控制下也能稳定不倒。脚踏独轮车就此诞生,杂技表演里便多了一项特殊节目(图2)。

图1 斯塔利的双轮自行车

图2 杂技中的独轮车
独轮车不仅是杂技舞台上的表演节目,而且是一项群众性体育活动。驾驶独轮车能协调人的综合平衡能力和增强灵活性,因而倍受青少年的喜爱(图3)。国际独轮车大会暨独轮车锦标赛定期举行,吸引了几十个国家和地区的独轮车运动爱好者。2000年在北京举办的第十届国际独轮车大会是参赛人数和比赛项目最多的一届。可见独轮车在杂技中具有的特殊地位。

图3 独轮车运动(引自网络)
独轮车依靠轮胎与地面接触的单点支承,是一只倒置的复摆。独轮车的骑手通过脚蹬对车轮施加驱动或制动力矩,利用接触点的无滑动条件,转化为地面的摩擦力使车轮加速或减速。当行进中的骑手感觉身体向前或向后倾斜时,施加与倾斜方向相同的控制力矩使车体加速或减速,就能借助惯性力使身体恢复直立;当骑手感觉向左右侧倾斜时,则利用上躯干向相反的另一侧倾斜,以产生反方向的重力矩与之平衡。
这种稳定方法也适用于独轮车原地不动的情形。但骑手也可采用另一种稳定方法,即控制左右脚对脚蹬交替使力,使车轮在交变的激励力作用下往复滚动。与晃板的运动类似,仍可使车体的平均位置保持垂直。
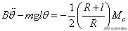
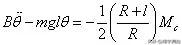
为更清楚解释上述现象,将独轮车简化为由骑手下躯干连同固结的车架B1、车轮 B2 和骑手的上躯干B3 组成的多体系统 {B}(图4)。设独轮车整体绕垂直轴的转弯角度为 σ ,与车架固结的骑手下躯干B1 朝前后方的倾斜角为 θ ,侧向倾斜角为 ψ ,骑手的上躯干B3 相对下躯干B1 的侧弯角为 φ 。设骑手的前方、侧方和垂直方向的坐标轴分别为x、y、z轴,系统 {B} 的质量为 m ,相对总质心 Oc 的主惯量矩分别为 A 、 B 、 C ,上躯干B3 相对x 轴的主惯量矩为 A 1,车轮B2 绕转轴的主惯量矩为 J ,转动角速度为 Ω ,脚蹬传至车轮的驱动力矩减去阻力矩后为 Mc ,地面对车轮的法向支承力 Fn 沿垂直轴, Fn = mg 。摩擦力 F 沿前进方向,车轮匀速转动时, F = Mc / R , R 为车轮B2 的半径。设质心 Oc 至车轮与地面的接触点 P 的距离为 l ,上躯干B1 的质量和质心 O 1 至总质心 Oc 的距离分别为 m 1 和 l 1。引入参数 α = m 1 l 1/ ml ,仅保留 θ 和 ψ 的一次项,列出系统 {B} 的动力学方程:



列写车轮B2 在驱动力矩 Mc 摩擦力 F 作用下绕极轴转动的动力学方程。利用车轮的纯滚动约束条件,导出 J ( dΩ / dt ) 与 F 和 Mc 的关系,代入第一个方程,化作

上述方程的推导过程均在附录中给出。系统 {B} 的动力学方程共3个,组成独轮车的动力学方程组,含6个未知变量: ψ , θ , φ , σ , Ω , Mc 。其中,车轮转速 Ω 如预先给定,还须补充骑手对 φ 和 Mc 的控制规律,方可使方程组封闭。

图4 独轮车多体系统
对于独轮车匀速前进的一般情况,令方程


σ ≡0, Ω 为常值。如骑手不采取控制措施,驱动力矩与阻力矩抵消,令 Mc =0。上躯干无侧弯,令 φ ≡0。则上两式解耦,特征方程为

特征根为正实数,表明不加控制的独轮车的平衡不稳定。
若骑手依据感觉到的倾斜角 θ 和 ψ ,按以下控制规律对脚蹬施力和做弯腰动作:

代入系统 {B} 的动力学方程组,设车体匀速直行,仍令 σ ≡ 0, Ω 为常值,下式 化作 dψ / dt =0

下式两式解耦


化作


特征方程为


若上式的所有系数均为正值,则特征值除零根以外均为纯虚数。按照线性系统的稳定性条件,平衡状态稳定。此条件要求控制规律中的系数 k 1、 k 2 满足

训练有素的骑手能保证此条件得到满足,以实现稳定的平衡。
原地不动的独轮车也能采用晃板的稳定方法。设骑手控制左右脚对脚蹬交替使力,对车轮施加往复变化的激励力矩 Mc = Mc 0sin ωt 。代入方程

得到不稳定系统的受迫振动方程:

导出受迫振动的响应:

车体在垂直平面内作周期摆动,其平均位置仍保持直立。
独轮车的转弯过程也存在与自行车前轮类似的 “陀螺效应” 和 “离心力效应” 。当骑手向一侧倾斜时,也能使车轮进动促使车体转弯。设车轮匀速转动, Ω 为常值。若骑手连同车体朝一侧倾斜,使方程

出现 dψ / dt ,积分一次后得到

表明车体的侧向倾斜角 ψ 能使车轮进动,产生绕垂直轴的转弯角速度 dσ / dt 。不过独轮车的转速 Ω 远低于自行车,陀螺效应十分微弱。即使是自行车,上述陀螺效应也只有理论意义,其实际效果已被1971年Jones 的实验否定。因此更有效的转弯方法是骑手靠下肢夹住车轮扭动,就能迅速转弯。由于施加的力矩为内力矩,车轮的转动必引起躯体的反方向扭动,必须待转弯完成后再恢复直立。
附录:
独轮车的动力学方程
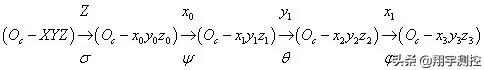
将独轮车简化为3个部分:由骑手下躯干连同固结的车架B1、车轮B2 和骑手的上躯干B3 组成的系统 {B}(图5)。忽略分体之间的相对转动对质心 Oc 位置的影响。以 Oc 为原点,建立平动参考坐标系 ( Oc - XYZ ) , X 和 Y 轴与地面平行, X 轴沿前进方向, Z 轴为垂直轴。按以下顺序定义独轮车的角度坐标(箭头上方表示转动轴,下方表示转过的角度:

其中, x 0 轴沿独轮车的前进方向, σ 为车体的转弯角度。( Oc - x 2 y 2 z 2) 为B1 的主轴坐标系(图5a)。 ψ 和 θ 为骑手连同车架朝左右两侧和前后方向的倾斜角(图5b)。( Oc - x 3 y 3 z 3) 为上躯干B3 的主轴坐标系, φ 为B3 相对B1 的转角(图5c)。仅保留 ψ 和 θ 的一次项,设B1 和B3 的角速度分别为 ω 和 ω 1


图5 独轮车的参考坐标系
设 {B} 的质量为 m ,相对 x 2 轴和 z 2 轴的主惯量距分别为 A 和 C ,骑手和车架(不包括车轮)相对 y 2 轴的主惯量距为B,骑手上躯干B3 相对 x 2 轴的主惯量距为 A 1,车轮B2 的极惯性矩为 J ,转动角速度为 Ω ,则 {B} 相对各轴的动量矩分别为

脚蹬传至车轮的力矩为 Mc 为系统 {B} 的内力,改变车体的运动状态为外力,包括重力 mg 和地面对车轮的支承力 Fn 和切向摩擦力 F 。其中,支承力 Fn = mg ,摩擦力 F 由车轮的动力学方程设定。
设质心 Oc 至车轮与地面的接触点 P 的距离为 l ,上躯干B3 的质量和质心 O 1 至总质心 Oc 的距离分别为 m 1 和 l 1。引入参数 α = m 1 l 1/ ml ,计算重力与地面的支承力 Fn 和摩擦力 F 相对 Oc 的力矩 M ,得到

将上各式代入系统 {B} 对质心 Oc 的动量矩定理:

其中,波浪号表示动坐标系 ( Oc - x 2 y 2 z 2) 中的相对导数。将下式代入



得到 {B} 的动力学方程:



为确定摩擦力 F 与驱动力矩 Mc 的关系,须单独对车轮B2 列写动力学方程(图6)。设车轮的半径为 R ,利用对轮心 O 2 的动量矩定理,列出


图6 车轮受力图
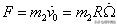
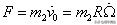
设车轮作无滑动的纯滚动,轮心 O 2 的速度为 v 0= RΩ ,利用水平方向的动量定理,设车轮的质量为 m 2,列出

将上式代入

近似略去辐条的质量,将车轮视为圆环,则 J = m 2 R ²,代入上式,且利用

导出

代入方程

消去

和 F ,化作

下式



共3个微分方程组成独轮车的动力学方程组,含6个未知变量: θ 、 ψ 、 σ 、 φ 、Ω、 Mc 。如给定车轮转速Ω,还必须补充骑手对 φ 和 Mc 的控制规律,方可使方程组封闭。
北京神州翔宇技术有限公司