1总则
1.0.1 为了在建筑变形测量中贯彻执行国家有关技术经济政策,做到安全适用、技术先进、经济合理、确保质量,制定本规范。
1.0.2 本规范适用于各种建筑在施工期间和使用期间变形测量的技术设计、作业实施、成果整理及质量检验等。
1.0.3 建筑变形测量除应符合本规范的规定外,尚应符合国家现行有关标准的规定。
2 术语和符号
2.1 术 语
2.1.1 变形 deformation 建筑在荷载作用下产生的形状或位置变化的现象。可分为沉降和位移两大类。沉降指竖向的变形,包括下沉和上升;而位移为除沉降外其他变形的统称,包括水平位移、倾斜、挠度、裂缝、收敛变形、风振变形和日照变形等。
2.1.2 建筑变形测量 deformation measurement of building and structure 对建筑物或构筑物的场地、地基、基础、上部结构及周边环境受荷载作用而产生的形状或位置变化进行观测,并对观测结果进行处理、表达和分析的工作。
2.1.3 差异沉降 differential settlement 不同位置在同一时间段产生的不均匀沉降现象。
2.1.4 倾斜 inclination 包括基础倾斜和上部结构倾斜。基础倾斜指的是基础两端由于不均匀沉降而产生的差异沉降现象;上部结构倾斜指的是建筑的中心线或其墙、柱上某点相对于底部对应点产生的偏离现象。
2.1.5 挠度 deflection 建筑的基础、构件或上部结构等在弯矩作用下因挠曲而产生的变形。
2.1.6 收敛变形 convergence deformation 隧道、涵洞等类型的建筑在施工或运营过程中因围岩应力变化产生的变形。
2.1.7 风振变形 wind loading deformation 建筑受强风作用而产生的变形。
2.1.8 日照变形 sunshining deformation 建筑受阳光照射受热不均而产生的变形。
2.1.9 变形值 deformation value 变形大小的数值,也称变形量。
2.1.10 变形允许值 allowable deformation value 为保证建筑正常使用而确定的变形控制值。
2.1.11 变形预警值 prewarning deformation value 在变形允许值范围内,根据建筑变形的敏感程度,以变形允许值的一定比例计算的或直接给定的警示值。
2.1.12 基准点 benchmark,reference point 为进行变形测量而布设的稳定的、长期保存的测量点。根据变形测量的类型,可分为沉降基准点和位移基准点。
2.1.13 工作基点 working reference point 为便于现场变形观测作业而布设的相对稳定的测量点。根据变形测量的类型,可分为沉降工作基点和位移工作基点。
2.1.14 监测点 monitoring point 布设在建筑场地、地基、基础、上部结构或周边环境的敏感位置上能反映其变形特征的测量点。根据变形测量的类型,可分为沉降监测点和位移监测点。
2.1.15 变形速率 rate of deformation 单位时间的变形量。
2.1.16 观测频率 observation frequency 一定时间内的观测次数。
2.1.17 观测周期 observation cycle 相邻两次观测之间的时间间隔。
2.1.18 变形因子 deformation factor 引起建筑变形的因素,如荷载、时间等。
2.1.19 时间序列 time series 等时间间隔的一系列观测数据按观测时间先后排序而成的数列。
2.1.20 结构健康监测 structural health monitoring 利用自动化监测系统实时获取结构的几何及应力、应变等特征信息,进而分析和识别结构健康状况的工作。
2.2 符 号
2.2.1 变形量 A——风力振幅; d——位移分量;偏离值; fc——基础相对弯曲度; f1——水平方向的挠度值; f2——垂直方向的挠度值; s——沉降量; α——倾斜度;夹角; △——两期间的变形量; △d——位移分量差; △s——沉降差。
2.2.2 观测量 D——距离;边长; h——高差; L——附合路线、环线或视准线长度; n——测回数;测站数;高差个数; S——视线长度; αv——垂直角; v——棱镜高。
2.2.3 中误差 md——位移分量或偏离值测定中误差; m△d——位移分量差测定中误差; mh——测站高差中误差; m0——水准测量单程观测每测站高差中误差; ms——沉降量测定中误差; m△s——沉降差测定中误差; mα——方向观测中误差; mβ——测角中误差; μ——单位权中误差。
2.2.4 仪器参数 i——水准仪视准轴与水准管轴的夹角; k——收敛尺的温度线膨胀系数; 2C——经纬仪两倍视准误差。
2.2.5 其他符号 K——大气垂直折光系数; R——地球平均曲率半径。
3 基本规定
3.1 总体要求
3.1.1 下列建筑在施工期间和使用期间应进行变形测量: 1 地基基础设计等级为甲级的建筑。 2 软弱地基上的地基基础设计等级为乙级的建筑。 3 加层、扩建建筑或处理地基上的建筑。 4 受邻近施工影响或受场地地下水等环境因素变化影响的建筑。 5 采用新型基础或新型结构的建筑。 6 大型城市基础设施。 7 体型狭长且地基土变化明显的建筑。
3.1.2 建筑在施工期间的变形测量应符合下列规定: 1 对各类建筑,应进行沉降观测,宜进行场地沉降观测、地基土分层沉降观测和斜坡位移观测。 2 对基坑工程,应进行基坑及其支护结构变形观测和周边环境变形观测;对一级基坑,应进行基坑回弹观测。 3 对高层和超高层建筑,应进行倾斜观测。 4 当建筑出现裂缝时,应进行裂缝观测。 5 建筑施工需要时,应进行其他类型的变形观测。
3.1.3 建筑在使用期间的变形测量应符合下列规定: 1 对各类建筑,应进行沉降观测。 2 对高层、超高层建筑及高耸构筑物,应进行水平位移观测、倾斜观测。 3 对超高层建筑,应进行挠度观测、日照变形观测、风振变形观测。 4 对市政桥梁、博览(展览)馆及体育场馆等大跨度建筑。应进行挠度观测、风振变形观测。 5 对隧道、涵洞等,应进行收敛变形观测。 6 当建筑出现裂缝时,应进行裂缝观测。 7 当建筑运营对周边环境产生影响时,应进行周边环境变形观测。 8 对超高层建筑、大跨度建筑、异型建筑以及地下公共设施、涵洞、桥隧等大型市政基础设施,宜进行结构健康监测。 9 建筑运营管理需要时,应进行其他类型的变形观测。
3.1.4 建筑变形测量可采用独立的平面坐标系统及高程基准。对大型或有特殊要求的项目,宜采用2000国家大地坐标系及1985国家高程基准或项目所在城市使用的平面坐标系统及高程基准。
3.1.5 建筑变形测量应采用公历纪元、北京时间作为统一时间基准。
3.1.6 建筑变形测量过程中发生下列情况之一时,应立即实施安全预案,同时应提高观测频率或增加观测内容: 1 变形量或变形速率出现异常变化。 2 变形量或变形速率达到或超出变形预警值。 3 开挖面或周边出现塌陷、滑坡。 4 建筑本身或其周边环境出现异常。 5 由于地震、暴雨、冻融等自然灾害引起的其他变形异常情况。
3.1.7 在现场从事建筑变形测量作业,应采取安全防护措施。
3.2 精度等级
3.2.1 建筑变形测量应以中误差作为衡量精度的指标,并以二倍中误差作为极限误差。
3.2.2 对通常的建筑变形测量项目,可根据建筑类型、变形测量类型以及项目勘察、设计、施工、使用或委托方的要求,从表3.2.2中选择适宜的观测精度等级。
表3.2.2 建筑变形测量的等级、精度指标及其适用范围

注:1 沉降监测点测站高差中误差:对水准测量,为其测站高差中误差;对静力水准测量、三角高程测量,为相邻沉降监测点间等价的高差中误差; 2 位移监测点坐标中误差:指的是监测点相对于基准点或工作基点的坐标中误差、监测点相对于基准线的偏差中误差、建筑上某点相对于其底部对应点的水平位移分量中误差等。坐标中误差为其点位中误差的1/

倍。
3.2.3 对明确要求按建筑地基变形允许值来确定精度等级或需要对变形过程进行研究分析的建筑变形测量项目,应符合下列规定: 1 应根据变形测量的类型和现行国家标准《建筑地基基础设计规范》GB 50007规定或工程设计给定的建筑地基变形允许值,先按下列方法估算变形测量精度: 1)对沉降观测,应取差异沉降的沉降差允许值的1/10~1/20作为沉降差测定的中误差,并将该数值视为监测点测站高差中误差; 2)对位移观测,应取变形允许值的1/10~1/20作为位移量测定中误差,并根据位移量测定的具体方法计算监测点坐标中误差或测站高差中误差。 2 估算出变形测量精度后,应按下列规则选择本规范表3.2.2规定的精度等级: 1)当仅给定单一变形允许值时,应按所估算的精度选择满足要求的精度等级;当给定多个同类型变形允许值时,应分别估算精度,按其中最高精度选择满足要求的精度等级; 2)当估算的精度低于本规范表3.2.2中四等精度的要求时,应采用四等精度; 3)对需要研究分析变形过程的变形测量项目,宜在上述确定的精度等级基础上提高一个等级。
3.3 技术设计与实施
3.3.1 建筑变形测量的技术设计与实施,应能反映建筑场地、地基、基础、上部结构及周边环境在荷载和环境等因素影响下的变形程度或变形趋势,并应满足建筑设计、施工和管理对变形信息的使用要求。
3.3.2 对建筑变形测量项目,应根据项目委托方要求、建筑类型、岩土工程勘察报告、地基基础和建筑结构设计资料、施工计划以及测区条件等编写技术设计。技术设计应包括下列主要内容: 1 任务要求。 2 待测建筑概况,包括建筑及其结构类型、岩土工程条件、建筑规模、所在位置、所处工程阶段等。 3 已有变形测量成果资料及其分析。 4 依据的技术标准名称及编号。 5 变形测量的类型和精度等级。 6 采用的平面坐标系统、高程基准。 7 基准点、工作基点和监测点布设方案,包括标石与标志型式、埋设方式、点位分布及数量等。 8 观测频率及观测周期。 9 变形预警值及预警方式。 10 仪器设备及其检校要求。 11 观测作业及数据处理方法要求。 12 提交成果的内容、形式和时间要求。 13 成果质量检验方式。 14 相关附图、附表等。
3.3.3 建筑变形测量基准点和工作基点的布设及观测应符合本规范第5章的规定。变形监测点的布设应根据建筑结构、形状和场地工程地质条件等确定,点位应便于观测、易于保护,标志应稳固。
3.3.4 建筑变形测量的仪器设备应符合下列规定: 1 水准仪及配套水准尺、全站仪、卫星导航定位测量系统等仪器设备,应经法定计量检定机构检定合格,并应在检定有效期内使用。 2 作业前和作业过程中,应根据现场作业条件的变化情况,对所用仪器设备进行检查校正。 3 作业时,仪器设备应避免安置在有空压机、搅拌机、卷扬机、起重机等振动影响的范围内。 4 仪器设备应在其说明书给出的作业条件下使用,有关安装、操作及设备维护等应符合其说明书的规定。
3.3.5 建筑变形测量应根据确定的观测频率和观测周期进行观测。变形观测频率和观测周期应根据建筑的工程安全等级、变形类型、变形特征、变形量、变形速率、施工进度计划以及外界因素影响等情况确定。
3.3.6 对建筑变形测量项目的基准点、工作基点和监测点,首期(即零期)应连续进行两次独立测量。当相应两次观测数据的较差不大于极限误差时,应取其算术平均值作为该项目变形测量的初始值,否则应立即进行重测。
3.3.7 各期变形测量应在短时间内完成。对不同期测量,宜采用相同的观测网形、观测路线和观测方法,并宜使用相同的测量仪器设备。对于特等和一等变形观测,尚宜固定观测人员、选择最佳观测时段并在相近的环境条件下观测。
3.3.8 各期变形测量作业过程中,应进行观测数据的记录存储;同时应进行现场巡视,并应记录建筑状态、施工进度、气象和周边环境状况以及作业中出现的有关情况。
3.3.9 当某期变形测量作业中,出现监测点被破坏或不能被观测时,应在备注中说明,并应及时通报项目委托方。
3.3.10 当按任务要求或项目技术设计,变形测量作业将要终止时,若变形尚未达到稳定状态,应及时与项目委托方沟通。并应在项目技术报告中明确说明。
3.3.11 各期变形测量应进行数据整理和成果质量检查。最终项目综合成果应进行质量验收。
4 变形观测方法
4.1 一般规定
4.1.1 对建筑变形测量项目,应根据所需测定的变形类型、精度要求和现场作业条件来选择相应的观测方法。一个项目中可组合使用多种观测方法。对有特殊要求的变形测量项目,可同时选择多种观测方法相互校验。
4.1.2 当采用光学水准仪、光学经纬仪、电子经纬仪、光电测距仪等进行建筑变形观测时,技术要求可按本规范关于数字水准仪和全站仪测量的相关规定及国家现行有关标准的规定执行。
4.1.3 当变形测量需采用特等精度时,应对所用测量方法、仪器设备及具体作业过程等进行专门的技术设计、精度分析,并宜进行试验验证。
4.2 水准测量
4.2.1 当采用水准测量进行沉降观测时,所用仪器型号和标尺类型应符合表4.2.1的规定。
表4.2.1 水准仪型号和标尺类型

4.2.2 水准测量的作业方式应符合表4.2.2的规定。
表4.2.2 沉降观测作业方式

4.2.3 水准测量应符合下列规定: 1 观测视线长度、前后视距差、视线高度及重复测量次数应符合表4.2.3-1的规定。
表4.2.3-1 数字水准仪观测要求

注:1 在室内作业时,视线高度不受本表的限制。 2 当采用光学水准仪时,观测要求应满足表中各项要求。 2 观测限差应符合表4.2.3-2的规定。
表4.2.3-2 数字水准仪观测限差(mm)

注:1 表中n为测站数。 2 当采用光学水准仪时,基、辅分划或黑、红面读数较差应满足表中两次读数所测高差之差限差。
4.2.4 每期观测开始前,应测定数字水准仪的i角。当其值对一等、二等沉降观测超过15″,对三等、四等沉降观测超过20″时,应停止使用,立即送检。当观测成果出现异常,经分析可能与仪器有关时,应及时对仪器进行检验。
4.2.5 水准测量作业应符合下列规定: 1 应在标尺分划线成像清晰和稳定的条件下进行观测,不得在日出后或日落前约半小时、太阳中天前后、风力大于四级、气温突变时以及标尺分划线的成像跳动而难以照准时进行观测,阴天可全天观测。 2 观测前半小时,应将数字水准仪置于露天阴影下,使仪器与外界气温趋于一致。观测前,应进行不少于20次单次测量的预热。晴天观测时,应使用测伞遮蔽阳光。 3 应避免望远镜直接对着太阳,并应避免观测视线被遮挡。仪器应在其生产厂家规定的温度范围内工作。当遇临时振动影响时,应暂停作业。当长时间受振动影响时,应增加重复测量次数。 4 各期观测过程中,当发现相邻监测点高差变动异常或附近地面、建筑基础和墙体出现裂缝时,应进行记录。
4.2.6 观测成果的重测和取舍应符合下列规定: 1 凡超出本规范表4.2.3-2规定限差的成果,均应在分析原因的基础上进行重测。当测站观测限差超限时,对在本站观测时发现的,应立即重测;当迁站后发现超限时,应从稳固可靠的点开始重测。 2 当测段往返测高差较差超限时,应先对可靠性小的往测或返测测段进行重测,并应符合下列规定: 1)当重测的高差与同方向原测高差的不符值大于往返测高差不符值的限差,但与另一单程的高差不符值未超出限差时,可取用重测结果; 2)当同方向两高差的不符值未超出限差,且其算术平均值与另一单程原测高差的不符值亦不超出限差时,可取同方向两高差算术平均值作为该单程的高差; 3)当重测高差或同方向两高差算术平均值与另一单程高差的不符值超出限差时,应重测另一单程; 4)当出现同向不超限但异向超限时,若同方向高差不符值小于限差的1/2,可取原测的往返高差算术平均值作为往测结果,取重测的往返高差算术平均值作为返测结果。 3 单程双测站所测高差较差超限时,可只重测一个单线,并应与原测结果中符合限差的一个单线取算术平均值采用。若重测结果与原测结果均符合限差时,可取三个单线的算术平均值。当重测结果与原测两个单线结果均超限时,应再重测一个单线。 4 当线路往返测高差较差、附合路线或环线闭合差超限时,应对路线上可靠性小的测段进行重测。
4.3 静力水准测量
4.3.1 静力水准测量可用于自动化沉降观测。应根据观测精度要求和预估沉降量,选取相应精度和量程的静力水准传感器。对一等、二等沉降观测,宜采用连通管式静力水准;对二等及以下等级沉降观测,可采用压力式静力水准。采用静力水准测量进行沉降观测,宜将传感器稳固安装在待测结构上。
4.3.2 一组静力水准测量系统可由一个参考点和多个监测点组成。当采用多组串联方式构成观测路线时,在相邻组的交接处,应在同一建筑结构的上下位置设置转接点。当观测范围小于300m,且转接点数不大于2个时,可将一端的参考点设置在相对稳定的区域作为工作基点;否则,宜在观测路线的两端分别布设工作基点。工作基点应采用水准测量方法定期与基准点联测。
4.3.3 静力水准观测的技术要求应符合表4.3.3的规定。
表4.3.3 静力水准观测技术要求(mm)

注:n为高差个数。
4.3.4 静力水准测量装置的安装应符合下列规定: 1 管路内液体应具有流动性。 2 观测前向连通管内充水时,可采用自然压力排气充水法或人工排气充水法,不得将空气带入,管路应平顺,管路不应出现Ω形,管路转角不应形成滞气死角。 3 安装在室外的静力水准系统,应采取措施保证全部连通管管路温度均匀,避免阳光直射。 4 对连通管式静力水准,同组中的传感器应安装在同一高度,安装标高差异不得消耗其量程的20%;管路中任何一段的高度均应低于蓄水罐底部,但不宜低于0.2m。
4.3.5 静力水准测量系统的数据采集与计算应符合下列规定: 1 观测时间应选在气温最稳定的时段,观测读数应在液体完全呈静态下进行。 2 每次观测应读数3次,读数较差应小于表4.3.3中相应等级的仪器标称精度,取读数的算术平均值作为观测值。 3 多组串联组成静力水准观测路线时,应先按测段进行闭合差分配后计算各组参考点的高程,再根据参考点计算各监测点的高程。
4.3.6 静力水准测量系统应与水准测量进行互校。使用期间应定期维护,发现性能异常时应及时修复或更换。
4.4 三角高程测量
4.4.1 基于全站仪的三角高程测量可用于三等、四等沉降观测。三角高程测量应采用中间设站观测方式,所用全站仪的标称精度应符合表4.4.1的规定,并宜采用高低棱镜组及配件。
表4.4.1 三角高程测量所用全站仪标称精度要求
|
沉降观测等级 |
一测回水平方向标准差(″) |
测距中误差(mm) |
|
三等 |
≤1.0 |
≤(1mm+1ppm) |
|
四等 |
≤2.0 |
≤(2mm+2ppm) |
注:1ppm表示每千米1mm,2ppm表示每千米2mm,下同。
4.4.2 三角高程测量,应符合下列规定: 1 应在后视点、前视点上设置棱镜,在其中间设置全站仪。观测视线长度不宜大于300m,最长不宜超过500m,视线垂直角不应超过20°。每站的前后视线长度之差,对三等观测不宜超过30m,四等观测不宜超过50m。 2 视线高度及离开障碍物的间距宜大于1.3m。 3 当采用单棱镜观测时,每站应变动1次仪器高进行2次独立测量。当2次独立测量所计算高差的较差符合表4.4.2的规定时,取其算术平均值作为最终高差值。
表4.4.2 两次测量高差较差限差

注:D为两点间距离,以km为单位。 4 当采用高低棱镜组观测时,每站应分别以高、低棱镜中心为照准目标各进行1次距离和垂直角观测;观测宜采用全站仪自动照准和跟踪测量功能按自动化测量模式进行;当分别以高、低棱镜中心所测成果计算高差的较差符合表4.4.2的规定时,取其算术平均值作为最终高差值。
4.4.3 三角高程测量中的距离和垂直角观测,应符合下列规定: 1 每次距离观测时,前后视应各测2个测回。每测回应照准目标1次、读数4次。距离观测应符合表4.4.3-1的规定。
表4.4.3-1 距离观测要求

2 每次垂直角观测时,应采用中丝双照准法观测,观测测回数及限差应符合表4.4.3-2的规定。
表4.4.3-2 垂直角观测要求

3 观测宜在日出后2h至日落前2h的期间内目标成像清晰稳定时进行,阴天和多云天气可全天观测。
4.4.4 三角高程测量单次观测的高差应按下式计算:

式中:h12——后视点与前视点之间的高差(m); D1、D2——后视、前视水平距离(m); α1、α2——后视、前视垂直角; R——地球平均曲率半径(m); K1、K2——后视、前视大气垂直折光系数; v1、v2——后视、前视棱镜高(m)。
4.5 全站仪测量
4.5.1 全站仪边角测量法可用于位移基准点网观测及基准点与工作基点间的联测;全站仪小角法、极坐标法、前方交会法和自由设站法可用于监测点的位移观测;全站仪自动监测系统可用于日照、风振变形测量,以及监测点数量多、作业环境差、人员出入不便的建筑变形测量项目。
4.5.2 位移观测所用全站仪的标称精度应符合表4.5.2的规定。
表4.5.2 全站仪标称精度要求

4.5.3 当采用全站仪边角测量法进行位移基准点网观测及基准点与工作基点间联测时,应符合下列规定: 1 基准点及工作基点应组成多边形网,网的边长宜符合表4.5.3的规定。
表4.5.3 基准点及工作基点网边长要求
|
位移观测等级 |
边长(m) |
|
一等 |
≤300 |
|
二等 |
≤500 |
|
三等 |
≤800 |
|
四等 |
≤1000 |
2 应在各基准点、工作基点上设站观测,观测应边角同测。 3 视线高度及离开障碍物的间距宜大于1.3m。
4.5.4 全站仪水平角观测应符合下列规定: 1 水平角观测应采用方向观测法,测回数应符合表4.5.4-1的规定,观测限差应符合表4.5.4-2的规定。
表4.5.4-1 水平角观测测回数
|
全站仪测角标称精度 |
位移观测等级 |
|||
|
一等 |
二等 |
三等 |
四等 |
|
|
0.5″ |
4 |
2 |
1 |
1 |
|
1″ |
— |
4 |
2 |
1 |
|
2″ |
— |
— |
4 |
2 |
表4.5.4-2 水平角观测限差

2 观测应在通视良好、成像清晰稳定时进行。晴天的日出、日落前后和太阳中天前后不宜观测。作业中仪器不得受阳光直接照射,当气泡偏离超过一格时,应在测回间重新整置仪器。当视线靠近吸热或放热强烈的地形地物时,应选择阴天或有风但不影响仪器稳定的时间进行观测。 3 每站观测中,宜避免二次调焦。当观测方向的边长悬殊较大需调焦时,宜采用正倒镜同时观测法,该方向的2C值可不参与互差计算。对于大倾角方向的观测,水平气泡偏移不应超过一格。 4 当水平角观测成果超出限差时,应按下列规定进行重测: 1)当2C互差或各测回互差超限时,应重测超限方向,并联测零方向; 2)当归零差或零方向的2C互差超限时,应重测该测回; 3)一测回中,当重测方向数超过所测方向总数的1/3时,应重测该测回; 4)一个测站上,当重测的方向测回数超过全部方向测回总数的1/3时,应重测该测站所有方向。
4.5.5 全站仪距离观测应符合下列规定: 1 一等位移观测,距离应往返各观测4个测回;二等、三等、四等位移观测,距离应往返各观测2个测回。每测回应照准目标1次、读数4次。有关技术要求应符合表4.5.5的规定,其中往返测观测值较差应将斜距化算到同一水平面上方可比较。
表4.5.5 距离观测技术要求

2 测距应在成像清晰、气象条件稳定时进行。阴天、有微风时可全天观测;晴天最佳观测时间宜为日出后1h和日落前1h;雷雨前后、大雾、大风、雨、雪天和大气透明度很差时,不应进行观测。 3 晴天作业时,应对全站仪和反光镜打伞遮阳,严禁将仪器照准头对准太阳。 4 观测时的气象数据测定,应采用经检定合格的温度计和气压计。气象数据应在每边观测始末时在两端进行测定,取其算术平均值。 5 测距边两端点的高差,对一等、二等观测可采用四等水准测量或三等三角高程测量方法测定;对三等、四等观测可采用四等三角高程测量方法测定。 6 测距边归算到水平距离时,应在观测的斜距中加入气象改正和仪器加常数、乘常数、周期误差改正,并化算到同一水平面上。 7 当距离观测成果超限时,应按下列规定进行重测: 1)当一测回读数间较差超限时,应重测该测回; 2)当测回间较差超限时,可加测2个测回,去掉其中最大、最小测回观测值后再进行比较,如仍超限,应重测该边的所有测回; 3)当往返测较差超限时,应分析原因,重测单方向的距离。如重测后仍超限,应重测往返两方向的距离。
4.5.6 当采用全站仪小角法测定某个方向上的水平位移时,应符合下列规定: 1 应垂直于所测位移方向布设视准线,并应以工作基点作为测站点。 2 测站点与监测点之间的距离宜符合表4.5.6的规定。
表4.5.6 全站仪小角法观测距离要求(m)


3 监测点偏离视准线的角度不应超过30′。 4 每期观测时,利用全站仪观测各监测点的小角值,观测不应少于1测回。 5 监测点偏离视准线的垂直距离d(图4.5.6)应按下式计算:

式中:α——偏角(″); D——监测点至测站点之间的距离(mm); ρ——常数,其值为206265″。

图4.5.6 小角法示意图
4.5.7 当采用全站仪极坐标法进行位移观测时,应符合下列规定: 1 测站点与监测点之间的距离宜符合表4.5.7-1的规定。
表4.5.7-1 全站仪观测距离长度要求(m)

2 边长和角度观测测回数应符合表4.5.7-2的规定。
表4.5.7-2 全站仪观测测回数

4.5.8 当采用全站仪前方交会法进行位移观测时,应符合下列规定: 1 应选择合适的测站位置,使各监测点与其之间形成的交会角在60°~120°之间。测站点与监测点之间的距离宜符合本规范表4.5.7-1的规定。 2 水平角、距离观测测回数应符合本规范表4.5.7-2的规定。 3 当采用边角交会时,应在2个测站上测定各监测点的水平角和水平距离。 4 当仅采用测角或测边交会时,应至少在3个测站点上测定各监测点的水平角或水平距离。
4.5.9 当采用全站仪自由设站法进行位移观测时,应符合下列规定: 1 设站点应与3个基准点或工作基点通视,且该部分基准点或工作基点的平面分布范围应大于90°,设站点与监测点之间的距离宜符合本规范表4.5.7-1的规定。 2 所观测的监测点中,至少有2个点应在其他测站同期观测。 3 宜边角同测。水平角和距离观测测回数应符合本规范表4.5.7-2的规定。
4.5.10 当采用全站仪自动监测系统进行变形测量时,应符合下列规定: 1 自动化数据采集的仪器设备应安装牢固,并不应影响监测对象的安全运营。使用期间应定期维护设备,发现性能异常时应及时修复。 2 全站仪的自动照准应稳定、有效,单点单次照准时间不宜大于10s。 3 应根据观测精度要求、全站仪精度等级、监测点到仪器测站点的视线长度,进行观测方法设计和精度估算。有关技术要求可按本规范第4.5.7条~第4.5.9条的规定执行。每点每次观测的测回数宜符合本规范表4.5.7-2的规定。 4 后台控制程序应能按预定顺序逐点观测,数据不正常时应能补测,并应能根据即时指令增加观测。 5 多台全站仪联合组网观测时,相邻测站应有重叠的观测目标。 6 每期观测时均应进行基准点联测、稳定性判断和观测精度评定,然后再进行监测点数据计算。
4.6 卫星导航定位测量
4.6.1 卫星导航定位测量方法可用于二等、三等和四等位移观测。对二等观测,应采用静态测量模式;对三等、四等观测,可采用静态测量模式或动态测量模式。对日照、风振等变形测量,应采用动态测量模式。
4.6.2 卫星导航定位测量设备的选用应符合表4.6.2的规定。
表4.6.2 卫星导航定位测量设备选用


4.6.3 卫星导航定位测量接收设备的检定、检验应符合现行行业标准《卫星定位城市测量技术规范》CJJ/T 73的规定,并应符合下列要求: 1 新购置的接收设备应进行全面检验后方可使用,检验内容应包括一般检验、常规检验、通电检验和实测检验。 2 每期变形测量作业前,应对所用接收设备进行实测检验。 3 当接收机或天线受到强烈撞击后,或更新接收机部件及更新天线与接收机的匹配关系后,应按新购置设备做全面检验。
4.6.4 采用卫星导航定位测量进行变形测量作业,其点位选择应符合下列规定: 1 视场内障碍物的高度角不宜超过15°。 2 离电视台、电台、微波站等大功率无线电发射源的距离不应小于200m,离高压输电线和微波无线电信号传输通道的距离不应小于50m,附近不应有强烈反射卫星信号的大面积水域、大型建筑以及热源等。 3 通视条件好,应便于采用全站仪等手段进行后续测量作业。
4.6.5 卫星导航定位测量静态测量作业应符合下列规定: 1 静态测量作业的基本技术要求应符合表4.6.5的规定。
表4.6.5 静态测量基本技术要求


2 对二等位移测量,应采用零相位天线,削弱多路径误差,并采用强制对中器安置接收机天线,对中误差不应大于0.5mm,天线应统一指向正北。 3 作业中应按规定的时间计划进行观测。 4 经检查接收机电源电缆和天线等各项连接无误后,方可开机。 5 开机后经检验有关指示灯与仪表显示正常后,方可进行自测试及输入测站名、时段等控制信息。 6 接收机启动前与作业过程中,应填写测量手簿中的记录项目。 7 观测开始、结束时,应分别量测1次天线高,两次较差不应大于3mm,并应取其算术平均值作为天线高。 8 观测期间,应防止接收设备振动,并应防止人员和其他物体碰动天线或阻挡信号。 9 观测期间,不得在天线附近使用电台、对讲机和手机等无线电通信设备。 10 作业时,接收机应避免阳光直接照晒。雷雨天气时,应关机停测,并应卸下天线以防雷击。 11 作业过程中,不得进行下列操作: 1)接收机关闭又重新启动; 2)进行自测试; 3)改变卫星截止高度角; 4)改变数据采样间隔; 5)改变天线位置; 6)按动关闭文件和删除文件功能键。 12 对二等位移测量,宜采用高精度解算软件和精密星历进行数据处理;对三等或四等位移测量,可采用商用软件和预报星历进行数据处理。观测数据的处理和质量检查应符合现行行业标准《卫星定位城市测量技术规范》CJJ/T 73的规定。同一时段观测值的数据采用率宜大于85%。
4.6.6 卫星导航定位测量动态测量作业应符合下列规定: 1 动态变形测量应建立由参考点站、监测点站、通信网络和数据处理分析系统组成的卫星导航定位测量动态变形监测系统。 2 动态变形监测系统应至少设置1个参考点站,必要时可增加1个参考点站。 3 参考点站应选在变形区域影响范围之外,距变形监测点的距离不应超过3km。 4 参考点站宜直接设置在位移基准点上。当位移基准点不能作为参考点站时,应设置位移工作基点,并将其作为动态变形监测系统的参考点站。 5 对高频次或变化敏感的监测点,应一个天线配置一台接收机,接收机宜具备1Hz以上的数据输出能力;对变化缓慢的变形监测点,可多个天线配置一台接收机。 6 参考点站和监测点站应与数据处理分析系统通过通信网络进行连通,并应保证数据实时传输。 7 数据处理分析系统软件应具有下列基本功能: 1)具备自动数据后处理和1Hz及以上速率的实时动态数据处理能力,能提供监测点的三维坐标; 2)具备监测点变形量限差检核和报警能力,能进行监测点最大变形量、连续同向变形趋势允许量设置报警; 3)具备数据存储、管理和分析的能力; 4)具备全过程全自动管理能力; 5)具备输出RINEX格式的原始数据和NMEA格式的结果数据的能力; 6)具备信号去噪、单历元变形量解算能力; 7)具备实时在线数据分析和图形化报表能力; 8)具备对参考点站、监测点站进行监控和参数调整的功能。
4.7 激光测量
4.7.1 激光测量可分为激光准直测量、激光垂准测量和激光扫描测量。激光准直测量可用于测定建筑水平位移;激光垂准测量可用于测定建筑倾斜;激光扫描测量可用于测定建筑沉降及水平位移。
4.7.2 当采用激光准直测量方法测定建筑水平位移时,应符合下列规定: 1 对一等或二等位移观测,可采用1″级经纬仪配置高稳定性氦氖激光器或半导体激光器构成激光经纬仪,并采用高精度光电探测器获取读数;对三等或四等位移观测,可采用2″级经纬仪配置氦氖激光器或半导体激光器构成激光经纬仪,并采用光电探测器或有机玻璃格网板获取读数。 2 激光经纬仪在使用前必须进行检校,仪器射出的激光束轴线、发射系统轴线和望远镜照准轴应三者重合,观测目标与最小激光斑应重合。 3 应在视准线一端安置激光经纬仪,瞄准安置在另一端的固定觇牌进行定向,待监测点上的探测器或格网板移至视准线上时读数。每个监测点应按表4.7.2规定的测回数进行往测与返测。
表4.7.2 激光经纬仪观测测回数
|
经纬仪标准精度 |
位移观测等级 |
|||
|
一等 |
二等 |
三等 |
四等 |
|
|
1″ |
4 |
2 |
1 |
1 |
|
2″ |
— |
— |
2 |
1 |
4 监测点与设站点之间的距离不应超过激光器的有效测程。监测点偏离激光视准线的距离不应超过探测器或格网板的可读数范围。
4.7.3 当采用激光垂准测量方法测定建筑水平位移或倾斜时,应符合下列规定: 1 待测处与底部之间应竖向通视。 2 应在待测处安置激光接收靶,在其垂线下方地面上安置激光垂准仪。 3 所用激光垂准仪的标称精度及作业范围应符合表4.7.3的规定。
表4.7.3 激光垂准仪的标称精度及作业范围
|
仪器垂直测量标称精度 |
位移观测等级 |
|||
|
一等 |
二等 |
三等 |
四等 |
|
|
1/100000 |
≤100m |
有效测程内 |
有效测程内 |
有效测程内 |
|
1/40000 |
≤40m |
≤120m |
有效测程内 |
有效测程内 |
4 作业中,激光垂准仪应置平、对中。应在0°、90°、180°和270°四个位置分别捕捉四个激光点,并应取该四个激光点的几何中心位置作为观测结果。
4.7.4 采用激光扫描测量方法可进行四等沉降观测和三等、四等位移观测。所用激光扫描仪的性能及观测要求应符合表4.7.4的规定。
表4.7.4 激光扫描仪性能及观测要求


注:1 标称精度中@前的数据是指扫描仪的标称测距中误差或点位中误差值,D是指标称精度对应的距离,S是指标称测程。 2 测回数是指照准扫描的次数。
4.7.5 当采用激光扫描测量方法进行建筑沉降和位移观测时,应符合下列规定: 1 应设置参考点。参考点数不应少于4个,分布应均匀,并位于变形区域外。参考点的坐标应采用全站仪按本规范第5.1节关于工作基点测量的要求进行测定。 2 参考点和监测点应设置标靶,并应采用与激光扫描仪配套的标靶。标靶布设应牢固可靠,宜采用遮光防水膜保护,每次测量后应及时遮盖。 3 不应利用测站之间的公共标靶通过点云拼接的方式来获得监测点的坐标。 4 对具有对中整平装置的激光扫描仪,宜在工作基点上设站扫描作业。
4.7.6 激光扫描测量的测站布设应符合下列规定: 1 应设置在视野开阔、地面稳定、车流量较小的安全区域。 2 应使观测的标靶在本规范表4.7.4规定的有效测程内。 3 测站可通视的参考点不应少于4个;当在工作基点上直接设站扫描时,可通视的参考点应不少于2个。 4 当采用平面标靶时,激光束相对标靶平面的入射角度不应大于50°。
4.7.7 激光扫描测量作业前,应将激光扫描仪放置在观测环境中进行温度平衡,并应对其进行一般检查和通电检验。检查检验后,应符合下列规定: 1 激光扫描仪外观应无破损,附件配备应齐全,电源、电缆线、数据线等的连接应紧密稳固。 2 激光扫描仪应能正常获取并存储数据,电源容量和存储容量应充足。
4.7.8 激光扫描测量作业应符合下列规定: 1 扫描作业时,应输入当前温度和气压值。 2 当在工作基点上设站扫描时,仪器应对中、整平。 3 扫描作业应按建立扫描项目、设置扫描范围、设置点间距或者采集分辨率、开始扫描、获取点云、精确扫描标靶等步骤进行操作。 4 扫描获取的数据应及时导入计算机中,并应对标靶数据的完整性、可用性进行检查。当某测站标靶数据不完整、不能识别,或者识别的坐标点明显偏离靶心时,应重测该测站。 5 扫描过程中如出现断电、死机等异常情况,或者仪器位置发生变化,应重测该测站。
4.7.9 激光扫描测量的数据处理与分析应符合下列规定: 1 应直接利用参考点将各测回监测点的坐标从仪器坐标系转换到工程坐标系。 2 坐标转换的残差应小于本规范表4.7.4规定的相应等级的点位中误差值。 3 当采用对中整平作业方式时,各测回监测点应采用一个参考点和设站点进行坐标转换,并采用另一个参考点进行检核,检核较差不应大于本规范表4.7.4规定的相应等级的标称点位中误差值。 4 应取各测回监测点的坐标算术平均值作为监测点的本期测量坐标值,计算监测点的本期变形量和累积变形量。
4.7.10 当采用激光扫描测量进行变形观测时,除应提交各类变形测量成果图表外,尚应提交下列资料: 1 激光扫描监测点、参考点及测站分布图。 2 参考点测量成果及手簿。 3 激光扫描标靶成果及处理记录。 4 坐标转换成果及处理记录。 5 激光扫描点云数据。
4.8 近景摄影测量
4.8.1 近景摄影测量方法可用于测定下列二等、三等和四等变形测量: 1 建筑场地边坡监测。 2 建筑倾斜及三维变形测量。 3 大面积且不便人工量测的众多裂缝观测。 4 日照变形测量等。
4.8.2 当采用近景摄影测量方法进行建筑变形测量作业时,应根据所需测定的变形类型、精度要求、所用仪器设备及软件、测量对象形状大小及周边环境等进行技术设计。
4.8.3 近景摄影测量摄站点的布设,应符合下列规定: 1 应根据项目要求和技术设计,选择采用单基线立体摄影测量方法或多基线摄影测量方法。 2 对矩形外表的建筑,摄站点宜布设在与其长轴线相平行的一条直线上,并使摄影主光轴垂直于被摄建筑的主立面;对圆柱形外表的建筑,摄站点可均匀布设在与建筑中轴线等距的四周。 3 摄站点可直接利用工作基点,也可单独布设。单独布设的摄站点应与基准点进行联测。
4.8.4 近景摄影测量像控点和检查点的布设、测定及监测点的标志设置,应符合下列规定: 1 像控点应布设在监测点周边,并应在摄影景深范围内均匀分布。 2 采用单基线立体摄影方式时,像对内应至少布设6个像控点;采用多基线摄影方式时,应在区域四周及中部、相邻影像连接处布设像控点,区域四周宜布设双点。 3 每个项目应设置分布较为均匀的检查点。检查点数不宜少于5个。数据处理时,检查点不应作为像控点使用。 4 像控点和检查点应设置观测标志。标志可采用十字形或同心圆形,颜色可采用与被摄建筑色调有明显反差的黑、白相间两色。 5 像控点和检查点点位测定中误差,应符合表4.8.4的规定。
表4.8.4 像控点和检查点点位测定精度要求
|
变形测量等级 |
点位中误差(mm) |
|
二等 |
≤1.0 |
|
三等 |
≤3.0 |
|
四等 |
≤6.0 |
6 对二等或三等变形测量,监测点应设置观测标志。
4.8.5 近景摄影测量影像获取和处理,应符合下列规定: 1 应采用固定焦距的数码相机,作业前后宜对其进行检定。 2 影像数据应完整地覆盖像控点、检查点和监测点。单基线立体摄影时,两摄站点上的影像之间应100%重叠;多基线摄影时,同一摄线上的影像之间应至少80%重叠,相邻摄线上的影像之间应至少60%重叠。 3 摄取的影像应清晰完整,反差应适中,并应符合量测要求。 4 影像处理可采用数字摄影测量系统或专门的近景摄影测量数据处理系统进行,处理时应能对数码相机进行自检校。 5 应利用布设的检查点对近景摄影测量成果的精度进行检验,中误差应符合本规范表4.8.4的要求。
4.8.6 近景摄影测量作业的其他技术要求,可参照现行国家标准《工程摄影测量规范》GB 50167的相关规定执行。
5 基准点布设与测量
5.1 一般规定
5.1.1 建筑变形测量的基准点应设置在变形影响范围以外且位置稳定、易于长期保存的地方,宜避开高压线。
5.1.2 基准点应埋设标石或标志,且应在埋设达到稳定后方可开始进行变形测量。稳定期应根据观测要求与地质条件确定,不宜少于7d。
5.1.3 基准点应每期检测、定期复测,并应符合下列规定: 1 基准点复测周期应视其所在位置的稳定情况确定,在建筑施工过程中宜1月~2月复测1次,施工结束后宜每季度或每半年复测1次。 2 当某期检测发现基准点有可能变动时,应立即进行复测。 3 当某期变形测量中多数监测点观测成果出现异常,或当测区受到地震、洪水、*破爆**等外界因素影响时,应立即进行复测。 4 复测后,应按本规范第5.4节的规定对基准点的稳定性进行分析。
5.1.4 基准点可分为沉降基准点和位移基准点。当需同时测定建筑的沉降和位移或三维变形时,宜设置同时满足沉降基准点和位移基准点布设要求的基准点。
5.1.5 当基准点与所测建筑距离较远致使变形测量作业不方便时,宜设置工作基点,并应符合下列规定: 1 工作基点应设在相对稳定且便于进行作业的地方,并应设置相应的标志。 2 每期变形测量作业开始时,应先将工作基点与基准点进行联测,再利用工作基点对监测点进行观测。
5.1.6 基准点测量及基准点与工作基点之间联测的精度等级,对四等变形测量,应采用三等沉降或位移观测精度;对其他等级变形测量,不应低于所选沉降或位移观测精度等级。
5.2 沉降基准点布设与测量
5.2.1 沉降观测应设置沉降基准点。特等、一等沉降观测,基准点不应少于4个;其他等级沉降观测,基准点不应少于3个。基准点之间应形成闭合环。
B05.2.2 沉降基准点的点位选择应符合下列规定: 1 基准点应避开交通干道主路、地下管线、仓库堆栈、水源地、河岸、松软填土、滑坡地段、机器振动区以及其他可能使标石、标志易遭腐蚀和破坏的地方。 2 密集建筑区内,基准点与待测建筑的距离应大于该建筑基础最大深度的2倍。 3 二等、三等和四等沉降观测,基准点可选择在满足前款距离要求的其他稳固的建筑上。 4 对地铁、高架桥等大型工程,以及大范围建设区域等长期变形测量工程,宜埋设2个~3个基岩标作为基准点。
5.2.3 沉降工作基点可根据作业需要设置,并应符合下列规定: 1 工作基点与基准点之间宜便于采用水准测量方法进行联测。 2 当采用三角高程测量方法进行联测时,相关各点周围的环境条件宜相近。 3 当采用连通管式静力水准测量方法进行沉降观测时,工作基点宜与沉降监测点设在同一高程面上,偏差不应超过10mm。当不能满足这一要求时,应在不同高程面上设置上下位置垂直对应的辅助点传递高程。
5.2.4 沉降基准点和工作基点标石、标志的选型及埋设应符合下列规定: 1 基准点的标石应埋设在基岩层或原状土层中,在冻土地区,应埋至当地冻土线0.5m以下。根据点位所在位置的地质条件,可选埋基岩水准基点标石、深埋双金属管水准基点标石、深埋钢管水准基点标石或混凝土基本水准标石。在基岩壁或稳固的建筑上,可埋设墙上水准标志。 2 工作基点的标石可根据现场条件选用浅埋钢管水准标石、混凝土普通水准标石或墙上水准标志。
5.2.5 沉降基准点观测宜采用水准测量。对三等或四等沉降观测的基准点观测,当不便采用水准测量时,可采用三角高程测量方法。
5.3 位移基准点布设与测量
5.3.1 位移观测基准点的设置应符合下列规定: 1 对水平位移观测、基坑监测或边坡监测,应设置位移基准点。基准点数对特等和一等不应少于4个,对其他等级不应少于3个。当采用视准线法和小角度法时,当不便设置基准点时,可选择稳定的方向标志作为方向基准。 2 对风振变形观测、日照变形观测或结构健康监测,应设置满足三维测量要求的基准点。基准点数不应少于2个。 3 对倾斜观测、挠度观测、收敛变形观测或裂缝观测,可不设置位移基准点。
5.3.2 根据位移观测现场作业的需要,可设置若干位移工作基点。位移工作基点应与位移基准点进行组网和联测。
5.3.3 位移基准点、工作基点的位置除应满足本规范第5.1节的要求外,尚应符合下列规定: 1 应便于埋设标石或建造观测墩。 2 应便于安置仪器设备。 3 应便于观测人员作业。 4 若采用卫星导航定位测量方法观测,应符合本规范第4.6.4条的规定。
5.3.4 位移基准点、工作基点标志的型式及埋设应符合下列规定: 1 对特等和一等位移观测的基准点及工作基点,应建造具有强制对中装置的观测墩或埋设专门观测标石。强制对中装置的对中误差不应超过0.1mm。 2 照准标志应具有明显的几何中心或轴线,并应符合图像反差大、图案对称、相位差小和本身不变形等要求。应根据点位不同情况,选择重力平衡球式标、旋入式杆状标、直插式觇牌、屋顶标和墙上标等型式的标志。
5.3.5 位移基准点的测量可采用全站仪边角测量或卫星导航定位测量等方法。当需测定三维坐标时,可采用卫星导航定位测量方法,或采用全站仪边角测量、水准测量或三角高程测量组合方法。位移工作基点的测量可采用全站仪边角测量、边角后方交会以及卫星导航定位测量等方法。
5.4 基准点稳定性分析
5.4.1 首期基准点测量及每期复测后,应进行数据处理,获得各期基准点的平面坐标和高程。对两期及以上的变形测量,应根据测量结果对基准点的稳定性进行检验分析。
5.4.2 沉降基准点稳定性检验分析应符合下列规定: 1 基准点网复测后,对所有基准点应分别按两两组合,计算本期平差后的高差数据与上期平差后高差数据之间的差值。 2 当计算的所有高差差值均不大于按下列公式计算的限差时。认为所有基准点稳定:

式中:δ——高差差值限差(mm); μ——对应精度等级的测站高差中误差(mm)(按本规范表3.2.2取值); n——两个基准点之间的观测测站数。 3 当有差值超过限差时,应通过分析判断找出不稳定的点。
5.4.3 位移基准点的稳定性检验分析应符合下列规定: 1 当水平位移观测、基坑监测、边坡监测中设置了不少于3个位移基准点时,可按照本规范第5.4.2条通过比较平差后基准点的坐标差值对基准点的稳定性进行分析判断。 2 对大范围的建筑水平位移监测或大型边坡监测等项目,当设置的基准点数多于4个,采用本条第1款方法难以分析判断找出不稳定点时,宜通过统计检验的方法进行稳定性分析,找出变动显著的基准点。 3 对风振变形观测、日照变形观测或结构健康监测,当基于不同基准点测定的监测点数据存在明显的系统性偏差时,应分析判断并排除不稳定的基准点。
5.4.4 对不稳定基准点的处理,应符合下列规定: 1 应进行现场勘察分析,若确认其不宜继续作为基准点,应予以舍弃,并应及时补充布设新基准点。 2 应检查分析与不稳定基准点有关的各期变形测量成果,并应在剔除不稳定基准点的影响后,重新进行数据处理。 3 处理结果应及时与项目委托方进行沟通,并应在变形测量技术报告中说明。
6 场地、地基及周边环境变形观测
6.1 场地沉降观测
6.1.1 建筑场地沉降观测的内容应符合下列规定: 1 应测定建筑影响范围之内的相邻地基沉降。 2 应测定建筑影响范围之外的场地地面沉降。
6.1.2 建筑场地沉降点位的选择应符合下列规定: 1 相邻地基沉降监测点可选在建筑纵横轴线或边线的延长线上,亦可选在通过建筑重心的轴线延长线上。其点位间距应视基础类型、荷载大小及地质条件,与设计人员共同确定或征求设计人员意见后确定。点位可在建筑基础深度1.5倍~2.0倍的距离范围内,由支护结构向外由密到疏布设,但距基础最远的监测点应设置在沉降量为零的沉降临界点以外。 2 场地地面沉降监测点应在相邻地基沉降监测点布设线路之外的地面上均匀布设。根据地形地质条件.可选择采用平行轴线方格网法、沿建筑四角辐射网法或散点法布设。
6.1.3 建筑场地沉降点标志的类型及埋设应符合下列规定: 1 相邻地基沉降监测点的标志可选择浅埋标或深埋标,并应符合下列规定: 1)浅埋标可采用普通水准标石或用直径0.25m的水泥管现场浇灌,埋深宜为1m~2m;当在季节冻土区埋设时,标石底部宜埋设于冻土线下0.5m;当在永久冻土区埋设时,标石底部宜埋设于最大溶解深度线下(永冻层中)1.0m; 2)深埋标可采用内管外加保护管的标石型式,埋深应与建筑基础深度相适应,标石顶部应埋入地面下0.2m~0.3m,并应砌筑带盖的窨井加以保护。 2 场地地面沉降监测点的标志与埋设,应根据观测要求确定,可采用浅埋标。
6.1.4 建筑场地沉降观测的观测方法、观测精度及其他技术要求可按本规范第7.1节沉降观测的有关规定执行。
6.1.5 建筑场地沉降观测的周期,应根据不同任务要求、产生沉降的不同情况以及沉降速率等因素具体分析确定,并应符合下列规定: 1 在基础施工期间的相邻地基沉降观测,在基坑降水时和基坑土开挖过程中应每天观测1次。混凝土底板浇完10d以后,可每2d~3d观测1次,直至地下室顶板完工和水位恢复,若水位恢复时间较短、恢复速度较快,应在水位恢复的前后一周内每2d~3d观测1次,同时应观测水位变化。此后可每周观测1次至回填土完工。 2 在上部结构施工期间的相邻地基沉降观测和场地地面沉降观测的周期可按本规范第7.1节的有关规定确定。
6.1.6 建筑场地沉降观测应提交下列成果资料: 1 监测点布置图。 2 观测成果表。 3 相邻地基沉降的距离沉降曲线。 4 场地地面等沉降曲线。
6.2 地基土分层沉降观测
6.2.1 地基土分层沉降观测应测定场地及地基内部各分层土的沉降量、沉降速率以及有效压缩层的厚度。
6.2.2 分层沉降监测点的布设应符合下列规定: 1 对建筑场地,监测点应根据场地形状及土层分布情况布设,每一土层应至少布设1个点。 2 对建筑地基,监测点应在地基中心附近2m×2m或各点间距不大于0.5m的范围内,沿铅垂线方向上的各层土内布置。点位数量与深度应根据分层土的分布情况确定,每一土层应至少布设1个点,最浅的点位应在基础底面下不小于0.5m处,最深的点位应在超过压缩层理论厚度处或设在压缩性低的砾石或岩石层上。
6.2.3 分层沉降观测可采用分层沉降计、沉降磁环或直接埋设分层沉降标志的方法。分层沉降计、沉降磁环以及分层沉降标志的埋设,在填土区可在填土时分层埋设,在原状土区可采用钻孔法埋设。
6.2.4 分层沉降观测宜采用二等沉降观测精度。分层沉降观测应采用水准测量分别测出各标顶的高程,或采用分层沉降仪分别测量各土层的压缩量,计算各土层的沉降量。
6.2.5 分层沉降观测应从基坑开挖后基础施工前开始,直至建筑竣工后沉降稳定时为止。观测周期可按本规范第7.1节建筑沉降观测的有关规定确定。首期观测应在标志埋好7d后进行。
6.2.6 地基土分层沉降观测应提交下列成果资料: 1 监测点布置图。 2 观测成果表。 3 各土层荷载-沉降-深度曲线。 4 各土层沉降量-填土高度时程曲线。
6.3 斜坡位移监测
6.3.1 对存在不良地质作用的建筑边坡,或存在对建筑的安全和稳定有影响的自然斜坡和人工边坡,应进行斜坡位移监测。
6.3.2 斜坡位移监测的内容,应根据斜坡滑移的危害程度或防治工程等级确定。作业时,可根据工程的不同阶段按表6.3.2的规定进行选择。
表6.3.2 斜坡位移监测内容


6.3.3 斜坡位移监测可采用二等或三等精度。对局部斜坡或人工高边坡,不应低于四等精度。当有特殊要求时,应另行确定监测精度。
6.3.4 斜坡位移监测的基准点应布设在场地周邻的稳定区域且不少于3点,宜采用带有强制对中装置的观测墩。
6.3.5 斜坡位移监测点的布设,应符合下列规定: 1 场地整体地面水平位移监测点,应根据地形地质条件,采用平行轴线方格网法均匀布设。其点位间距应视相关基础类型、荷载大小及地质条件,与设计人员共同确定。 2 场地滑坡监测,除在滑坡体上均匀布点外,还应符合下列规定: 1)应在滑坡周界外稳定的部位和周界内稳定的部位布设监测点,且应在滑动量较大和滑动速度较快的部位增加布点; 2)当滑坡体的主滑方向和滑动范围明确时,可根据滑坡规模选取十字形或格网形平面布点方式;当主滑方向和滑动范围不明确时,可根据现场条件,采用放射形平面布点方式; 3)对已加固的滑坡,应在其支挡锚固结构的主要受力构件上布设应力计和监测点; 4)当需测定滑坡体深部位移时,应将相关监测点钻孔位置布设在主滑轴线上。 3 人工高边坡监测点可根据边坡的高度、层(台)级和围护结构,按上、中、下成排布设,点位间距宜根据边坡设计图纸或与设计人员共同确定。
6.3.6 斜坡位移监测点位的标石标志及其埋设应符合下列规定: 1 土体上的监测点可埋设预制混凝土标石。根据观测精度要求,顶部的标志可采用具有强制对中装置的活动标志或嵌入加工成半球状的钢筋标志。标石埋深不宜小于1m,在季节冻土区标石底部宜埋设于冻土线下0.5m,在永久冻土区标石底部宜埋设于最大溶解深度线下(永冻层中)1.0m。标石顶部应露出地面0.2m~0.3m。 2 岩体上的监测点可采用砂浆现场浇筑的钢筋标志。凿孔深度不宜小于0.1m。标志埋好后,其顶部应露出岩体面0.05m。 3 必要的临时性或过渡性监测点以及观测期短、次数少的小型斜坡位移监测点,可埋设硬质大木桩,但顶部应安置照准标志,底部应埋至当地冻土线以下。 4 斜坡体深部位移观测钻孔应穿过潜在滑动面进入稳定的基岩面以下不小于1m。观测钻孔应铅直,孔径不应小于110mm。测斜管与孔壁之间应填实。
6.3.7 斜坡位移监测点的位移观测方法,可根据现场条件,按下列要求选用: 1 当建筑数量多、地形复杂时,宜采用以三方向交会为主的测角前方交会法,交会角宜在50°~110°之间,长短边不宜悬殊。也可采用测距交会法、测距导线法以及极坐标法。 2 对视野开阔的场地,当面积小时,可采用放射线观测网法,从两个测站点上按放射状布设交会角宜为30°~150°的若干条观测线,两条观测线的交点即为监测点。每次观测时,应以解析法或图解法测出监测点偏离两测线交点的位移量。当场地面积大时,可采用任意方格网法,格网布设、观测方法等与放射线观测网法基本相同,但应根据需要增加测站点与定向点。 3 对带状斜坡,当通视较好时,可采用测线支距法,在与滑动轴线的垂直方向,布设若干条测线,沿测线选定测站点、定向点与监测点。每次观测时,应按支距法测出监测点的位移量与位移方向。当斜坡体窄而长时,可采用十字交叉观测网法。 4 对抗滑墙(桩)和要求高的单独测线,可采用视准线法。 5 对可能有大滑动的斜坡,除采用测角前方交会等方法外,亦可采用近景摄影测量方法同时测定监测点的水平和垂直位移。 6 斜坡体内深部监测点的位移观测,宜采用测斜仪法。 7 当斜坡位移监测点数较多且场地条件满足卫星导航定位测量作业时,可采用单机多天线卫星导航定位测量方法观测。 8 对精度要求高、变形敏感且危害大的斜坡位移监测宜采用全站仪自动监测系统。
6.3.8 斜坡位移监测点的高程测量宜采用水准测量方法,对困难点位可采用三角高程测量方法。观测路线均应组成闭合或附合网形。
6.3.9 斜坡位移监测的频率应视斜坡的发育程度及季节变化等情况确定,并应符合下列规定: 1 在雨季,宜每半月或1月观测1次;干旱季节,可每季度观测1次。 2 当发现滑移速度增快,或遇暴雨、地震、解冻等情况时,应提高观测频率。 3 当发现有大范围的滑移可能或有其他异常时,应在确保观测作业安全的前提下,提高观测频率,并立即将观测结果报告项目委托方。
6.3.10 斜坡位移监测预报应采用现场严密监视和资料综合分析相结合的方法进行。每次观测后,应及时整理绘制出各监测点的滑移曲线。当发现有异常观测值,应在加强观测的同时,观察滑移前征兆,并应结合工程地质、水文地质、地震和气象等方面资料进行全面分析,作出斜坡滑移预报,并及时预警防范。
6.3.11 场地斜坡位移监测应提交下列成果资料: 1 监测点布置图。 2 观测成果表。 3 监测点位移综合曲线。 4 建筑场地斜坡滑移的边界、面积、滑动量、滑移方向、主滑线以及滑动速度资料等。
6.4 基坑及其支护结构变形观测
6.4.1 基坑变形观测可分为基坑支护结构变形观测和基坑回弹观测。基坑支护结构变形观测应测定围护墙或基坑边坡顶部的水平和垂直位移、围护墙或边坡外土体深层水平位移。基坑回弹观测应测定基坑开挖到底及基础浇灌施工前的回弹量。
6.4.2 基坑支护结构变形观测精度应根据支护结构类型、基坑形状、大小和深度、周边建筑及设施的重要程度、工程地质与水文地质条件和设计变形控制值等因素按本规范第3.2节的规定确定。
6.4.3 围护墙或基坑边坡顶部变形监测点的布置应符合下列规定: 1 监测点应沿基坑周边布置,周边中部、阳角处、受力变形较大处应设点。 2 监测点间距不宜大于20m,关键部位应适当加密,且每侧边不宜少于3个。 3 水平和垂直监测点宜共用同一点。
6.4.4 围护墙或土体深层水平位移监测点的布置应符合下列规定: 1 监测点宜布置在围护墙的中间部位、阳角处,点间距20m~50m,每侧边不应少于1个。 2 采用测斜仪观测水平位移,当测斜管埋设在土体中时,测斜管埋设长度不应小于围护墙的入土深度。
6.4.5 基坑支护结构变形观测的方法应根据基坑类别、现场条件、设计要求等进行选择,并应符合下列规定: 1 对一级基坑,应采用自动化监测方式。 2 应采用视准线、测小角、前方交会、极坐标、方向线偏移法、卫星导航定位测量或测斜仪等方法进行水平位移观测。 3 应采用水准测量、三角高程测量或静力水准测量方法进行垂直位移观测。 4 宜采用应变计、应力计、土压力计、孔隙水压力计、水位计等传感器对支护结构内力、土体压力、孔隙水压力、水位等进行观测。 5 具体观测要求应符合现行国家标准《建筑基坑工程监测技术规范》GB 50497和本规范第4章的相应规定。
6.4.6 当采用测斜仪测定基坑深层水平位移时,应符合下列规定: 1 测斜仪的分辨率不宜低于0.02mm/500mm,系统精度不应低于4mm/15m。 2 应根据基坑施工设计方案安排测斜管的安装,并在基坑开挖前完成初始值的测取。埋设可采用钻孔法,在地下连续墙、钻孔灌注桩、排桩等围护结构中宜采用捆扎法、钢抱箍法。 3 每期观测应测1测回。 4 每个测斜导管的初测值,应测2测回,并取其算术平均值作为初始观测成果。
6.4.7 基坑支护结构位移观测的周期应根据施工进度确定,并应符合下列规定: 1 基坑变形观测应从基坑围护结构施工开始,基坑开挖期间宜根据基坑开挖深度和基坑安全等级每1d~2d观测1次,位移速率或位移量大时应每天1次~2次。基坑开挖间隙或开挖及桩基施工结束后,且变形趋于稳定时,可7d观测1次。 2 当基坑的位移速率或位移量迅速增大、达到报警值或出现其他异常时,应在确保观测作业安全的前提下,提高观测频率,并立即报告项目委托方。
6.4.8 基坑回弹观测应测定基坑纵横断面的回弹量。其监测点的布设,应根据基坑形状、大小、深度及地质条件确定,并应符合下列规定: 1 对矩形基坑,应在基坑中央及长短轴线上布点,同一剖面上监测点横向间距宜为10m~30m,数量不应少于3个。可利用基坑回弹变形的近似对称特性,仅在一半的范围内布点。对其他形状不规则的基坑,可与设计人员商定后确定。 2 对基坑外的监测点,应埋设常用的普通水准点标石。监测点应在所选坑内方向线的延长线上距基坑深度1.5倍~2.0倍距离内布置。当所选点位遇到地下管线或其他物体时,可将监测点移至与之对应方向线的空位置上。 3 应在基坑外相对稳定且不受施工影响的地点选设工作基点。 4 应测定并记录监测点的平面位置。
6.4.9 基坑回弹观测标志应埋入基坑底面以下0.2m~0.3m。根据开挖深度和地层土质情况,可采用钻孔法或探井法埋设辅助杆压入式、钻杆送入式或直埋式标志。也可采用带导向引线的挂钩式回弹标志,结合测斜仪和测定坐标的方法进行回弹观测。
6.4.10 基坑回弹观测应符合下列规定: 1 宜采用二等或三等沉降观测精度。 2 观测路线应组成起讫于沉降基准点或工作基点的闭合或附合路线。 3 回弹观测不应少于3次,其中第一次应在基坑开挖之前,第二次应在基坑挖好之后,第三次应在浇灌基础混凝土之前。当基坑开挖施工完成至基础施工的间隔时间较长时,应适当提高观测频率。 4 基坑开挖前的回弹观测,宜采用数字水准仪配以铅垂钢尺读数的钢尺法。较浅基坑的观测,可采用数字水准仪配辅助杆垫高水准尺读数的辅助杆法。观测结束后,应在观测孔底充填厚度约为1m的白灰。 5 基坑开挖后的回弹观测,应利用传递到坑底的临时工作点,按所需观测精度,用水准测量及时测出每一监测点的高程。当全部点挖出后,再统一观测一次。
6.4.11 基坑及其支护结构变形观测应提交下列成果资料: 1 基坑支护结构变形观测应包括下列内容: 1)监测点布置图; 2)观测成果表; 3)基坑支护结构变形曲线。 2 基坑回弹观测应包括下列内容: 1)监测点布置图; 2)观测成果表; 3)回弹纵、横断面图。
6.5 周边环境变形观测
6.5.1 当某建筑的施工或运营对其周边的其他建筑、道路、管线、地面等造成影响,导致周边环境可能发生变化时,应对周边环境进行变形观测。
6.5.2 周边环境的变形测量,应根据具体变形对象和变形类型,分别采用本规范第6章和第7章的相应方法进行。
6.5.3 周边环境的监测应根据需要延续至变形趋于稳定状态后结束。
7 基础及上部结构变形观测
7.1 沉降观测
7.1.1 沉降观测应测定建筑的沉降量、沉降差及沉降速率,并应根据需要计算基础倾斜、局部倾斜、相对弯曲及构件倾斜。
7.1.2 沉降监测点的布设应符合下列规定: 1 应能反映建筑及地基变形特征,并应顾及建筑结构和地质结构特点。当建筑结构或地质结构复杂时,应加密布点。 2 对民用建筑,沉降监测点宜布设在下列位置: 1)建筑的四角、核心筒四角、大转角处及沿外墙每10m~20m处或每隔2根~3根柱基上; 2)高低层建筑、新旧建筑和纵横墙等交接处的两侧; 3)建筑裂缝、后浇带两侧、沉降缝两侧、基础埋深相差悬殊处、人工地基与天然地基接壤处、不同结构的分界处及填挖方分界处以及地质条件变化处两侧; 4)对宽度大于或等于15m、宽度虽小于15m但地质复杂以及膨胀土、湿陷性土地区的建筑,应在承重内隔墙中部设内墙点,并在室内地面中心及四周设地面点; 5)邻近堆置重物处、受振动显著影响的部位及基础下的暗浜处; 6)框架结构及钢结构建筑的每个或部分柱基上或沿纵横轴线上; 7)筏形基础、箱形基础底板或接近基础的结构部分之四角处及其中部位置; 8)重型设备基础和动力设备基础的四角、基础形式或埋深改变处; 9)超高层建筑或大型网架结构的每个大型结构柱监测点数不宜少于2个,且应设置在对称位置。 3 对电视塔、烟囱、水塔、油罐、炼油塔、高炉等大型或高耸建筑,监测点应设在沿周边与基础轴线相交的对称位置上,点数不应少于4个。 4 对城市基础设施,监测点的布设应符合结构设计及结构监测的要求。
7.1.3 沉降监测点的标志可根据待测建筑的结构类型和墙体材料等情况进行选择,并应符合下列规定: 1 标志的立尺部位应加工成半球形或有明显的突出点,并宜涂上防腐剂。 2 标志的埋设位置应避开雨水管、窗台线、散热器、暖水管、电气开关等有碍设标与观测的障碍物,并应视立尺需要离开墙面、柱面或地面一定距离,宜与设计部门沟通。 3 标志应美观,易于保护。 4 当采用静力水准测量进行沉降观测时,标志的型式及其埋设,应根据所用静力水准仪的型号、结构、安装方式以及现场条件等确定。
7.1.4 沉降观测应根据现场作业条件,采用水准测量、静力水准测量或三角高程测量等方法进行。沉降观测的精度等级应符合本规范第3.2节的规定。对建筑基础和上部结构,沉降观测精度不应低于三等。
7.1.5 沉降观测的周期和观测时间应符合下列规定: 1 建筑施工阶段的观测应符合下列规定: 1)宜在基础完工后或地下室砌完后开始观测; 2)观测次数与间隔时间应视地基与荷载增加情况确定。民用高层建筑宜每加高2层~3层观测1次,工业建筑宜按回填基坑、安装柱子和屋架、砌筑墙体、设备安装等不同施工阶段分别进行观测。若建筑施工均匀增高,应至少在增加荷载的25%、50%、75%和100%时各测1次; 3)施工过程中若暂时停工,在停工时及重新开工时应各观测1次,停工期间可每隔2月~3月观测1次。 2 建筑运营阶段的观测次数,应视地基土类型和沉降速率大小确定。除有特殊要求外,可在第一年观测3次~4次,第二年观测2次~3次,第三年后每年观测1次,至沉降达到稳定状态或满足观测要求为止。 3 观测过程中,若发现大规模沉降、严重不均匀沉降或严重裂缝等,或出现基础附近地面荷载突然增减、基础四周大量积水、长时间连续降雨等情况,应提高观测频率,并应实施安全预案。 4 建筑沉降达到稳定状态可由沉降量与时间关系曲线判定。当最后100d的最大沉降速率小于0.01mm/d~0.04mm/d时,可认为已达到稳定状态。对具体沉降观测项目,最大沉降速率的取值宜结合当地地基土的压缩性能来确定。
7.1.6 每期观测后,应计算各监测点的沉降量、累计沉降量、沉降速率及所有监测点的平均沉降量。根据需要,可按下式计算基础或构件的倾斜度α:

式中:sA、sB——基础或构件倾斜方向上A、B两点的沉降量(mm); L——A、B两点间的距离(mm)。
7.1.7 沉降观测应提交下列成果资料: 1 监测点布置图。 2 观测成果表。 3 时间-荷载-沉降量曲线。 4 等沉降曲线。
7.2 水平位移观测
7.2.1 建筑水平位移按坐标系统可分为横向水平位移、纵向水平位移及特定方向的水平位移。横向水平位移和纵向水平位移可通过监测点的坐标测量获得。特定方向的水平位移可直接测定。
7.2.2 水平位移的基准点应选择在建筑变形以外的区域。水平位移监测点应选在建筑的墙角、柱基及一些重要位置,标志可采用墙上标志,具体型式及其埋设应根据现场条件和观测要求确定。
7.2.3 水平位移观测应根据现场作业条件,采用全站仪测量、卫星导航定位测量、激光测量或近景摄影测量等方法进行。水平位移观测的精度等级应符合本规范第3.2节的规定。
7.2.4 水平位移观测的周期,应符合下列规定: 1 施工期间,可在建筑每加高2层~3层观测1次;主体结构封顶后,可每1月~2月观测1次。 2 使用期间,可在第一年观测3次~4次,第二年观测2次~3次,第三年后每年观测1次,直至稳定为止。 3 若在观测期间发现异常或特殊情况,应提高观测频率。
7.2.5 水平位移观测应提交下列成果资料: 1 监测点布置图。 2 观测成果表。 3 水平位移图。
7.3 倾斜观测
7.3.1 建筑施工过程中及竣工验收前,宜对建筑上部结构或墙面、柱等进行倾斜观测。建筑运营阶段,当发生倾斜时,应及时进行倾斜观测。
7.3.2 倾斜监测点的布设及标志设置应符合下列规定: 1 当测定顶部相对于底部的整体倾斜时,应沿同一竖直线分别布设顶部监测点和底部对应点。 2 当测定局部倾斜时,应沿同一竖直线分别布设所测范围的上部监测点和下部监测点。 3 建筑顶部的监测点标志,宜采用固定的觇牌和棱镜,墙体上的监测点标志可采用埋入式照准标志或粘贴反射片标志。 4 对不便埋设标志的塔形、圆形建筑以及竖直构件,可粘贴反射片标志,也可照准视线所切同高边缘确定的位置或利用符合位置与照准要求的建筑特征部位。
7.3.3 倾斜观测的周期,宜根据倾斜速率每1月~3个月观测1次。当出现基础附近因大量堆载或卸载、场地降雨长期积水等导致倾斜速度加快时,应提高观测频率。施工期间倾斜观测的周期和频率,宜与沉降观测同步。
7.3.4 倾斜观测作业应避开风荷载影响大的时间段。对于高层和超高层建筑的倾斜观测,也应避开强日照时间段。
7.3.5 当从建筑外部进行倾斜观测时,应符合下列规定: 1 宜采用全站仪投点法、水平角观测法或前方交会法进行观测。当采用投点法时,测站点宜选在与倾斜方向成正交的方向线上距照准目标1.5倍~2.0倍目标高度的固定位置,测站点的数量不宜少于2个;当采用水平角观测法时,应设置好定向点。当观测精度为二等及以上时,测站点和定向点应采用带有强制对中装置的观测墩。 2 当建筑上监测点数量较多时,可采用激光扫描测量或近景摄影测量等方法进行观测。
7.3.6 当利用建筑或构件的顶部与底部之间的竖向通视条件进行倾斜观测时,可采用激光垂准测量或正、倒垂线等方法。
7.3.7 当利用相对沉降量间接确定建筑倾斜时,可采用水准测量或静力水准测量等方法通过测定差异沉降来计算倾斜值及倾斜方向,有关要求应符合本规范第7.1节的规定。
7.3.8 当需要测定建筑垂直度时,可采用与倾斜观测相同的方法进行。
7.3.9 倾斜观测应提交下列成果资料: 1 监测点布置图。 2 观测成果表。 3 倾斜曲线。
7.4 裂缝观测
7.4.1 对建筑上明显的裂缝,应进行裂缝观测。裂缝观测应测定裂缝的位置分布和裂缝的走向、长度、宽度、深度及其变化情况。深度观测宜选在裂缝最宽的位置。
7.4.2 对需要观测的裂缝应统一编号。每次观测时,应绘出裂缝的位置、形态和尺寸,注明观测日期,并拍摄裂缝照片。
7.4.3 每条裂缝应至少布设3组观测标志,其中一组应在裂缝的最宽处,另两组应分别在裂缝的末端。每组应使用两个对应的标志,分别设在裂缝的两侧。
7.4.4 裂缝观测标志应便于量测。长期观测时,可采用镶嵌或埋入墙面的金属标志、金属杆标志或楔形板标志;短期观测时,可采用油漆平行线标志或用建筑胶粘贴的金属片标志。当需要测出裂缝纵、横向变化值时,可采用坐标方格网板标志。采用专用仪器设备观测的标志,可按具体要求另行设计。
7.4.5 裂缝的宽度量测精度不应低于1.0mm,长度量测精度不应低于10.0mm,深度量测精度不应低于3.0mm。
7.4.6 裂缝观测方法应符合下列规定: 1 对数量少、量测方便的裂缝,可分别采用比例尺、小钢尺或游标卡尺等工具定期量出标志间距离求得裂缝变化值,或用方格网板定期读取坐标差计算裂缝变化值。 2 对大面积且不便于人工量测的众多裂缝,宜采用前方交会或单片摄影方法观测。 3 当需要连续监测裂缝变化时,可采用测缝计或传感器自动测记方法观测。 4 对裂缝深度量测,当裂缝深度较小时,宜采用凿出法和单面接触超声波法监测;当深度较大时,宜采用超声波法监测。
7.4.7 裂缝观测的周期应根据裂缝变化速率确定。开始时可半月测1次,以后1月测1次。当发现裂缝加大时,应提高观测频率。
7.4.8 裂缝观测应提交下列成果资料: 1 裂缝位置分布图。 2 观测成果表。 3 裂缝变化曲线。
7.5 挠度观测
7.5.1 当建筑基础、桥梁、大跨度构件、建筑上部结构、墙、柱等发生挠度变形或有要求时,应进行挠度观测。
7.5.2 挠度观测的周期应根据荷载情况并结合设计和施工要求确定。观测的精度等级可采用二等或三等。
7.5.3 竖向的挠度观测应符合下列规定: 1 建筑基础挠度观测可与沉降观测同时进行。监测点应沿基础的轴线或边线布设,每一轴线或边线上不得少于3点。 2 桥梁、大跨度构件等线形建筑的挠度观测,监测点应沿其表面左右两侧布设。 3 监测点的标志设置和观测方法应符合本规范第7.1节的规定。 4 竖向的挠度值f1(图7.5.3)应按下列公式计算:

式中:sA、sB、sE——A、B、E点的沉降量(mm),其中E点位于A、B两点之间; LAE、LEB——A、E之间及E、B之间的距离(m)。

图7.5.3 竖向的挠度
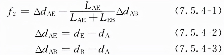
7.5.4 横向的挠度观测应符合下列规定: 1 对建筑上部结构挠度观测,监测点应按建筑结构类型沿同一竖直方向在不同高度上布设,点的标志设置和观测方法可按本规范第7.3节的规定执行。 2 对墙、柱等挠度观测,可采用本条第1款相同的方法;当具备作业条件时,亦可采用挠度计、位移传感器等直接测定其挠度值。 3 横向的挠度值f2(图7.5.4)应按下列公式计算:

式中:dA、dB、dE——A、B、E点的位移分量(mm),其中E点位于A、B两点之间; LAE、LEB——A、E之间及E、B之间的距离(m)。

图7.5.4 横向的挠度
7.5.5 挠度观测应提交下列成果资料: 1 监测点布置图。 2 观测成果表。 3 挠度曲线。
7.6 收敛变形观测
7.6.1 对矿山法施工的隧道围岩和衬砌结构、盾构法施工的隧道拼装环管片、其他地下坑道或结构等,应进行收敛变形观测。
7.6.2 收敛变形观测采用的方法应符合下列规定: 1 当需要测量特定位置的净空对向相对变形时,应采用固定测线法。 2 当需要测量净空断面的综合变形时,可采用全断面扫描法。 3 当需要测量连续范围的净空收敛变形时,可采用激光扫描法。
7.6.3 收敛变形观测应以测线长度测量中误差作为精度衡量指标。对一等和二等精度观测,应采用固定测线法;对三等和四等精度观测,可采用固定测线法、全断面扫描法或激光扫描法。
7.6.4 当采用收敛尺进行固定测线的收敛变形观测时,应符合下列规定: 1 固定测线两端的监测点应安装牢固,监测点的测头应与收敛尺的挂钩匹配。安装后应进行监测点与收敛尺接触点的符合性检查,符合性检查应独立观测3次,观测较差不应大于测线长度中误差的2倍。 2 各等级固定测线的长度宜符合表7.6.4的规定。
表7.6.4 固定测线收敛变形观测的最大测线长度
|
等级 |
一等 |
二等 |
三等、四等 |
|
最大测线长度(m) |
≤20 |
≤30 |
≤50 |
3 收敛尺观测时应施加标定时的拉力,收敛尺尺面应平直,不得扭曲。每条固定测线应独立观测3次,较差不应大于测线长度中误差的2倍,取算术平均值作为观测值。 4 收敛变形观测成果应进行尺长改正和温度改正。一等和二等观测的温度测量最小读数为0.2℃,三等和四等观测时温度测量最小读数为1℃,并应按下式进行温度改正:

式中:δL——温度变化改正数(mm); k——收敛尺的温度线膨胀系数; L——固定测线的长度读数(m); δT——温度变化量(℃)。
7.6.5 当采用全站仪对边测量法进行固定测线的收敛变形观测时,应符合下列规定: 1 固定测线两端宜布设棱镜或反射片等观测标志。二等及以下固定测线采用免棱镜观测时,可布设简易定位标志。 2 一等观测的全站仪标称精度不应低于1″和(1mm+1ppm);二等及以下观测,当采用基于无合作目标激光测距功能的全站仪观测时,标称精度不应低于2″和(2mm+2ppm)。观测前应测定无合作目标测距加常数,并应对观测边长进行加常数改正。 3 对边测量时,应依次照准固定测线的两个端点,通过分别测定其三维坐标,计算固定测线的长度。观测技术要求应符合表7.6.5的规定。
表7.6.5 全站仪固定测线的收敛变形观测技术要求
|
等级 |
测回数 |
较差及测回差(m) |
|
一等 |
2 |
1 |
|
二等及以下 |
1 |
2 |
7.6.6 当采用手持测距仪进行二等及以下固定测线收敛变形观测时,应符合下列规定: 1 固定测线两端应分别设置对中点、瞄准点。 2 手持测距仪的标称精度不应低于1.5mm,尾部应有对中装置。 3 观测前应检测测距仪加常数。对收敛变形观测成果,应进行加常数改正。 4 观测时,测距仪应分别对中、瞄准固定测线的两个端点。每条测线应独立观测3测回,测回间应重新对中、瞄准,当测回间互差不大于2mm时,应取算术平均值作为观测成果。
7.6.7 当采用全站仪断面扫描法进行二等及以下收敛变形观测时,应符合下列规定: 1 应在同一竖向剖面内设置仪器对中点、定向点和检核点,收敛断面应垂直于结构中线。 2 采用具有免棱镜激光测距功能、自动驱动型全站仪,全站仪标称精度不应低于2″和(2mm+2ppm)。 3 断面上的测点宜按0.2m~0.3m步长等密度采集,采集点应包含起点、终点、拼装缝等特征点,断面上每段线形(直线或圆弧)的监测点不应少于5点。宜采用全站仪的机载数据采集软件进行自动采集。 4 应结合结构表面特点建立数据处理模型。数据处理前应删除异常点,数据处理后应输出包括特征点的径向长度在内的断面变形数据,进行不同期数据的比较。 5 成果应以表格和展开图的形式表达。
7.6.8 当采用激光扫描法进行收敛变形观测时,作业要求应符合本规范第4.7节的相应规定。
7.6.9 收敛变形观测应提交下列成果资料: 1 固定测线或收敛断面布置图。 2 观测成果表。 3 收敛变形观测成果图。
7.7 日照变形观测
7.7.1 对超高层建筑或高耸结构进行日照变形观测,应测定建筑或结构上部受阳光照射受热不均引起的偏移量及变化轨迹。
7.7.2 当从建筑内部进行日照变形观测时,应符合下列规定: 1 建筑内部应具备竖向通视条件。 2 当采用激光垂准仪进行观测时,应在通道顶部或适当位置安置激光接收靶,并应在其垂线下方安置激光垂准仪。 3 当采用正垂仪进行观测时,应在通道顶部或适当位置安置正垂仪,并应在其垂线下方安置坐标仪。
7.7.3 当从建筑或结构外部进行日照变形观测时,应符合下列规定: 1 监测点应设在建筑或结构的顶部或其他适当位置。 2 当采用全站仪自动监测系统进行观测时,监测点上应安置棱镜或激光反射片。作业要求应符合本规范第4.5节的规定。 3 当采用卫星导航定位测量动态测量模式进行观测时,监测点上应安置卫星导航定位接收机天线。作业要求应符合本规范第4.6节的规定。
7.7.4 日照变形观测宜选在夏季日照充分、昼夜温差较大时进行。宜进行不少于24h的连续观测,观测频率宜为1次/h~2次/h。每次观测时,应测定建筑向阳面与背阳面的温度,并应测定风速和风向。
7.7.5 日照变形观测的精度,可根据观测对象、观测目的和所用方法,选择本规范第3.2.2条规定的二等、三等或四等精度。
7.7.6 日照变形观测应提交下列成果资料: 1 监测点布置图。 2 观测成果表。 3 日照变形曲线。
7.8 风振观测
7.8.1 对超高层建筑或高耸结构进行风振观测,应在受强风作用的时间段内,同步测定其顶部的水平位移、风速、风向。测定的时间段长度可根据观测目的和要求确定,不宜少于1h。
7.8.2 风振观测中的水平位移观测应符合下列规定: 1 宜采用卫星导航定位测量动态测量模式测定,观测频率宜为1Hz。 2 监测点应设置在待测建筑或结构的顶部,并应能安置卫星导航定位接收机天线。 3 观测作业要求应符合本规范第4.6节的规定。 4 应利用获得的监测点平面坐标时间序列计算其水平位移分量时间序列,计算时可选择最初观测时点的平面坐标作为位移计算起始值。
7.8.3 风速和风向应采用风速计或风速传感器测定,观测频率宜为1次/min。
7.8.4 风振观测应提交下列成果资料: 1 监测点布置图。 2 观测成果表。 3 两个坐标方向上的位移-时间曲线。 4 风速-时间曲线及风向变化图等。
7.9 结构健康监测
7.9.1 结构健康监测应采用自动化健康监测系统采集结构及现场环境信息,并应通过分析结构的各种特征对结构健康状况进行评价。对重要结构,宜同时采用常规监测手段。
7.9.2 结构健康监测应根据建筑结构的特点及监测要求、现场条件等选择监测内容及传感器,并应符合下列规定: 1 监测内容宜符合表7.9.2的规定。
表7.9.2 结构健康监测内容

2 对几何形变类的监测,宜选择全站仪测量、静力水准测量、卫星导航定位测量、激光测量、近景摄影测量等方法进行,观测技术要求应符合本规范第4章的相应规定。 3 对结构反应类、环境参数类、外部荷载类和材料特性类的监测,采用传感器的性能参数及技术要求等应符合现行国家有关标准的规定。
7.9.3 传感器应布置在能充分反映结构及环境特性的位置上。具体位置应符合下列规定: 1 应布置在结构受力最不利处或已损伤处。 2 应利用结构对称性原则,优化传感器数量。 3 对重点部位应增加传感器。 4 应能缩短信号传输距离。 5 应便于安装和更换传感器。
7.9.4 结构健康监测的频率应以能反映被监测的结构行为和结构状态,并满足分析评价要求为准则来确定。当需要对各监测点数据做相关分析时,应同步采集其数据。
7.9.5 对传感器采集的数据应进行降噪处理,剔除由监测系统自身引起的异常数据。对沉降、水平位移、倾斜、挠度监测,其数据处理尚应符合本规范第8.2节的规定。
7.9.6 应按本规范和现行国家有关标准的规定,整理各类监测数据,绘制各监测参数的变化状态曲线,分析趋势,并对结构的应力、变形等参数的相关性进行分析。对于风险较大的结构,宜建立有限元模型,根据实测参数反算结构其他参数的符合性,评估结构的安全状况。应根据安全评估结果,进行相应的安全预警。
7.9.7 结构健康监测应提交下列成果资料: 1 监测数据。 2 监测技术方案与报告。 3 自动化监测系统及技术资料。
8 成果整理与分析
8.1 一般规定
8.1.1 每次变形观测结束后,应及时进行成果整理。项目完成后,应对成果资料进行整理并分类装订。成果整理应符合下列规定: 1 观测记录内容应真实完整,采用电子方式记录的数据,应完整存储在可靠的介质上。 2 数据处理、成果图表及检验分析资料应完整、清晰。 3 图式符号应规格统一、注记清楚。 4 沉降观测、位移观测成果表宜符合本规范附录A的规定。 5 观测记录、计算资料和技术成果均应有相关责任人签字,技术成果应加盖技术成果章。 6 观测记录、计算资料和技术成果应进行归档。
8.1.2 根据项目委托方的要求,可按期或按变形发展情况提交下列变形测量阶段性成果: 1 本期及前1期~2期的观测成果。 2 与前一期观测间的变形量和变形速率。 3 本期观测后的累计变形量。 4 相关图表及简要说明和建议等。
8.1.3 当建筑变形测量任务全部完成或项目委托方需要时,应提交各期观测成果和技术报告作为综合成果。
8.1.4 建筑变形测量技术报告结构应清晰,重点应突出,结论应明确,并应包括下列主要内容: 1 项目概况。应包括项目来源,观测目的和要求,测区地理位置及周边环境,项目起止时间,总观测次数,实际布设和测定的基准点、工作基点、监测点点数,项目承担方及主要人员等。 2 作业过程及技术方法。应包括变形测量依据的技术标准,采用的平面坐标系或高程基准,项目技术设计或施测方案的技术变更情况,所用仪器设备及其检校情况,基准点及监测点的标志及其布设情况,变形测量精度等级,观测及数据处理方法,各期观测时间,观测成果及精度统计情况等。 3 成果质量检验情况。 4 变形测量过程中出现的异常、预警及其他特殊情况。 5 变形分析方法、结论及建议。 6 项目成果清单。 7 图、表等附件。
8.1.5 建筑变形测量的观测记录、计算资料及成果的管理和分析宜采用变形测量数据处理与信息管理系统进行。该系统宜具备下列功能: 1 应能接收各期变形测量的观测数据,并对数据格式进行转换。 2 应能进行各期观测数据的检核和处理。 3 应能进行基准点、工作基点及监测点标识信息管理。 4 应能进行基准点网的平差计算和稳定性分析。 5 应能对观测数据、计算数据、成果数据建立相应的数据库。 6 应能对监测点进行变形分析。 7 应能生成变形测量成果图表。 8 宜能进行变形测量数据建模和预报。 9 宜能进行变形的三维可视化表达。 10 应具有用户管理和安全管理功能。
8.2 数据整理
8.2.1 每期变形观测结束后,应依据测量误差理论和统计检验原理对获得的观测数据及时进行平差计算处理,并计算各种变形量。
8.2.2 建筑变形观测数据的平差计算,应符合下列规定: 1 应利用稳定的基准点作为起算点。 2 应采用严密的平差方法和可靠的软件系统。 3 应确保平差计算所用观测数据、起算数据准确无误。 4 应剔除含有粗差的观测数据。 5 对特等和一等变形测量,应对可能含有系统误差的观测值进行系统误差改正。
8.2.3 对各类建筑变形监测点网和变形测量成果,平差计算的单位权中误差及变形参数的精度应符合本规范第3章相应等级变形测量的精度要求。
8.2.4 建筑变形测量平差计算分析中的数据取位应符合表8.2.4的规定。
表8.2.4 变形测量平差计算分析中的数据取位要求

8.3 监测点变形分析
8.3.1 对二等和三等及部分一等变形测量,相邻两期监测点的变形分析可通过比较监测点相邻两期的变形量与测量极限误差来进行。当变形量小于测量极限误差时,可认为该监测点在这两期之间没有变形或变形不显著。
8.3.2 对特等及有特殊要求的一等变形测量,当监测点两期间的变形量符合公式(8.3.2)时,可认为该监测点在这两期之间没有变形或变形不显著:

式中:△——两期间的变形量; μ——单位权中误差,可取两期平差单位权中误差的算术平均值; Q——监测点变形量的协因数。
8.3.3 对多期变形观测成果,应综合分析多期的累积变形特征。当监测点相邻两期间变形量小、但多期间变形量呈现出明显变化趋势时,应认为其有变形。
8.4 建模和预报
8.4.1 对于多期建筑变形观测成果,根据需要,应建立反映变形量与变形因子关系的数学模型,对引起变形的原因作出分析和解释,必要时还应对变形的发展趋势进行预报。
8.4.2 建筑变形测量的建模应符合下列规定: 1 当一个目标体上所有监测点或部分监测点的变形状况总体一致时,可利用这些监测点的平均变形量建立相应的数学模型。 2 当各监测点变形状况差异大或某些监测点变形状况特殊时,应对各监测点或特殊的监测点分别建立数学模型。 3 对特等和有特殊要求的一等变形观测成果,可利用地理信息系统技术对整体变形进行空间分析和可视化表达。
8.4.3 建立变形量与变形因子关系数学模型可采用回归分析方法,并应符合下列规定: 1 应以不少于10期的观测数据为依据,通过分析各期所测的变形量与相应荷载、时间之间的相关性,建立荷载或时间-变形量数学模型。 2 变形量与变形因子之间的回归模型应简单,包含的变形因子数不宜超过2个。回归模型可采用线性回归模型和指数回归模型、多项式回归模型等非线性回归模型。 3 当只有1个变形因子时,可采用一元回归分析方法。 4 当考虑多个变形因子时,宜采用逐步回归分析方法,确定影响显著的因子。
8.4.4 对沉降观测,当观测周期为等时间间隔时,可采用灰色建模方法,建立沉降量与时间之间的灰色模型;对风振、日照等变形观测,可采用时间序列分析方法对获得的时间序列数据进行建模并进行分析。
8.4.5 建立变形量与变形因子关系模型后,应对模型的有效性进行检验分析。用于后续分析预报的数学模型应是有效的。
8.4.6 当利用变形量与变形因子关系模型进行变形趋势预报时,应给出预报结果的误差范围及适用条件。
9 质量检验
9.1 一般规定
9.1.1 对建筑变形测量成果的质量宜实行两级检查一级验收,并应符合下列规定: 1 两级检查中的一级检查和二级检查应分别由项目承担方的作业部门、质量管理部门实施。 2 验收宜由项目委托方组织实施。
9.1.2 变形测量成果质量检验应依据下列文件进行: 1 项目委托书或合同书,以及项目委托方与承担方达成的其他文件。 2 技术设计或施测方案。 3 依据的技术标准。 4 项目承担方的质量管理文件。
9.1.3 对变形测量成果,应根据质量检验结果评定质量等级。质量等级应分为合格和不合格两级。当成果出现下列问题之一时,应判定为质量不合格: 1 基准点的数量及标志不符合规范要求。 2 所用仪器设备不满足规范规定的精度要求,或未经检定,或未在检定有效期内使用。 3 观测成果精度不符合规范要求。 4 数据不真实。 5 成果内容不符合本规范第8.1.2条或第8.1.3条的要求。
9.1.4 变形测量成果质量检验应符合下列规定: 1 对所有变形观测记录、计算和分析结果,应进行一级检查。 2 对提交给委托方的变形测量阶段性成果,应进行二级检查。 3 对变形测量综合成果,应进行二级检查,并宜进行验收。 4 质量检验中,当需要利用仪器设备时,其精度等级不应低于该项目作业时所用仪器设备的精度等级。 5 质量检验过程应形成记录,并进行归档。
9.2 质量检查
9.2.1 变形测量成果质量的两级检查均应采用内业全数检查、外业针对性检查的方式进行。检查过程应填写记录,记录样式宜符合本规范附录B的规定。
9.2.2 对首期变形测量成果,应检查下列主要内容: 1 基准点、监测点的布设位置图。 2 标石、标志的构造及埋设照片。 3 仪器设备的检定和检验资料。 4 外业观测记录和内业计算资料。 5 变形测量成果图表。 6 与项目有关的其他资料。
9.2.3 对其他各期变形测量成果,应检查下列主要内容: 1 仪器设备的检定和检验资料。 2 外业观测记录和内业计算资料。 3 基准点检测分析资料。 4 变形测量成果图表。 5 与项目有关的其他资料。
9.2.4 对变形测量综合成果,应在质量检查后编写质量检查报告。质量检查报告应包括检查工作概况、项目成果概况、检查依据、检查内容及方法、主要质量问题及处理情况、质量统计及质量等级等内容。
9.2.5 当质量检查中发现不符合项时,应立即提出处理意见,返回作业部门进行纠正。纠正后的成果应重新进行质量检查,直至符合要求。
9.3 质量验收
9.3.1 当变形测量成果需要进行质量验收时,可采用抽样核查方式,并应符合下列规定: 1 应对各类变形观测成果分别进行质量验收。 2 首期观测成果应为必查样本。 3 对其他各期成果,应随机抽取不少于期数的10%作为样本,且至少为1期。 4 对抽取的样本,应进行内业全数核查、外业针对性核查。
9.3.2 变形测量成果质量验收时应核查下列主要内容: 1 技术设计或施测方案。 2 技术报告。 3 质量检查记录或报告。 4 与项目有关的其他资料。
9.3.3 变形测量成果质量验收宜形成质量验收报告并评定质量等级。质量验收报告应包括验收工作概况、项目成果概况、验收依据、抽样情况、核查内容及方法、主要质量问题及处理情况、质量统计及质量等级等内容。
附录A 变形观测成果表
A.0.1 建筑沉降观测成果表宜符合表A.0.1的规定。
表A.0.1 建筑沉降观测成果表样式

A.0.2 建筑位移观测成果表寅符合表A.0.2的规定。
表A.0.2 建筑位移观测成果表样式

附录B 质量检查记录表
B.0.1 建筑变形测量成果质量检查记录表宜符合表B.0.1的规定。
表B.0.1 建筑变形测量成果质量检查记录表

