引言
根据电子打印设备的实际功能需要,例如需要在不同的区域形成不同性质的材料,或者需要堆积材料,以及针对不同尺寸、形状的不同口径的扩展选择工具,需要在一个站点进行多种材质和口径的涂装作业。为此设计了多头涂装装置,它可以通过工位转动自动切换喷涂工具。
一般来说,工业机器人主要是开链结构的串联机器人,其主要环节组件按关节级数依次相连,级数前关节的运动影响其级数后关节的运动。因此,机器人运动轨迹的执行精度依赖于对各关节运动的精确计算。本文主要对多头喷涂设备及其控制器的设计,机器人曲面喷涂实验平台的搭建和机器人运动学开展分析和研究。
一、曲面喷涂系统的需求分析与选型
1、需求分析
本文以曲面基阵列触觉传感器的喷墨制作为研究对象。阵列型触觉传感器通常由多个功能部分构成,分别占据不同的膜层和区域。对于不同的感应原理,一般有以下几个基本组成单元:基底层、曲线图电极、间隔层、引线等,如图1所示。

图1 阵列式触觉传感器示意图
目前,用于成膜电子器件的功能材料有适用于基底和隔离层的PDMS、PVP等,适用于引线和电极层的纳米银溶胶、石墨烯纳米溶胶、PEDOT:PSS, PVDF等多样化,各溶媒和稀释情况,粘度有很大的不同。虽然一种喷印方式和工具很难解决成膜器件所有涂层的喷印,但也希望同一种喷印方式和工具兼容越多不同涂层的喷印越好,并且对不同涂层功能材料都应具有良好的喷出质量。
阵列触觉传感器的不同功能涂层除了有不同的材质要求外,尺寸精度要求也不一样,其尺寸精度是传感效果的重要影响因素。喷涂系统应具有多种不同材料的喷涂功能,系统可提供多种喷涂,并配套多种工具。
基于以上需求,本文以在机器人机械臂外表面打印阵列触觉传感器为研究目标,根据传统阵列触觉传感器的尺寸要求,将链接臂的外形作为打印曲面的特征设计机器人涂装系统。我想打印10~100mm尺寸范围和0.5mm尺寸精度的图案。同时要求喷涂工具和喷涂印刷方式对漆的性质具有最大的兼容性。
2、喷印方式与喷涂工具选型
图2所示,机器人喷墨系统中常见的喷雾化技术有静电喷雾化和压力气体喷雾化。静电喷涂的原理本质是使漆和喷涂面分别具有不同极性的电荷,由于异性电荷之间相互吸引的特性使漆雾化并不断吸附在喷涂面。压力气体喷涂的原理是通过压力气体的快速流动并形成负压力,使漆材料在负压力下一起流出,并被快速流动的压力气体冲走,混合最终完成雾化。静电喷涂涂料的利用率较高,但由于需要漆材料和工件的带电特点,因此对使用的环境有较高要求,喷涂现场具有较好的绝缘和隔离措施,并在材料中引对易燃易爆品的使用有限制。压力气体喷涂具有漆膜表面平整、工件结构外形适应性好等特点,对喷涂后的质量能得到较好的控制。

图 2 静电喷涂与压力气体喷涂原理
由上文需求分析可知,对阵列式触觉传感器的喷印方式应能够兼容不同性质的漆料。然而静电喷涂由于需要对漆料进行负电操作,因此漆料的电阻率不可过高,要求在5~50MΩ·cm 范围内,因此不适合用于喷印传感器的基底层、隔离层或其他有绝缘需求的部分。压力气体对喷涂过程漆材料的导电能力没有影响,同时它对漆材料的适用粘度范围也相对较大,对中、低粘度液体都有优秀的雾化效果。结合漆材加压和特制喷嘴的补气喷雾也适用于高粘度液体,所以本文选择压力气体喷涂作为研究对象。
考虑图案尺寸小的特点,选用自动*剂喷**作为压力气体喷涂工具。自动喷笔口径小,喷笔流量和喷雾气压可精细调节,适合小面积作业。这里选用的FRNTR 281a03h自动喷笔,其外形见图3,部分参数如表1。FRNTR 281a03h有进气口和进气口,有涂装量调节杆和喷涂气压微调阀,可以调整喷涂作业的喷涂速度和喷雾气压。喷墨的贯穿是由中央气缸控制的。雾化压力气体开启的同时,气缸打开,涂料喷出。
表1 FRNTR 281A03H 自动喷笔的部分参数


图3 FRNTR 281A03H 型喷笔
二、机器人曲面喷涂系统的总体设计
1、硬件平台的设计
执行喷涂作业的机器人,需要装持有喷涂工具,并配备相应的供墨、控制与驱动系统。机器人喷涂系统的硬件构成要素如图4所示。

图 4 机器人喷涂系统构成要素
本文搭建了机器人喷涂系统的硬件平台,其结构如图5所示,其中主要包括:开链结构的串列工业机器人IRB-120及其控制器、旋转多头喷涂工具、一个包括喷漆工具控制器和空气压缩机。
另外,平台上还配置了几个气压喷射装置。每个喷射装置包括1支自动喷雾器、1个墨水瓶和1个气动电磁阀。旋转多头喷涂工具作为执行工具安装在IRB-120工业机器人的末端凸缘上,上面的旋转台对应3个位置和3个位置角度,最多可以搭载3支自喷笔。

图 5 机器人喷涂系统的硬件平台
机器人喷涂系统硬件平台的连接分为电信号连接和压力气道连接。其中,电信号控制线的连接方式是:喷墨工具控制器与IRB-120工业机器人控制器通过串行接口连接,接收工业机器人的控制指令;
喷墨工具控制器接收到控制指令后,将控制信号传送给多圈喷墨工具和气动电磁阀,控制喷墨工具的旋转和气动电磁阀的开闭。压力气道的连接方式是:空气压缩机产生压力空气作为气源,通过软管与气动电磁阀和自动喷笔相连,作为自动喷笔的气缸开闭和漆料雾化使用。
2、系统总体模块的设计
自动喷涂离线编程系统主要由以下部分组成:曲面造型及处理模块、参数设定及计算模块、喷涂轨迹生成模块、机器人仿真模块、机器人执行程序转换模块等相关结构如图6所示。其中,曲面造型和处理模块对不能简单用公式表达的自由曲面进行曲面造型和网格化处理,参数设置和计算模块提供轨迹所需的喷涂工艺参数,并对其中参数进行优化两者都为整个轨迹规划提供基础数据。喷墨轨迹产生模块是整个离线编程系统的核心模块,它基于从前两个模块获得的曲面数据和优化的过程参数,将曲面图案的特征对轨迹进行计算。机器人执行程序转换模块遵循机器人的运动学原理,将生成的喷涂轨迹转印到机器人使用的执行代码上。

图6 自动喷涂离线编程系统结构图
三、转动多头喷涂工具的设计
1、转动多头喷涂工具的结构设计
为了在自由曲面上喷出由不同喷墨材料构成的图案,通常,每个喷墨材料都需要独立的喷墨,但是,将多个喷墨集中设置在机器人的末端,效果为了使喷墨能够很好地切换,需要设计专用的旋转多头喷墨工具。旋转多头喷涂工具的设计需要考虑以下几点要求:要有与机器人法兰连接的部分。你可以安装一些喷雾。具有旋转结构,通过旋转可以切换不同工作位置的喷漆。提供旋转的动力。如图7所示,有一种旋转部分为三棱柱的旋转多头喷雾器,这三个面都可以安装一支自动喷雾器。

图 7 转动多头喷涂工具
考虑到需要控制转动角度,故微型电机选用驯龙者 DG-2030MG 数字舵机,如图 8。其自带驱动器,转动角度由所接收 PWM 控制信号的脉宽决定,可以容易地实现转角控制。其部分参数见表2。

图8 DG-2030MG 舵机外形
表 2 DG-2030MG 舵机的部分参数

该转动多头喷涂工具可以分为以下几个主要模块:电机模块、支撑模块以及转动模块,如图 9 所示。
(1)电机模块
电机模块主要分为法兰连接板、安装板、微型电机、电机仓壳、传动轴、联轴器,其整体设计为圆柱形。法兰连接板用于与机器人末端法兰盘连接。电机仓壳一端安装在法兰连接板上,另一端装有安装板,微型电机安装在其中。
(2)支撑模块
支撑模块主要由法兰套筒、空心轴和紧固螺母组成。法兰套筒法兰固定于电机模块上,法兰套筒与空心轴之间通过螺纹连接。
(3)转动模块
旋转模块的构成主要有滑动轴盖、三棱柱旋转台、推力轴承和旋转盖。三棱柱旋转台的3个柱面,成为喷水装置的装持面。回转台的中心是空心柱面,滑动轴盖用紧固螺丝套住,套在支承模块的空心轴上,可与空心轴之间相对旋转。三棱柱旋转台下面的两侧安装有推力轴承,由凸缘套筒和紧固螺母紧固。旋转罩固定在三棱柱的旋转台上,传递旋转力。
电机动力的传动链为,动力的借由联轴器传递到传动轴上,传动轴通过末端 的切角带动转动模块的转动盖,将转动力传递到三棱柱转动台上。

图9 喷涂工具各组成模块
2、喷涂工具控制器的设计
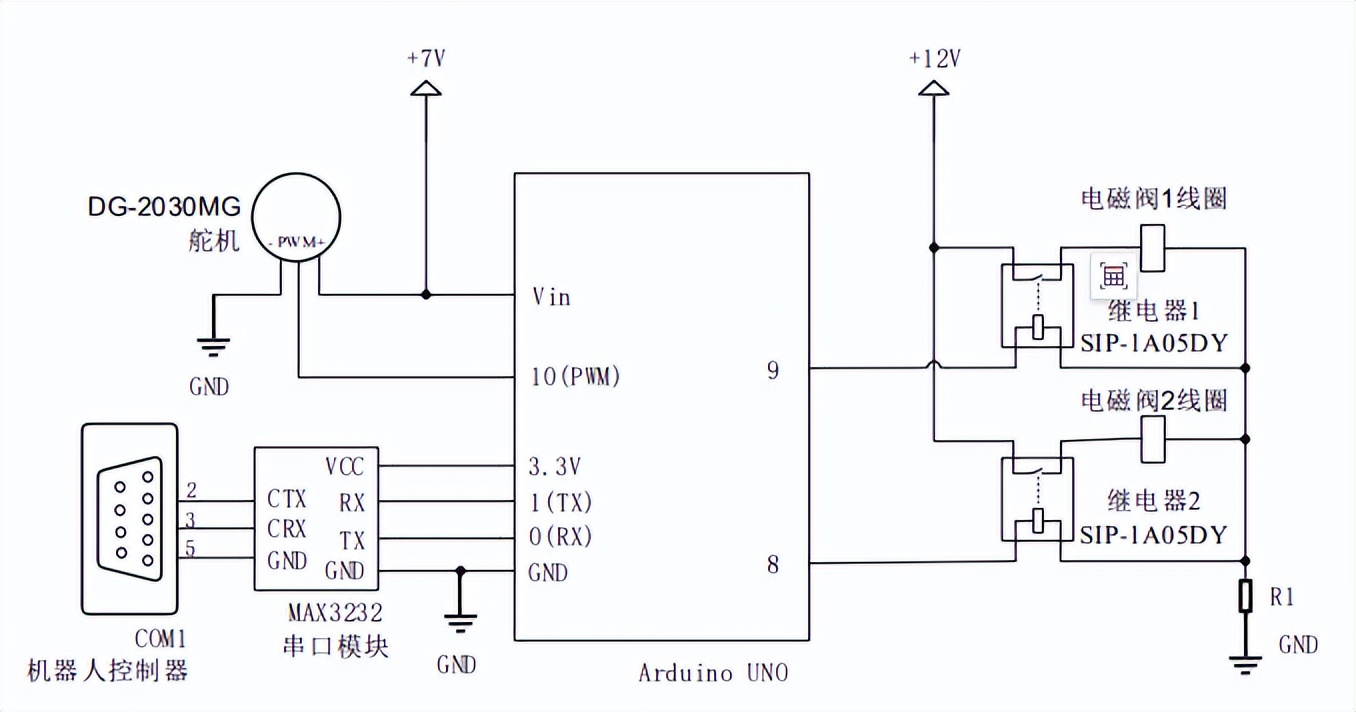
喷漆工具控制器的核心部分是如图10所示的Arduino UNO控制板。Arduino UNO便于控制舵机及周边部件,周边电路布线如图11所示。控制板一端通过MAX3232芯片连接RS232串行信号,与IRC5C机器人控制器建立通信。DG-2030MG数字舵机使用PWM信号控制旋转角度,其控制端口连接控制板PWM引脚。干弹簧式继电器sip-1a05dy的被控电路接入气动电磁阀,控制电路接入控制板,在控制板上通过继电器可以控制气动电磁阀的动作,进而控制喷笔开关。
控制板和机器人控制器之间的串行通信使用MODBUS RTU协议。机器人发出指令,控制板接收到指令后,控制板就会执行相应的动作。例如,喷漆工具旋转到某个角度,或者某个空气电磁阀断开的话,机器人就会收到动作完成的信号。部分命令对应的功能代码如表3所示。

图10 Arduino UNO 控制板

图 11 喷涂工具控制器电路接线
表3 控制器部分功能码

四、IRB-120 六自由度工业机器人运动学建模
1、喷涂实验平台的坐标系建立
为表示喷涂实验平台中各关键部位的位置关系,需要搭建五个坐标系:大地坐标系、机器人基坐标系、机器人末端坐标系、工件坐标系和工具坐标系,它们之间的位置关系如图12 所示。

图12 喷涂实验平台中各坐标系示意图
四个坐标系中,工具坐标系与机器人末端坐标系随着机器人的运动而运动,其余三个坐标系之间的相对位置是确定不变的。为了表示方便,这里将大地坐标系与机器人基坐标系重合。
在制作喷绘实验平台时,必须找到相对位置不变的坐标系,确定其间的变换关系。即:工具坐标系相对于机器人末端,工件坐标系相对于基坐标系的相对位置。
工具坐标系可以利用“六点法”测定,即通过旋转多头涂装工具的设计尺寸进行建模,确定其相对于机器人末端的位置。工作坐标系可以在基于机器人的坐标系下用“三点法”进行测量。机器人的末端坐标系和基坐标系的相对位置是通过机器人关节的运动而变换的,需要通过机器人运动学模型来确定。
2、机器人的结构参数及运动学建模
将末端的运动轨迹转换为机器人关节的运动变换,为了得到末端坐标系相对于轨迹不同位置的基坐标系的变换关系,需要对机器人进行运动学建模。
机器人运动学模型是机器人离线编程的理论基础,相应的运动学方程式由各关节和环节的相关参数决定,记机器人各关节和末端工作空间内的姿势变换关系述之。本文根据IRB-120型工业机器人的结构参数,采用D-H表示法描述各关节的动作关系,制作机器人的动作模型。
ABB IRB-120 型工业机器人为具有六个关节的开链串联式机器人,其本体外形及结构尺寸如图13 所示,其各连杆及关节的参数在表4 中列出。

图13 ABB IRB-120 型工业机器人外形及结构尺寸
表4 ABB IRB-120 型工业机器人的关节及连杆参数

由于 D-H 模型不为机器人本体的结构组成所限制,适应性强,结构参数完整,参数变化连续,因而目前 D-H 表示法在机器人的运动学建模中应用广泛。
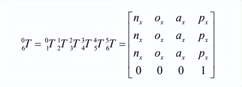
D-H 表示法的关键在于,其将固连在连杆上的坐标系置于关节轴线上,并通过坐标变换矩阵表示相邻关节坐标系的相对关系,从而获得机器人整体的坐标变换关系。因此,机器人末端的位姿矩阵可以由各相邻关节坐标的变换矩阵顺次连乘 得到。故第i -1关节到第i关节的坐标变换关系可以由式1表达:

(公式1)
式中θi 、di、ai 、αi 均为表4中第i 关节的参数。上式各矩阵合并后为:

(公式2)
代入各关节参数,可以得到 IRB-120 机器人各相邻关节坐标系的变换矩阵:

(公式3)
据此将以上各变换矩阵相乘,即可得到:

(公式4)
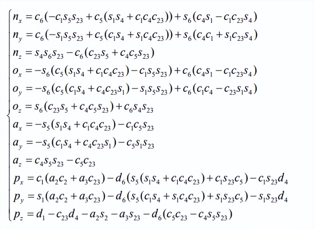
式中,各元素的算式如下,其中ci为cosθi 的缩写,si 为sinθi 的缩写,sij 则意为sin(θi+θj ),以此类推。

式4即为正运动学表达式。当各关节转角θi 已知的情况下,由该式即可计算出末端坐标系相对基坐标系的位姿变换。
3、机器人运动学逆解
在实验中,首先得到了末端运动的涂装轨迹,由于每个关节的数值是未知的,所以需要从运动学角度求解。与一对一映射的正运动学问题不同,运动方程式的逆求解有时会有很多解,也有很多无解的情况,没有通用的方法。求得运动方程式逆解的一般方法有数值解法、封闭解法(代数、几何),以及结合智能算法的特殊解法等。
封闭解法是利用机器人的几何配置和变换公式直接推导出各关节转角的计算公式,具有简单高效的计算特点,但该方法对机器人的机构配置有特殊要求。
IRB-120机器人的轴在一点上交叉,满足Pieper标准,可以对运动学上的逆解适用封闭解法。
(1)θ1的求解
由式4两边同时右乘56T-1可得:

(公式5)
根据两边元素相等可得

(公式6)
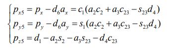
由px5 / py5 可得:

(公式7)
(2)θ2 的求解
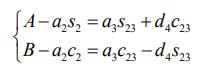
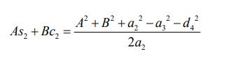
令A=根号下px5 2+ py52 ,B=pz5 -d1 ,由式6有:

(公式8)
将上述两式等号两侧分别求平方和:

(公式9)
令上式为C,则可以求解θ2 :

(公式10)
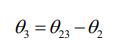
(3)θ3的求解
由式8可得θ2与θ3的组合角度θ23:

(公式11)
因此结合式10与11可以得到:

(公式12)
(4)θ4的求解
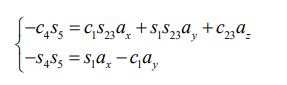
由式4可得

,根据两侧元素相等可得:

(公式13)
当s5不等于0即 θ5 = 0时,可以由上述两式等号两侧相除求得:

(公式14)
当s5=0即θ5=0°时,将导致第 4 关节与第 6 关节的转轴重合,此时机器人处于奇异点。
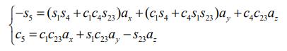
(5)θ5的求解
由式4可得:

根据两侧元素相等可得:

(公式15)
因此可得:

(公式16)
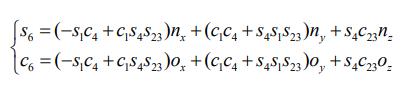
(6)θ6的求解
由式4可得:

根据两侧元素相等可得:

(公式17)
因此可得:

(公式18)
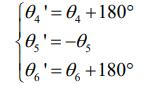
到此,已经求得IRB-120 的六个关节角的部分解。根据其构型,还可以推出其他解的情况:

(公式19)
由于IRB-120机器人的各关节的旋转范围受到限制,所以不能全部解决。另外,如果在末端姿势相同的情况下,有可能到达多个工作空间的解,就需要对其进行取舍,选择最合适的一组解。
通常,用旋转角和最小的条件筛选逆解。从机器人工作空间内的所有可到达解中,将与前一个机器人状态对应的各关节的转角相比,差之和最小的解作为最佳逆解。
4、机器人姿态的四元数表示及轴的配置参数
在ABB系统机器人的RAPID语言中,笛卡尔空间的位置数据可以用robtarget型来表示,其包含的内容如图14所示。姿势数据的表现方法是四元数,臂的整体形状用轴的配置参数来表示。因此,需要将用旋转矩阵表示的喷墨工具的目标点的姿势转换成四元表示,得到运动学逆解的机器人的全貌,需要对应的配置参数。接下来,说明四元数和构成参数。

图14 robtarget 位置数据的内容
四元数是对复数领域的一种推广,其由一个标量及一个矢量在 3 个正交方向的分量构成,其表示形式为:

(公式20)
式中,q i表示实数;i 、 j 、k 分别为三个正交的单位矢量,也可表示三个虚部。
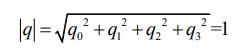
对于单位四元数,其特点在于四元数的模为 1,表现为:

(公式21)
四元数在几何上可以表述为一种旋转,其中i 代表 xoy 平面中 x 轴向 y 轴的 旋转,j 代表 xoz 平面中 x轴向 z 轴的旋转,k 代表 yoz 平面中 y 轴向 z 轴的旋转。
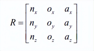
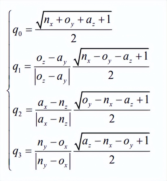
在旋转矩阵与四元数的变换计算中,对于一个如下所示的旋转矩阵:

将 R 变换为四元数表示时,可以由以下关系式计算:

(公式22)
至此,即可获得目标姿态的四元数表示。
对于使用直角坐标系下的位姿,通过逆运动学计算后可能存在多组解的关节角配置方案,在选择其中一组最佳方案后,需将选择的方案直接或间接表示给机器人。
在 ABB 系列机器人中,使用轴的配置参数实现方案的间接表示,依据机械臂的关节象限区间及相对工作空间内奇异点的位置关系,可以提供一个良好的计算起始值。对此,使用 4 个参数的配置参数表示方法,分别为cf1、cf4、cf6、cfx 。
配置参数cf1、cf4、cf6分别表示第 1、4、6 轴当前转角所在的象限编号。 配置象限的编号方式为:转角度数在区间[0°,90°)内的记为象限 0,象限 1 即为下一个正向旋转区间[90°,180°) ,以此类推;象限-1 即为下一个反向旋转区间[-90°,0°),以此类推。例如,第 6 轴的配置象限如图15所示。

图15 第 6 轴的配置象限
cfx 的编号为 0 至 7,用于表示机器人腕部(即第 5 轴)相对三个奇异点的位置关系。对于链式串联构型的六轴机器人 IRB-120,其工作空间内存在三个奇异点,如图 16 所示。
其中,奇异点(a)的配置形态为腕部(第 4、5、6 轴的轴线交点)处于第 1 轴轴线上,奇异点(b)则为腕部在下臂(第 2、3 轴之间的连杆)的中心线上,奇异点(c)出现在第 5 轴转角为 0 时,此时第 4、6 轴轴线重合。对此,cfx 编号与具体配置的对照表见表5。

图16 奇异点位置
表5 cfx 编号对照表

以cfx=0 及cfx = 7 为例,其对应的机器人配置形态如图17 所示。在cfx=0 的情况下,腕部位置位于第 1 轴轴线方向的前方及下臂连杆轴线前方,且第 5 轴的转角为正;在cfx = 7 的情况下,腕部位置位于第 1 轴轴线方向的后方及下臂连杆轴线后方,且第 5 轴的转角为负。

图17 cfx 0 及cfx 7 对应的机器人配置形态
利用机器人的连杆参数,可以对腕部位置进行计算,得出对应的cfx 编号。如图18(a)中,腕部处于下臂中心线上时,可以根据图示几何关系获得对应第3轴转角恰好对应第 3、5 关节间一个固定角β:

(公式23)
而在图18(b)中,腕部处于第 1 轴轴线上,则图中下臂与 1 轴轴线夹角 a2有:

(公式24)
式中:

因此,腕部位置与转角θ3 、θ2的对应关系可见表6。

图18 腕部位置关系
表6 cfx 编号与3 、2 对应关系表

总结
本文阐述了机器人多头喷涂实验平台的总体方案,并根据旋转特征对旋转多头喷涂工具及其控制器进行了结构和电路设计。之后进行了机器人运动学模型的研究,构建了机器人多头涂装实验平台的各关节坐标系,在ABB建立了基于IRB-120机器人的构造参数的运动学模型,并对其逆运动学解算方式进行了研究。
最后,介绍了机器人的姿势表现,叙述了从旋转矩阵到四元数的转变关系和机器人的形态配置参数适应机器人RAPID编程语言。