
关注我们
简单来说:一池子水(电荷),用水管(电阻越大,水管越细)从高处往低处放水。你现在把水管拿掉,直接换成城市下水管道(短路的电线),瞬间池水就流完了。而且如果下水道不够结实,极有可能被冲毁。
真正的像电池这样的电压源并不像理想电压源一样可以通过任意大的电流。
它自己有一个电阻叫做内阻,当电流形成回路的时候,回路中的电流同样从电池负极流入,电压源像个泵一样把这些电荷从电势低的地方输送到了电势高的地方,但我们知道不管是电势差带来的电流还是电压源这个“泵”的效果带来的电流,电流都还是电流,电流从电池负极流到正极,负极到正极之间也会有电阻,这个电阻就是电池的内阻。作为一个优秀的电池,它的内阻是非常小的,通常小于1欧姆,但仍然还是存在的。
那么实际电路中有负载的情况下,电池的开路电压是在内阻和负载电阻(外阻,实际上还包括导线电阻)之间分压。在正常情况下,负载电阻远大于内阻,这时候绝大部分电压都加在负载上,电池内阻上的电压很小;而短路的时候,外阻接近甚至小于内阻,这时候绝大部分电压都会加在内阻上,外部电路的输出电压降低。可以用分压的公式来表示这件事:

r是内阻,R是外阻,U为电源的开路电压。如果R远大于r,则Ur接近于0;如果R非常小,那么Ur的值就会接近U。
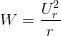
内阻也是电阻,也有焦耳效应,我们知道在给定电压的情况下发热功率可以写为:

内阻上的电压越大,内阻的发热也就越明显,尤其由于内阻非常小,所以当短路发生的时候,电池内阻上的电压过大,发热功率也就很高,会烧坏电池。
总结来说:短路就是电源的大部分电压都加到了电源内阻上的一种现象。
