从高考物理试题组成来看,法拉第电磁感应定律是一块重点内容。几乎每年的高考物理题都有计算题出现,分值上所占的很大,也很有难度,同学们要下功夫攻克这个知识点。
在这篇文章中,我们向同学们详细介绍下电磁感应的概念,公式和解题注意事项。

电磁感应现象
因磁通量变化而产生感应电动势的现象我们诚挚为电磁感应现象。具体来说,闭合电路的一部分导体,做切割磁感线的运动时,就会产生电流,我们把这种现象叫电磁感应,导体中所产生的电流称为感应电流。
法拉第电磁感应定律概念
基于电磁感应现象,大家开始探究感应电动势大小到底怎么计算?法拉第对此进行了总结并得到了结论。感应电动势的大小由法拉第电磁感应定律确定,电路中感应电动势的大小,跟穿过这一电路的磁通变化率成正比。公式:E= -n(dΦ)/(dt)。对动生的情况,还可用E=BLV来求。
电动势的方向可以通过楞次定律来判定。楞次定律指出:感应电流的磁场要阻碍原磁通的变化。对于动生电动势,同学们也可用右手定则判断感应电流的方向,也就找出了感应电动势的方向。需要注意的是,楞次定律的应用更广,其核心在”阻碍”二字上。
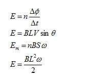
感应电动势的大小计算公式

(1)E=n*ΔΦ/Δt(普适公式){法拉第电磁感应定律,E:感应电动势(V),n:感应线圈匝数,ΔΦ,Δt磁通量的变化率}
(2)E=BLVsinA(切割磁感线运动) E=BLV中的v和L不可以和磁感线平行,但可以不和磁感线垂直,其中sinA为v或L与磁感线的夹角。{L:有效长度(m)}
(3)Em=nBSω(交流发电机最大的感应电动势){Em:感应电动势峰值}
(4)E=B(L^2)ω/2(导体一端固定以ω旋转切割)其中ω:角速度(rad/s),V:速度(m/s)
电磁感应现象是电磁学中最重大的发现之一,它显示了电、磁现象之间的相互联系和转化,对其本质的深入研究所揭示的电、磁场之间的联系,对麦克斯韦电磁场理论的建立具有重大意义。电磁感应现象在电工技术、电技术以及电磁测量等方面都有广泛的应用。
电磁感应与静电感应的关系
电磁感应现象不应与静电感应混淆。电磁感应将电动势与通过电路的磁通量联系起来,而静电感应则是使用另一带电荷的物体使物体产生电荷的方法。
参考:http://blog.gaozhongwuli.com/38341