坚持的力量,时间的证明,难忘的经历!

2019~2020太原市初三数学第一学期期末考试压轴22题 PK
2022山西中考模拟百校联考(二)-数学压轴22题

思考题目:
2019~2020太原市初三数学第一学期期末考试解答压轴22题(1)

2019~2020太原市初三数学第一学期期末考试解答压轴22题(2)

2019~2020太原市初三数学第一学期期末考试解答压轴22题(3)


【横向对比与纵向对比】
2022山西中考模拟百校联考(二)数学——解答压轴22题(1)




2022山西中考模拟百校联考(二)数学——解答压轴22题(2)


2022山西中考模拟百校联考(二)数学——解答压轴22题(3)


适用范围:
初三学生


解题方法:
2019~2020太原市初三数学第一学期期末考试解答压轴22题(1)

2019~2020太原市初三数学第一学期期末考试解答压轴22题(2)


2019~2020太原市初三数学第一学期期末考试解答压轴22题(3)
【A题】



【B题——解法1:四点共圆+相似】


【B题——解法2:倍长中线型+相似】

2022山西中考模拟百校联考(二)数学——解答压轴22题(1)

2022山西中考模拟百校联考(二)数学——解答压轴22题(2)

2022山西中考模拟百校联考(二)数学——解答压轴22题(3)


【考点总结】
【考点类型相同】
都考查【几何综合压轴——正方形中的旋转问题】
注意:山西中考数学最近几年在中考卷中22题的命题规律为"四边形综合+几何变换综合(一年考旋转问题,一年考折叠问题)"。 2019山西中考卷22题考查【正方形中的折叠问题】,2020山西中考卷22题考查【正方形中的旋转问题】,2021山西中考卷22题考查【平行四边形中的折叠问题】。 所以今年即将到来的2022山西中考卷很有可能考查"四边形综合+旋转问题",同学们要做好这方面的备考知识!
【几何压轴22题:第1问-对比】
两道大题第1问都比较仁慈,考查"矩形的判定"。其中判定方法都是证明"有三个角为直角的四边形→矩形"。 2019~2022太原市初三数学期末22题(1)比2022百校联考数学(二)22题(1)略微难一些 ,体现在一个直角的证明这个点。不过90%左右的同学应该都可以做对这一问,属于考卷中的送分题。
注意:这里要求考生必须把平行四边形以及特殊平行四边形的性质及判定背熟,应用起来就会得心应手。
【几何压轴22题:第2问-对比】
两道大题第2问相对来说难度直接加大,考查"探究线段之间的数量关系"。其中证明方法和思路基本一致,都是"连接旋转中心和对应点→构造等腰三角形→作三线合一→构造矩形→利用矩形的对边相等→转化线段之间的数量关系",这里 2022百校联考数学(二)22题(2)比2019~2022太原市初三数学期末22题(2)要略微难一些 ,因为还增加了一步转化线段,即"正方形对角线性质→特殊角45°→构造等腰直角三角形→三边之比或者三角函数→斜边与腰之间的数量关系"。这块分数往往是学生的丢分点,要注意在中考复习中积累方法和思考点。
注意:这里要求考生必须把旋转的性质及常做的几何辅助线记到脑海中,对几何形成一定的敏感度。
【几何压轴22题:第3问-对比】
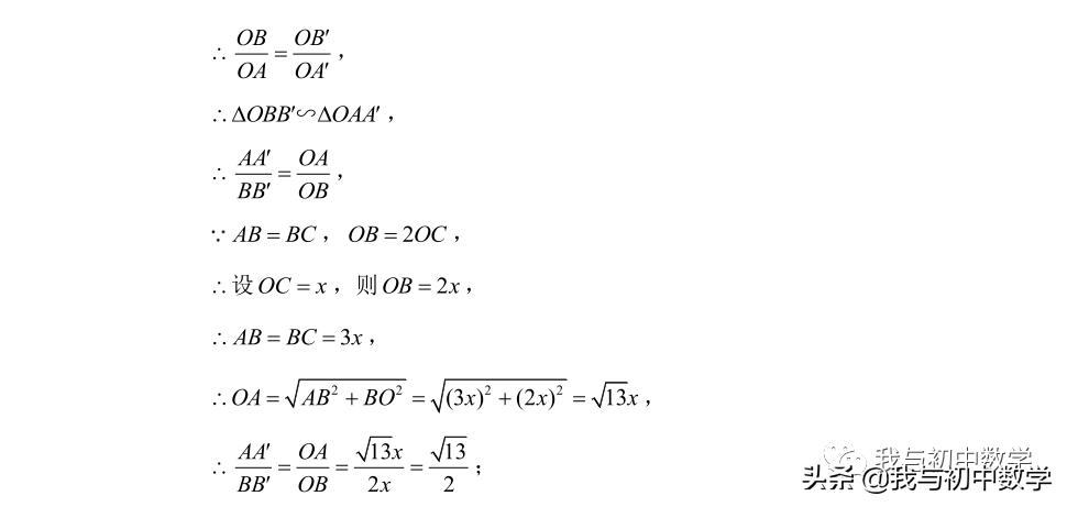
先说2019~2022太原市初三数学期末22题(3),这个题中的【A题】相对简单一些, 解题思路 为"连接旋转中心与对应点→等腰三角形→利用两组对应边成比例且夹角相等证明相似→由相似比及三等分点即可推导出线段比"。【B题】相对难度大一些,这里我提供2种解题方法。不管是解法1还是解法2,其 【核心证明点】 需要弄清楚,都是要 证明"OP⊥AA' " 。 解法1思路 ——"连接旋转中心和对应点→顶角相等的两个等腰三角形→底角也对应相等→四点共圆判定之等弦对等角(同侧)→A、B、O、P四点共圆→∠APO=∠ABO=90°→OP⊥AA'→求线段比值与A题方法相同:相似"。 解法2思路 ——"过点作平行线→构造"8"字全等:这里证明相等边用到的方法为等角对等边及旋转的性质→P为AA'中点→三线合一得OP⊥AA'→求线段比值与A题方法相同:相似"。
再说2022百校联考数学(二)22题(3),这里考生在考场上可能不能证明出来角度为45°,但是很容易猜出来正确答案。大家对这种题有感觉后就往"特殊角"的方向猜测即可,一般准确率还是蛮高的。在这里我推荐的 解题思路 为——"连接旋转中心和对应点→顶角相等的两个等腰三角形→底角也对应相等→角度转换得四边形AOBP或者四边形A'OB'P的对角互补→四点共圆→∠APO=45°"
总结下,2019~2022太原市初三数学期末22题(3)比2022百校联考数学(二)22题(3)难一些,值得大家细细品味两者之间的相同点与不同点!!!
注意:这里是几何压轴一问,建议考生最后再思考,不要花很长时间在这上面,毕竟分数基本在2~4分,大家确保其它题没问题的情况下,就再挑战这一问,提高自己考场上时间的最大收益。
综上所述,这种题需要硬啃,敢于挑战,发挥想象,坚持总结,重在积累, 【从不同的出发点思考,便会发现不一样的风景】 , 加油,我们一起同行!!!

往期回顾
REVIEW

1.2022山西中考模拟百校联考(二)-数学压轴题盘点
2.2022太原市初中学业水平模拟考试(一)数学~填空压轴15题
3.2022山西中考考前适应性训练数学~填空压轴15题 .
关注作者,不迷路↓


【我与初中数学】
分享初中数学【每日一练】及【一题多解】,发表太原每学期【初一、初二、初三】年级"试卷个人解读",探索数学方法,领略数学之美,带你爱上数学……173篇原创内容