迎战中考2022年物理一模
山东*安泰**卷
(本卷共25小题,全卷共五个大题,满分70分)
一、单项选择题(本题共15题,共30分。以下每题各只有一个正确答案,选对得2分;多选、错选均不得分;把正确答案的序号用铅笔涂在答题卡的规定位置)
1.下列物理量中,最接近实际情况的是( )。
A.水杯的高度约为10dm; B.家庭常用节能灯功率约为10W;
C.中学生的质量约为100kg;D.*安泰**夏天的最高温度约为98℃
【答案】B。
【解析】A、中学生拳头的宽度在10cm左右,水杯的高度与此差不多,在10cm=1dm左右。故A不符合实际;
B、一般台灯的功率在20W左右,家用节能灯的功率约为台灯功率的一半,在10W左右。故B符合实际;
C、成年人的质量在65kg左右,中学生的质量比成年人小一些,在50kg左右。故C不符合实际;
D、日照夏季高温,最高温度可能达到40℃,但不可能达到98℃.故D不符合实际。故选B。
2.关于声现象的说法正确的是( )。
A.用大小不同的力先后敲击同一音叉,音叉发声的音调会不同;
B.“闻其声辨其人”是根据声音的音色来判断的;
C.超声波能排除人体内的结石是利用声波传递信息;
D.房间的窗户安装双层玻璃是在声源处减弱噪声
【答案】B。
【解析】A.用大小不同的力先后敲击同一音叉,音叉发声的音调会不同;此说法错误。敲击音叉力量的大小,影响到音叉振动的幅度,也就是响度,而不会影响到音叉的振动频率,故音叉发声的音调不变。
B.“闻其声辨其人”是根据声音的音色来判断的;此说法正确。任何物体振动,响度、音调可能相同,但音色不会相同,所以“闻其声辨其人”是根据声音的音色来判断的。
C.超声波能排除人体内的结石是利用声波传递信息;此说法错误。超声波碎石是利用超声波的能量来击碎人体内结石的。
D.房间的窗户安装双层玻璃是在声源处减弱噪声;此说法错误。双层玻璃可以有效阻止噪声传入室内,故是在噪声传播过程中控制噪声。
3.下列所示的现象中,由于光的直线传播形成的是( )。



A.用放大镜观察到的花 B.镜中猫的像 C.地面上鸽子的影子 D.水中树的倒影
【答案】C。
【解析】镜中猫的像、水中树的倒影是光的反射形成的;地面上鸽子的影子是光的直线传播形成的;用放大镜观察到的花是光的折射形成的。故选C。
4.小天在使用电冰箱时,发现了许多与物态变化有关的现象,他的判断正确的是( ) 。
A.拉开冷冻室的门,有时能看见“白气”,这是液化现象;
B.湿手伸进冷冻室取冰棒时,有时感觉到手被冰棒粘住了,这是汽化现象;
C.放入冷冻室的矿泉水结了冰,这是凝华现象;
D.从冷冻室中取出一瓶冰冻的汽水,过一段时间后瓶的外壁出现了小水珠,小水珠的形成是升华现象
【答案】A。
【解析】A、打开冰箱门,看见冒白气,“白气”的形成原因是空气中的水蒸气遇冷液化形成的.故A正确。
B、湿手伸进冷冻室取冰棒时,有时感觉到手被冰棒粘住了是手上的水遇冷凝固成冰,这是凝固现象,故B错误。
C、放入冷冻室的矿泉水结了冰,这是水由液态变为固态,是凝固现象,故C错误。
D、从冷冻室中取出一瓶冰冻的汽水,过一段时间后瓶的外壁出现了小水珠,小水珠是空气中的水蒸气遇冷液化成的小水珠,故D错误。故选A。
5.当今社会已进入高度发达的电气时代,人们必须牢固树立安全用电的意识,但在某些地方私拉乱接电线的现象相当严重,容易造成安全隐患。下列做法中不符合安全用电原则的是( )。
A.开关必须接在火线上,开关和所控制的用电器串联;
B.家用电器的金属外壳要接地使用;
C.用湿布擦正亮着的台灯灯泡;
D.发现家用电器或导线失火时,必须先切断电源,然后再救火
【答案】C。
【解析】A:在家庭电路中,为保证用电安全,应将控制用电器的开关接在火线上;符合安全用电原则。
B:在家庭电路中,家用电器的金属外壳一定要接地,可防止因漏电而触电;符合安全用电原则。
C:湿布是容易导电的物体,用湿布擦拭正在发光的白炽灯或日光灯时,容易引起人体触电.不符合安全用电原则。
D:发现家用电器或导线失火时,首先要切断电源,然后灭火;不能带电救火,以防触电;符合安全用电原则。
6.小燕同学在做“研究凸透镜成像规律”实验时,将点燃的蜡烛、凸透镜、光屏调试到如图所示的位置,光屏中心正好出现清晰的像(未画出)。下列说法中正确的是( )。

A.凸透镜焦距为20cm; B.屏上的像是倒立、缩小的实像;
C.焟烛燃烧变短,屏上像的位置会下降;D.取走光屏,则凸透镜不成像
【答案】B。
【解析】在图中所示的情况下,光屏中心正好出现清晰的像,说明此时物体所成的像是实像;凸透镜成像实像时一定是倒立的;从物与光屏位置可以看出,物距大于像距,也就是说,成像是缩小的实像,为此可以判断正确答案是B。
凸透镜焦距从光具座上无法判断,故A错;
蜡烛燃烧变短,像的位置应向上移动,故C错;
取走光屏,凸透镜照样成像,只是没有显示在光屏上而已,故D错。正确答案是B。
7.关于惯性,下面说法正确的是( )。
A.一切物体在没有受到外力作用时,总保持匀速直线运动状态或静止状态的性质叫做惯性;
B.射出的*弹子**离开枪口后,仍继续高速前进,是因为*弹子**受到惯性的作用;
C.汽车关闭发动机后,仍能继续前进是由于汽车的惯性大于它受到的阻力;
D.一切物体在任何情况下都具有惯性
【答案】D。
【解析】A、物体在任何情况下都有惯性,受力时也能保持原来的运动状态,故A错。
B、*弹子**离开枪口时,仍能高速前进是因为*弹子**由于惯性保持原来的运动状态,B错。
C、汽车关闭发动机后,由于惯性能保持原来的运动状态而继续前进,C错。
D、任何物体在任何情况下都有惯性;D对。故选D。
8.对下列四幅图的表述正确的是( )。
A.

图中,闭合开关,小磁针静止时N极指向右侧;
B.

图中,闭合开关,滑动变阻器滑片P向右侧滑动时,弹簧测力计的示数变小;
C.

如图是发电机的工作原理图;
D.

如图是电动机的工作原理图
【答案】A。
【解析】A、由安培定则可知,螺线管的右端为N极,左端为S极,磁感线是从N极出来回到S极的,故小磁针的右端为N极,故A正确;
B、图中,闭合开关,滑动变阻器滑片P向右侧滑动时,滑动变阻器电阻减小,电流变大,电磁铁磁性变强,由于不知电流的方向,无法判定螺线管的极性,故无法判定测力计的示数变化,故B错误;
C、图中有电源,若闭合开关,磁场中的金属棒会受力运动,即说明通电导线在磁场中受力的作用,即电动机的原理图,故C错误;
D、图中没有电源,闭合开关后,当金属棒ab做切割磁感线运动时,电路中就会产生感应电流,故是发电机的原理图,故D错误。故选A。
9.在探究“物体动能的大小与哪些因素有关”的实验中,让同一铁球从斜面的不同高度由静止释放,撞击同一木块(如图所示),下列说法中正确的是( )。

A.本实验研究的是木块的动能与它的质量、速度的关系;
B.在探究动能与速度的关系时,要保持小球的质量不变,让小球从相同的高度滚下,以不同的速度推动木块移动;
C.在探究动能与物体质量的关系时,要选择两个质量不同的小球,并让它们分别从同一斜面的不同高度滚下;
D.实验中通过观察木块移动的距离来比较动能大小的。
【答案】D。
【解析】A.本实验研究的是木块的动能与它的质量、速度的关系;此说法错误。本实验研究的是小球的动能与其质量、速度的关系。
B.在探究动能与速度的关系时,要保持小球的质量不变,让小球从相同的高度滚下,以不同的速度推动木块移动;此说法错误。应该是要保持小球的质量不变,让小球从不同的高度滚下,以不同的速度推动木块移动。
C.在探究动能与物体质量的关系时,要选择两个质量不同的小球,并让它们分别从同一斜面的不同高度滚下;此说法错误。应选择不同质量的小球,让它们从同一高度滚下。
D.实验中通过观察木块移动的距离来比较动能大小的;此说法正确。木块向前移动的距离越远,说明小球的动能越大;通过木块向前移动的距离比较动能的大小。
10.小明有一正立方体金属块,他想知道该金属块的密度,于是将金属块浸没在某种液体中,如图甲所示,在将金属块缓缓从液体中竖直提出来的过程中,画出了测力计拉力F随提起高度h变化的图象,如图乙所示,则该金属块的密度约为( )。

A.2.7×103kg/m3;B.3.1×103kg/m3;C.3.5×103㎏/m3;D.4.4×103㎏/m3
【答案】D。
【解析】当金属块完全露出液面,没有浸入水中时,金属块不受浮力,此时拉力等于重力,即在4cm以上,从图可知,该金属块重力为:G=F拉=0.35N。
因为G=mg,所以金属块的质量为:
;
由图乙可知:由于h=2cm露出液面,到h=4cm时正立方体金属块离开液面,则正方体的边长L=2cm,所以正方体体积V=L3=(2×10﹣2m)3=8×10﹣6m3,金属块的密度为:
。
故正确答案是D。
11.如图,小雨用水平力推停在地面上的汽车,没能推动,下列说法中正确的是( )。

A.小雨推汽车的力等于汽车受到的阻力;
B.小雨推汽车的力小于汽车受到的阻力;
C.小雨推汽车的力和汽车受到的重力是一对平衡力;
D.汽车队地面的压力和汽车受到的重力是一对平衡力
【答案】A。
【解析】小雨用水平力推汽车,在水平方向上,汽车受推力F、阻力f作用,在汽车不动,处于平衡状态,所以这两个力是一对平衡力,大小相等F=f,故A正确,B错误。
小雨推汽车的力F与汽车受到的重力G,不在同一直线上,不是一对平衡力,C错误。
汽车对地面的压力作用在地面上,汽车受到的重力作用在汽车,这两个力分别作用在不同的物体上,不是一对平衡力,D错误。故选A。
12.击剑比赛中,当甲方运动员的剑(图中用“S甲”表示)击中乙方的导电服时,电路导通,乙方指示灯亮.当乙方运动员的剑(图中用“S乙”表示)击中甲方的导电服时,电路导通,甲方指示灯亮.下面能反映这种原理的电路是( )。

【答案】D。
【解析】解答本题需要根据串、并联电路的特点分析出两灯的连接方式,并根据题意判定出这两灯分别与哪个开关串联。
当甲方运动员的剑击中乙方的导电服时,乙方指示灯亮,而甲方指示灯不会亮;同理,当乙方运动员的剑击中甲方的导电服时,甲方指示灯亮,而乙方指示灯不会亮,由此可知这两盏灯的连接方式为并联,且S甲与乙方的灯串联,S乙与甲方的灯串联。答案是D。
13.甲、乙两只完全相同的杯子盛有不同浓度的盐水,将同一只鸡蛋先后放入其中,当鸡蛋静止时,两杯中液面相平,鸡蛋所处的位置如图所示.则下列说法正确的是( )。

A.鸡蛋在乙杯中受到的浮力较大;B.鸡蛋在甲杯里排开液体的质量较大;
C.乙杯底部所受液体的压强较大;D.甲杯底部所受液体的压力较大
【答案】C。
【解析】由图可知,鸡蛋在甲杯中悬浮,在乙杯中漂浮,则浮沉条件可知,它们此时所受的浮力都等于自身的重力,即浮力相同,因此所排开液体的质量也相同;故A、B错误。
鸡蛋在甲杯中悬浮,在乙杯中漂浮,说明甲杯中盐水的密度小于乙杯中盐水的密度,又因为两杯中液面相平,由公式p=ρgh可知,乙杯底部所受液体的压强较大,故C正确。
由公式
得,
,两杯底面积相同,乙杯底部所受液体的压强较大,故乙杯底部所受液体的压力较大,故D错误。
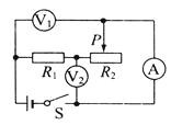
14.如图所示的电路中,电源两端的电压保持不变.闭合开关S,将滑动变阻器的滑片P向右移动,下列说法正确的是( )。

A.电流表A的示数变小,电压表V1的示数变大;
B.电流表A的示数变小,电压表V2的示数变大;
C.电压Vl与电压表V2的示数之和保持不变;
D.电压表V2与电流表A的示数之比保持不变
【答案】B。
【解析】A.电流表A的示数变小,电压表V1的示数变大 不合题意;
B.电流表A的示数变小,电压表V2的示数变大 符合题意;
C.电压Vl与电压表V2的示数之和保持不变 不合题意;
D.电压表V2与电流表A的示数之比保持不变 不合题意。故选B。
15.如图所示,用24N的水平拉力F拉滑轮,可以使重20N的物体A以0.2m/s的速度在水平地面上匀速运动;物体B重10N,弹簧测力计的示数为5N且不变。若不计轮重、弹簧测力计重、绳重和轴摩擦,则下列说法中正确是( )。

A.地面受到的摩擦力为12N; B.滑轮移动的速度为0.4m/s;
C.水平拉力F的功率为4.8W;D.在2s内绳子对物体A所做的功为4.8J
【答案】D。
【解析】A、图中使用的是动滑轮,拉力F=2F左,物体A受到向左的拉力:

,而fB=F示=5N,
物体A受到向左的拉力等于地面的摩擦力f地加上B的摩擦力fB,即F左=f地+fB,
所以地面受到的摩擦力:f地=F左-fB=12N-5N=7N,故A错;
B、滑轮移动的速度

,故B错;
C、拉力做功功率P=Fv轮=24N×0.1m/s=2.4W,故C错;
D、拉力F移动距离s=vt=0.2m/s×2s=0.4m,对A做功:W=F左s=12N×0.4m=4.8J,故D正确。故选:D。
二、填空题(每空1分,共4分)
16.如图所示,下面四个图中,表示正常人的眼睛光路图的是 。

【答案】A。
【解析】A图,光线射入眼睛,像正好在视网膜上,属于正常人的眼睛,正确答案是A;
B图,该眼睛佩戴凹透镜后,像才能成在视网膜上,属于近视眼,故B错;
C图,该眼睛佩戴凸透镜后,像才能成在视网膜上,属于远视眼,故C错;
D图,光线射入眼睛后,像成在视网膜前方,属于近视眼,故D错。所以正确答案为A。
17.把一个薄壁金属管固定在桌上,里面放一些酒精,用塞子塞紧,拿一根绳子在管外绕几圈,并迅速地来回拉动绳子,过一会儿,你会看到塞子跳了起来,如图所示。从能量的角度分析,这个现象表明_________________________。

【答案】内能和机械能之间可以相互转化(和转移)。
【解析】绳子与金属管摩擦,机械能转化为内能;高温筒壁对酒精加热,这是能量的转移;高温酒精推动塞子做功,使塞子跳起,内能转化为机械能。所以在整个过程中,存在着内能和机械能之间的相互转化,也存在着能量的转移。能答出“内能和机械能之间可以相互转化”即可。
答案:内能和机械能之间可以相互转化(和转移)。
18.如图所示,测得一枚纽扣的直径是________cm。

【答案】1.27。
【解析】读图可知,两个三角板竖直直角边所对应的位置之间的长度就是纽扣的直径。
图中刻度尺的分度值为1mm,我们还应该估读到mm的下一位,又因为这段长度从2cm开始,到3.27cm结束,所以纽扣的直径就是d=3.27cm-2.00cm=1.27cm。
故答案为:1.27。
19.如图所示,曲杆AOB可绕轴O转动,AO=BO,在A点挂一重为200N的重物,曲杆在水平位置平衡时,向下的拉力F 200N。(选填“大于”、“小于”或“等于”)

【答案】大于。
【解析】因为OD<OA,根据杠杆原理:G×OA=F×OD,故F>G=200N。
解答:∵OD<OA,根据杠杆原理:G×OA=F×OD,所以F>G=200N。
故答案为:大于。
三、作图题(每题2分,共4分)
20.如图悬挂的小球处于静止状态,画出小球受力的示意图。

【解析】 力的图示和力的示意图都反映了力的三要素,力的图示精确,力的示意图简约。由于重力的方向是竖直向下的,也就是与水平面垂直,所以在画图时,或是找到竖直方向,或是找到水平方向都可以。

21.如图所示,平面镜前一个发光点S和它的两条光线,请在图中作出S在平面镜中的像,并作出这两条光线的反射光线。

【解析】本题可以运用光的反射定律作图,反向延长求作虚像,这种方法要求作出法线;也可以运用平面镜成像特点作出虚像,再利用虚像的特征作反射光线,这种方法要求保留像与物的连线。如图。

四、实验题(第22题6分,第23题10分,共16分)
22.(6分)小明在盆中清洗樱桃时发现樱桃会沉入水中,他想知道樱桃的密度,于是他做了如下操作:

(1)把天平放在水平台面上,将 移到标尺左端零刻线处,发现指针指在分度盘左侧,接下来应向 (选填“左”或“右”)调节平衡螺母使横梁平衡。
(2)用天平测出透明空烧杯的质量m1=20.8g,然后将透明空烧杯中装入适量水,把一粒樱桃放入烧杯中的樱桃放入烧杯中,再往烧杯中逐渐加盐并搅拌,直至观察到樱桃悬浮,随即停止加盐,将烧杯中的樱桃取出,用调好的天平测出烧杯与盐水总质量,如图甲所示,记作m2= g。
(3)将烧杯中的盐水全部倒入空量筒中,如图乙所示,量筒中盐水的体积为V= cm3,则樱桃的密度为 kg/m3。
(4)以上实验操作,测出的樱桃密度比实际值将偏 (选填“大”或“小”)。
【答案】(1)游码、右;(2)75.8;(3)50、1.1×103;(4)偏大。
【解析】(1)使用天平时,应将它放在水平桌面上;把游码放在标尺左端的零刻线处,然后调节横梁右端的平衡螺母,使指针指在分度盘的中线上;天平指针偏左,应当将横梁右端的平衡螺母向右调节,直至平衡。
(2)天平标尺上一大格表示1g,里面有5个小格,故其分度值为0.2g,盐水和烧杯的质量为50g+20g+5g+0.8g=75.8g。
(3)倒入量筒中盐水的质量m=75.8g﹣20.8g=55g;量筒的分度值为1cm3,量筒中盐水的体积V=50ml=50cm3;樱桃悬浮时,樱桃的密度等于盐水的密度,
则盐水的密度ρ樱桃=

=

=1.1g/cm3=1.1×103kg/m3。
(4)将烧杯中的盐水全部倒入空量筒中,在烧杯的内壁上有盐水的残留,故使得测量的盐水的体积偏小,根据密度公式可知,所测盐水密度偏大;由于盐水的密度与樱桃的密度相等,故所成樱桃的密度偏大。
23.(10分)在做测量定值电阻Rx阻值的实验中:
①小红同学根据如图甲所示
的电路图,将实验器材连接成实验电路(如图乙所示)。同小组的小花同学在检查电路时认为:从实验目的来看,小红在实验电路的连接上有一根导线连接错了.请你在接错的那根导线上打“×”,并画出正确的连接。

②将电路改接正确之后,小红同学闭合开关,调节滑片,当电流表的示数为0.2A时,电压表的示数如图丙所示,则电压表的示数是 V,被测电阻Rx的阻值是 Ω。
③小红和小花两位同学都为自己在全班首先获得测量结果而高兴,准备整理实验器材,结束实验.针对这种情况,你对她们提出的建议是 ;你提出这个建议的目的是 。
④为了测量“3.8V”的小灯泡的额定功率,小红同学断开开关后,首先把定值电阻换接成“3.8V”的小灯泡,把两节干电池换成4.5V的学生电源,然后将电压表的量程改接为 。
⑤小红同学闭合开关之后,就发现灯L很亮,电流表的示数大,则出现这种现象的原因是 。
⑥接着小红同学调节滑动变阻器的滑片,使小灯泡正常发光,此时电流表的示数如图丁所示,则小灯泡的额定功率为 W。
【答案】①如图;②1.8;9;③调节滑片,改变电压表和电流表示数,多测几组数据;多次测量求平均值,减小误差;④0-15V;⑤闭合开关前,滑片没有移到阻值最大的位置;⑥0.912。
【解析】①根据电路图连接实物图,发现电压表测的是滑动变阻器与Rx两端的电压,显然与实验要求不符,这样会使Rx两端的电压偏大,电阻Rx的阻值偏大,修改如图所示:

②由图知:电压表选择的量程是0-3V,分度值为0.1V,所以电压表示数U=1.8V,电流I=0.2A,由
得,被测电阻Rx的阻值:
。
③为了减小实验中的测量误差,应移动滑动变阻器的滑片,多测几组数据求平均值。
④测量“3.8V”的小灯泡的额定功率,由于U额=3.8V>3V,所以电压表应该选择“0-15V”量程。
⑤小红同学闭合开关之后,就发现灯L很亮,电流表的示数大,说明电路的总电阻小,因此故障原因是:闭合开关前,滑片没有移到阻值最大的位置。
⑥由图丁所示电流表可知,其量程为0-0.6A,分度值是0.02A,电流表示数为0.24A,所以灯泡额定功率:P=UI=3.8V×0.24A=0.912W。
故答案为:①如图;②1.8;9;③调节滑片,改变电压表和电流表示数,多测几组数据;多次测量求平均值,减小误差;④0-15V;⑤闭合开关前,滑片没有移到阻值最大的位置;⑥0.912。
五、计算题(第24题6分,第25题10分,共16分。解答时应写出必要的文字说明、公式和重要的计算步骤,只写出最后答案的不能得分)
24.为了响应国家“低碳环保,节能排放”的号召,我国多地设置了共享单车租借站点。质量为55kg的小明同学在上学的路上租借了一辆自行车,从站点到学校的路程为1500m,骑车用时5min(设小明骑车上学做匀速直线运动)。

请解答下列问题:
(1)小明骑车的速度是多少?
(2)若自行车的质量为15kg,每个轮胎与地面的接触面积为0.005m2,则小明骑车时车对地面的压强是多少?
(3)若自行车匀速行驶中所受阻力为人和车总重的0.1倍,则小明骑车的功率是多少?
【解析】(1)t=5min=300s,则小明骑车的速度:
;
(2)小明骑车时车对地面的压力:F=G总=m总g=(m人+m车)g=(55kg+15kg)×10N/kg=700N,
S=0.005m2×2=0.01m2,
则小明骑车时车对地面的压强:
;
(3)因为单车做匀速直线运动,处于于平衡状态,受到的牵引力和阻力是一对平衡力,二力大小相等,所以牵引力:F牵=f=0.1G总=0.1×700N=70N,
则小明骑车的功率:
。
答:(1)小明骑车的速度是5m/s;(2)小明骑车时车对地面的压强是7×104Pa;(3)小明骑车的功率是350W。
25.小璇回到老家时,天很冷,她发现洗澡需要用一种“浴霸”如图1。该“浴霸”具有照明、吹风和加热三个功能,其中照明灯L1和吹风机(用

表示),均可以单独控制,加热灯L2只有在吹风机启动后才可以工作,如图所示“浴霸”的简化电路图(如图2)及铭牌。
|
额定电压 |
220V |
|
|
照明灯 |
额定功率 |
40W |
|
加热灯 |
额定功率 |
500W |
|
吹风机 |
额定功率 |
50W |

求:(1)照明灯L1正常工作时电阻为多少?
(2)正常工作时通过加热灯L2的电流是多少?
(3)通常在洗前10min只开启加热灯L2取暖给浴室预热,问在这10min内电路消耗的电能是多少?
(4)小璇洗澡时不小心用水喷淋了浴霸,会出现什么危害?
【解析】(1)由
可得,照明灯L1正常工作时电阻:
;
(2)由P=UI可得,正常工作时通过加热灯L2的电流:
;
(3)只开启加热灯L2取暖时,吹风机也会与加热灯L2一起工作,由
可得,在这10min内电路消耗的电能:W=(P2+PM)t=(500W+50W)×10×60s=3.3×105J;
(4)浴霸工作时用水喷淋会引发电源短路等危险。
【答案】(1)照明灯L1正常工作时电阻为1210Ω;(2)正常工作时通过加热灯L2的电流是2.27A;(3)在这10min内电路消耗的电能是3.3×105J;(4)浴霸工作时用水喷淋会引发电源短路等危险。