
文章发布:国家血液系统疾病临床医学研究中心,北京大学人民医院,北京大学血液病研究所
J Clin Oncol重磅报告: 随机对照临床研究证实ATG降低40岁以上血液肿瘤患者同胞相合移植aGVHD、改善生存
1分钟秒懂
1) 年龄>=40岁血液肿瘤患者接受同胞相合造血干细胞移植后II-IV度急性移植物抗宿主病(aGVHD)发生率仍高达30%以上,预防策略亟待优化。
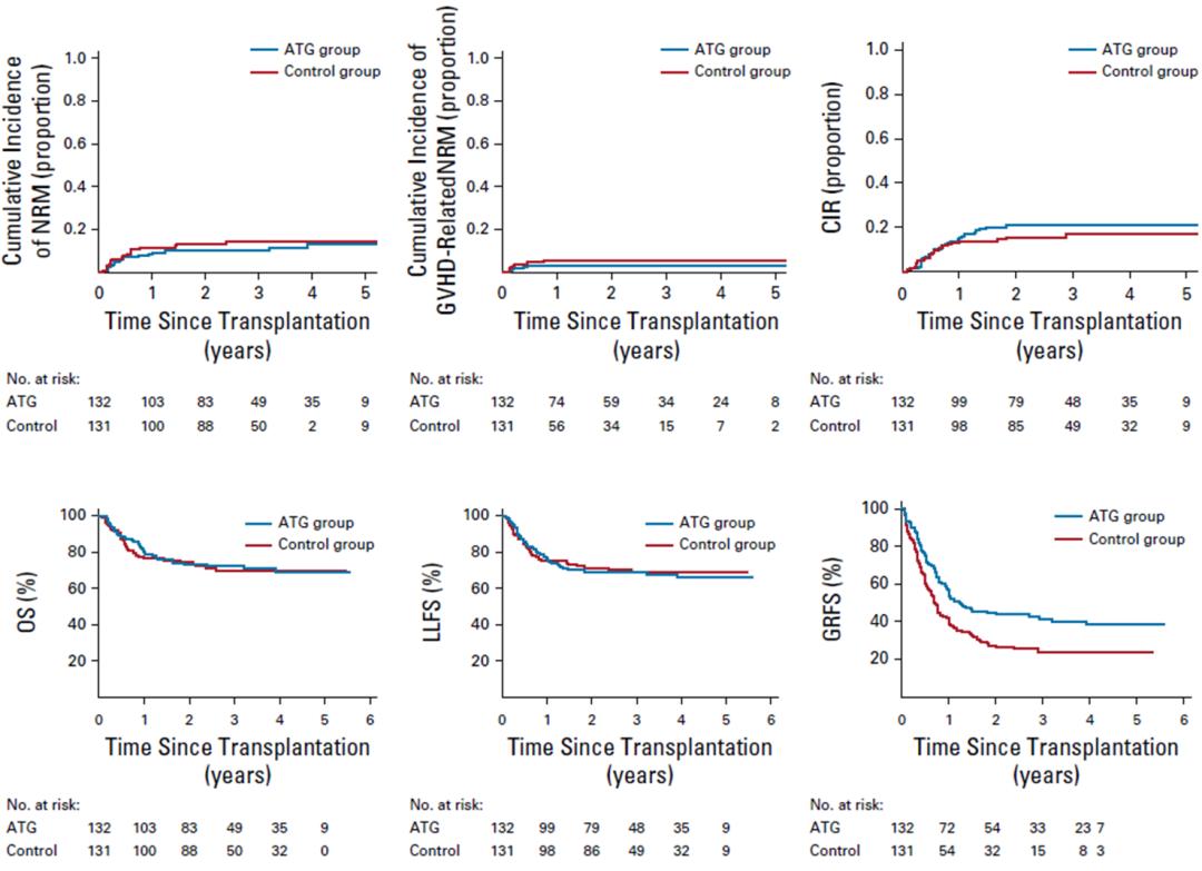
2) 国家中心/北大血研所组织全国23家中心,针对年龄>=40岁、接受同胞相合移植的血液肿瘤患者进行随机对照临床试验,试验组为抗胸腺细胞球蛋白(ATG)4.5mg/kg联合经典GVHD预防方案,对照组为经典GVHD预防方案,试验组有效降低移植后II-IV度aGVHD发生率(试验组 vs. 对照组13.7% vs. 27%),同时改善无GVHD-无复发生存(GRFS:试验组 vs. 对照组 38.7% vs.24.5%),不增加累积复发率(CIR)、非复发死亡(NRM)及感染风险。
3) 本研究为全球首个针对同胞相合移植后aGVHD预防策略优化的前瞻随机对照研究,有望改善中老年患者移植安全性,进一步拓展移植适应人群。以Article 发表于肿瘤学领军期刊J Clin Oncol (IF=32.956)。
4) 欧洲骨髓移植学会(EBMT)现任主席Nicolaus Kröger 教授 在JCO撰文专评:本项设计良好的随机对照试验,为造血干细胞移植的理想境界--降低抗宿主病且不影响抗白血病作用提供了良好证据;无复发、无抗宿主病生存对患者意义非凡。
通讯作者

黄晓军 教授
教授,主任医师,博导
国家血液系统疾病临床医学研究中心(北京) 主任
北京大学血液病研究所所长
北京大学人民医院血液科主任
北京市造血干细胞移植重点实验室主任
简历请点击:国家中心PI 黄晓军
第一作者

常英军 教授
教授,主任医师,博导
国家血液系统疾病临床医学研究中心(北京)
北京大学血液学系主任
北京大学人民医院血液科副主任
中华医学会血液学分分会第十一届委员会委员、实验诊断学组副组长
中华医学会血液学分会第九届、第十届青年委员会副主任委员美国免疫学会国际会员
海峡两岸医药卫生交流协会血液病学专业委员会第二届委员会常委
中国病理生理学会实验血液学会委员
中华医学会细胞生物学分会青委
研究方向:恶性血液病诊治及造血干细胞移植临床及基础研究工作
承担“863”项目、国自然面上、京津冀协同创新项目、京津冀基础研究合作项目、北京市自然科学基金及国际合作项目等课题。国家重点研发计划“干细胞及转化研究”试点专项和国家自然科学基金委创新群体骨干。
发表学术论文近140余篇,其中在J Clin Oncol, Blood, J Hematol Oncol, Leukemia, Haematologcia, Blood Reviews 等期刊上发表SCI论文80余篇;包括与南卡罗莱纳医科大学XZ Yu教授合作在Blood,PNAS和JCI insight杂志发表论文3篇。获国家科技进步二等奖2项,中华医学科技一等奖2项、二等奖1项及教育部高校科技进步一等奖1项。
任《J Hematol Oncol》、《Advance in Therapy》、《中华血液学杂志》和《临床检验杂志》编委;《New England Journalof Medicine》、《Lancet》和《Lancet Heamatol》等20余种国际杂志的审稿专家。
共第一作者

*德吴**沛 教授
教授、主任医师、博导
苏州大学附属第一医院血液科主任
国家血液系统疾病临床医学研究中心(苏州) 常务副主任
江苏省血液研究所副所长
苏州大学临床医学研究院副院长
苏州大学造血干细胞移植研究所所长
第十三届全国政协委员
中华医学会血液学分会十一届委员会主任委员
中华医学会内科学分会常务委员
中国医师协会血液科医师分会副会长
中国研究型医院学会细胞研究与治疗专业委员会副主任委员
中华医学会内科学分会常务委员
中国抗癌协会血液肿瘤专业委员会常务委员
承担包括国家科技支撑计划、“863”、重大新药创制及自然科学基金重点项目等国家级课题14项。以通讯作者名义发表SCI收录论文102篇,多篇代表性论文发表于血液学最高期刊《Blood》、《Leukemia》等杂志。以第一完成人身份获得国家科技进步二等奖2项、省部级一等奖2项、省部级二等奖3项。全国政协委员。第十八届吴杨奖获得者,荣获国际 “EBMT-圣安东尼”骨髓移植成就奖,是全国优秀科技工作者、江苏省先进工作者,江苏省“科教*卫强**工程”医学杰出人才并获省医学突出贡献奖。
共第一作者

赖永榕 教授
教授、主任医师、博导
广西医科大学第一附属医院大内科副主任、血液科主任
中华医学会血液学分会全国常务委员
中国医师协会血液科医师分会全国常务委员
广西血液病学会主任委员
承担国家自然科学基金4项及教育部课题1项
获广西科技进步奖5项(一等奖1项;二等奖1项;三等奖3项)
发表科研论文100余篇
01 研究背景介绍
异基因造血干细胞移植是治疗血液系统恶性疾病的有效手段甚至是唯一治愈手段。急性GVHD是移植后主要并发症之一,伴随很高的移植相关死亡。是移植后的主要死亡原因之一,是影响移植远期生存的主要因素。
目前同胞相合供者造血干细胞移植GVHD预防标准方案为环孢霉素A联合短程甲氨蝶呤及霉酚酸酯(CsA+MTX+MMF)。然而,同胞相合移植后II-IV度aGVHD发生率仍高达20-30%,尤其是年龄>=40岁中老年患者,2014年我国多中心研究提示II-IV度aGVHD可高达35.4%(PMID 25139202),显著高于年龄<40岁的患者,中老年患者移植后aGVHD预防策略亟待优化。
02 研究思路及设计
抗胸腺细胞球蛋白(ATG)是一种多克隆的T细胞抗体,具有在体内去除T细胞的作用。在非血缘移植和单倍体移植中,已有前瞻随机对照研究证实ATG可有效预防aGVHD。而在同胞相合移植中,尚无相应研究证实ATG可进一步预防aGVHD。因此,研究者设计了一项在同胞相合移植中标准GVHD预防方案基础上联合ATG用于预防GVHD的前瞻、随机、对照研究。
入组标准:年龄>=40岁,HLA同胞相合供者,标危血液恶性肿瘤;患者随机入组:试验组(ATG4.5mg+ CsA+MTX+MMF),对照组(CsA+MTX+MMF),主要研究终点为II-IV 度急性GVHD。
03 研究结果
在为期5年的研究期中,中国23个研究中心的263名患者随机分配到ATG组及对照组。
主要研究终点结果显示:试验组II-IV度aGVHD显著降低(试验组 vs. 对照组13.7% vs. 27%,p=0.007)。
其他次要研究终点结果显示:试验组cGVHD显著降低(试验组 vs. 对照组27.9% vs. 52.5%,p<0.001), 重度cGvHD显著减低(试验组 vs. 对照组8.5% vs. 23.2%,,p=0.029)。ATG的使用不增加累积复发率(CIR)、非复发死亡(NRM)及CMV/EBV/IFD/血流感染风险。虽然总体生存率及无病生存率无差异,但ATG的使用显著改善了移植后无GVHD-无复发生存(GRFS:试验组 vs. 对照组 38.7% vs.24.5%,p=0.003)。


04 研究意义
本研究是全球第一个证实ATG在环孢霉素A时代可以有效预防同胞相合移植后aGVHD的前瞻、随机、对照研究。该研究的重要意义在于揭示ATG的GVHD预防作用具有普适性,不依赖于基础GVHD预防方案及移植类型。
欧洲骨髓移植学会(EBMT)现任主席Nicolaus Kröger 教授 在JCO撰文《Preventing Graft-Versus-Host Disease Without Losing Graft-Versus-Leukemia Effect After Allogeneic Stem-Cell Transplantation》对本文进行专门评述:本项设计良好的随机对照试验,为造血干细胞移植的理想境界--降低抗宿主病且不影响抗白血病作用提供了良好证据;无复发、无抗宿主病的生存对患者意义非凡。
因此,本研究为中老年患者提供的GVHD优化预防方案,有利于保障中老年移植安全性,拓展移植适应患者人群,预期将有大量罹患恶性血液肿瘤的中老年患者从本项研究成果中获益。
05 展望
北京大学血液病研究所团队是全球最大及最顶尖的造血干细胞移植中心之一,原创性的“北京方案单倍体移植体系”,成为目前全球使用范围最广泛的单倍体移植体系。这项在同胞相合移植患者中使用ATG研究的成功也提示了以ATG及G-CSF为基础的“北京方案单倍体移植技术体系“不仅适用于单倍体移植体系,可以作为一种普适性的移植方案向不同移植模式推广。多年来,北京大学血液病研究所在完善造血干细胞移植体系上进行了不断的探索和创新,未来将使更多的中国乃至全球血液病患者从中获益。



敬请期待下期资讯,关注*今条头日**【北京大学人民医院眼视光中心】,为您解决心里的烦恼,欢迎留言、评论
