监理工程师计算题考点主要集中在目标控制《建设工程投资控制》,计算考点的题目如果知道计算公式,考生答题就容易,计算过程一般比较简单,套进数值就可以拿分,公式掌握不牢固就束手无策,所以掌握公式很重要,通过对 2022年《建设工程投资控制》教材计算考点 的梳理与整合,建筑资源吧为大家编写了本套计算题考点及公式大全,希望对大家的监理工程师备考能有所帮助与提高。
第一章 建设工程投资控制概述
1.建设工程项目总投资
|
项目类型 |
计算公式 |
举例 |
|
生产性建设项目 |
总投资=建设投资+建设期利息+流动资金 |
工厂 |
|
非生产性建设项目 |
总投资=建设投资+建设期利息 |
房地产 |
|
注意:两者的区别在于 是否含有流动资金 |
||
2.建设投资
建设投资=设备及工器具购置费+建筑安装工程费+工程建设其他费+预备费(包括基本预备费和涨价预备费)
建设投资=静态投资+涨价预备费 (静态投资=建筑安装工程费+设备及工器具购置费+工程建设其他费+基本预备费)
3.固定资产投资
固定资产投资=建设投资+建设期利息
【2021】某生产性项目的建设投资2000万元,建设期利息300万元,流动资金500万元,则该项目的固定资产投资为( )万元。
A.2000 B.2300 C.2500 D.2800
答案:B,固定投资=建设投资+建设期利息=2000+300=2300万元。
4.静态投资
静态投资=建筑安装工程费+设备及工器具购置费+工程建设其他费+基本预备费
【2020】下列费用中,属于静态投资的是( )。
A.建设期利息 B.工程建设其他费
C.涨价预备费 D.汇率变动增加的费用
答案:B,该题属于辨别类考题,B选项属于静态投资的内容,ACD选项属于动态投资的内容。
【2019】某建设项目,静态投资3460万元,建设期*款贷**利息60万元,涨价预备费80万元,流动资金800万元。则该项目的建设投资为( )万元。
A.3520 B.3540 C.3600 D.4400
答案:B,项目建设投资=设备及工器具购置费+建筑安装工程费+工程建设其他费+预备费,静态投资=建筑安装工程费+设备及工器具购置费+工程建设其他费+基本预备费,所以静态投资加上涨价预备费即为项目建设投资=3460+80=3540万元)
5.动态投资
动态投资=建设期利息+涨价预备费
(包含其他建设期价格变动引起的建设投资变化额,如汇率、利率变动)
6.预备费
预备费=基本预备费+涨价预备费
第二章 建设工程投资构成
1.工程费用
工程费用=设备及工器具购置费+建筑安装工程费
【2020】某建设项目,设备工器具购置费1000万元,建筑安装工程费1500万元,工程建设其他费700万元,基本预备费160万元,涨价预备费200万元,则该项目的工程费用为( )万元。
A.2500 B.3200 C.3360 D.3560
答案:A,工程费用=设备及工器具购置费+建筑安装工程费,套进数值到公式即可得到项目工程费=1000+1500=2500万元。
2.工程建设其他费用
工程建设其他费用=建设用地费+与项目建设有关的其他费+与未来生产经营有关的其他费用
3.建筑安装工程费
建筑安装工程费=人工费+材料费(包含设备)+施工机具使用费+企业管理费+利润+规费+税金 (构成要素划分,人材机管利规税)
4.人工费
人工费=计时工资或计件工资+奖金+津贴补贴+加班加点工资+特殊情况下支付的工资
5.材料费
材料费=材料原价+运杂费+运输损耗费+采购及保管费=(材料原价+运杂费)×(1+运输损耗率)×(1+采购保管费率)
工程设备单价=(设备原价+运杂费)×(1+采购保管费率)
【2021】某材料的出厂价2500元/吨,运杂费80元/吨,运输损耗率1%,采购保管费率2%,则该材料的(预算)单价为( )元吨。
A.2575.50 B.2655.50 C.2657.40 D.2657.92
答案:D,单价=(2500+80)×(1+1%)×(1+2%)=2657.916万元。
6.施工机具使用费
施工机具使用费=施工机械使用费+仪器仪表使用费
7.施工机械使用费
施工机械使用费=折旧费+大修理费+经常修理费+安拆费及场外运费+人工费+燃料动力费+税费 (PS:人工费指机上司机和其他操作人员的人工费、燃料动力费指施工机械在运转作业中所消耗的各种燃料及水、电等、税费指施工机械按照国家规定应缴纳的车船使用税、保险费及年检费等)
8.折旧费计算公式
台班折旧费=机械预算价格×(1—残值率)/耐用台班总数
【2019】某施工机械预算价格为30万元,残值率为2%,折旧年限为10年,年平均工作225个台班,采用平均折旧法计算则该机械的台班折旧费为( )元。
A.130.67 B.133.33 C.1306.67 D.1333.33
答案:A,台班折旧费=300000×(1-2%)/(225×10)=130.67元。
9.大修理费计算公式
台班大修理费=一次大修理费×大修次数/耐用台班总数
10.企业管理费
企业管理费=管理人员工资+办公费+差旅交通费+固定资产使用费+工具用具使用费+劳动保险和职工福利费+劳动保
护费+检验试验费+工会经费+职工教育经费+财产保险费+财务费+税金+城建税教育费附加+地方教育费附加+其他 (考试一般不会考计算,能够辨别判断哪些属于企业管理费即可)
【2019】按照有关标准规定,对建筑以及材料、构件和建筑安装物进行一般鉴定、检验所发生的费用在( )中列支。
A.建筑安装工程材料费 B.建筑安装工程企业管理费
C.建筑安装工程规费 D.工程建设其他费用
答案:B,建筑以及材料、构件和建筑安装物进行一般鉴定、检验所发生的费用属于建筑安装工程企业管理费的范畴。
11.规费
规费=社会保险费+养老保险+失业保险+医疗保险+生育保险+工伤保险+住房公积金 (简单记忆五险一金)
【2019】下列费用中,属于建筑安装工程规费的是( )。
A.教育费附加 B.地方教育附加 C.职工教育经费 D.住房公积金
答案:D
12.建筑安装工程费
建筑安装工程费=分部分项工程费+措施项目费+其他项目费+规费+税金
(建筑安装工程费按照造价形成,分措其规税)
【2019】某招标工程,分部分项工程费为41000万元(其中定额人工费占15%),措施项目费以分部分项工程费的2.5%计算,暂列金额800万元,规费以定额人工费为基础计算,规费费率为8%,税率为9%。则该工程的招标控制价为( )万元。
A.46343.530 B.47143.530 C.47215.530 D.47247.794
答案:C,计算过程:
分部分项工程费=41000万元,
措施项目费=41000×2.5%=1025万元,
其他项目费(只有暂列金)=800万元,
规费=41000×15%×8%=492万元,
税金=(41000+1025+800+492)×9%=3898.53万元,
招标控制价=41000+1025+800+492+3898.53=47215.53万元,此类考题题干比较长,考生遇到这类题不用紧张,各个击破,分别计算招标控制价的各项组成费用。
13.措施项目费
措施项目费=安全文明施工费+夜间施工增加费+二次搬运费+冬雨期施工增加费+已完工程及设备保护费+工程定位复测费+特所属地区施工增加费+大型机械设备进出场及安拆费+脚手架工程费
(此类考点选择题更多考辨别,简单记忆:“二大爷脚已冬,特安定”)
(PS:安全文明施工费=环境保护费+文明施工费+安全施工费+临时设施费+实名)
14.其他项目费
其他项目费=暂列金额+计日工+总承包服务费
15.设备购置费
设备购置费=设备原价或进口设备抵岸价+设备运杂费
16.进口设备抵岸价
进口设备装运港船上交货价(FOB)
进口设备抵岸价=货价+国外运费+国外运输保险费+银行财务费+外贸手续费+进口关税+增值税+消费税 (简单记忆货价四费三税)
进口设备货价=离岸价(FOB价)×人民币外汇牌价 (PS:CRF=离岸价+运费)
17.国外运费
国外运费=离岸价×运费率 国外运费=运量×单位运价
18.国外运输保险费
国外运输保险费=(离岸价+国际运费)×国外运输保险费率/(1-国外运输保险费率)
国外运输保险费=到岸价×国外保险费率
19.银行财务费
银行财务费=离岸价×人民币外汇牌价×银行财务费率
20.进口设备到岸价
进口设备到岸价(CIF)=离岸价(FOB价)+国外运费+国外运输保险费
21.外贸手续费
外贸手续费=进口设备到岸价×人民币外汇牌价×外贸手续费率
22.进口关税
进口关税=到岸价×人民币外汇牌价×进口关税税率
【2017】某进口设备,按人民币计算的离岸价为2000万元,国外运费160万元,国外运输保险费9万元,银行财务费8万元。则该设备进口关税的计算基数是( )万元。
A.2000 B.2160 C.2169 D.2177
答案:C,注意提提考查的是关税的计算基数,关税的计算基数为到岸价,进口设备到岸价(CIF)=离岸价(FOB价)+国外运费+国外运输保险费=2000+160+9=2169万元。
23.消费税
消费税=(到岸价×人民币外汇牌价+关税)×消费税率/(1-消费税率)
24.增值税
增值税=组成计税价格×增值税率 (增值税基本税率13%)
组成计税价额=到岸价×人民币外汇牌价+进口关税+消费税 (到关消)
【2021】某进口设备按人民币计算的离岸价格210万元,国外运费5万元,国外运输保险费0.9万元。进口关税税率10%,增值税税率13%,不征收消费税,则该进口设备应纳增值税税额为( )万元。
A.27.300 B.28.067 C.30.797 D.30.874
答案:D,组成增值税的价额包括,到岸价、进口关税、消费税,本题不征收消费税,所以解题的关键在于计算关税,关税=(210+5+0.9)×10%=21.59万元,增值税=(210+5+0.9+21.59)×13%=30.8737万元,因此D选项正确。
25.工器具及生产家具购置费
工器具及生产家具购置费=设备购置费×定额费率
26.基本预备费
基本预备费=(设备及工器具购置费+建筑安装工程费+工程建设其他费)×基本预备费率
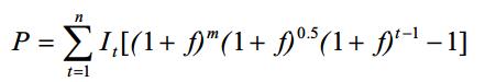
27.涨价预备费

P——涨价预备费
n——建设期年份数
It——建设期第t年的投资计划额
f——投资价格指数
t——建设期第t年
m——建设前期年限
28.建设期利息
建设期利息是指项目借款在建设期内发生并计入固定资产的利息。为了简化计算,在编制投资估算时通常假定借款均在每年的年中支用,借款第一年按半年计息,其余各年份按全年计息。 计算公式为: 各年应计利息=(年初借款本息累计+本年借款额/2)×年利率
【2021】某新建项目建设期2年,计划银行*款贷**3000万元。第一年*款贷**1800万元,第二年*款贷**1200万元,年利率5%。则该项目估算的建设期利息为( )。
A.90.00 B.167.25 C.240.00 D.244.50
答案:B,第一年建设期利息=(1800/2)×5%=45万元,第二年建设期利
息=(1800+45+1200/2)×5%=122.25万元,项目估算的建设期利息=45+122.25=167.25万元。
第三章建设工程项目投融资
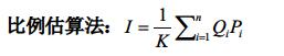
1.资金成本率

K——资金成本率 P——筹资总金额
D——使用费 F——筹资费 f——筹资费率
第四章 建设工程决策阶段投资控制
1.利息利率
单利法:只有本金计息,利息不计利息
I=P×n×i
n个计息周期后的本利和(终值)
F=P+I=P(1+i×n)
复利法:除本金计息外,利息也计利息。
I=P[(1+i)n-1];F=P(1+i) n
【2017】某企业年初从金融机构借款3000万元,月利率1%,按季复利计息,年末一次性还本付息,则该企业年末需要向金融结构支付的利息为( )万元。
A.360.00 B.363.61 C.376.53 D.380.48
答案:C,季度利息i=3×1%=3%,每年计息4次,则企业年末支付利息额=3000×[(1+3%)4-1]=376.526万元,注意要求是求年末支付利息不是本利和。
【2019】某银行给企业*款贷**100万元,年利率为4%,*款贷**年限3年,到期后企业一次性还本付息,利息按复利每半年计息一次,到期后企业应支付给银行的利息为( )万元。
A.12.000 B.12.616 C.24.000 D.24.973
答案:B,年利率4%,则半年利率为2%,3年计息次数6次,因此到期银行利息=100[(1+2%)6-1]=12.616万元。
2.名义利率
实际利率和名义利率(在复利法计算中,一般是采用年利率。若利率为年利率,实际计息周期也是以年计,这种年利率称为实 际利率i;若利率为年利率,而实际计息周期小于一年,如每月、每季或每半年计息一次,这种年利率就称为名义利率 r)
年名义利率:m=1,实际利率 i=名义利率 r;当 m>1 时,i>r;m 越大,二者相差也越大。

【2021】某两年期借款年利率为6%,按月复利计息,每季度结息一次,则该项借款的季度实际利率为( )。
A.1.508% B.1.534% C.1.542% D.1.589%
答案:A,年利率6%,月利率为0.5%,每季度计息利率=(1+0.5%)3-1=1.5075%,因此实际名义利率为1.508%,A选项正确。
3.复利法资金时间价值计算基本公式

【2021】某人连续6年每年末存入银行50万元,银行年利率8%,按年复利计算,第6年年末一次性收回本金和利息,则到期可以回收的金额为( )万元。
A.366.80 B.324.00 C.235.35 D.373.48
答案:A,根据等额资金终值计算公式

4.项目投资额生产能力指数法

C1—已建成类似项目的投资额;
C2—拟建项目投资额;
Q1—已建类似项目的生产能力;
Q2—拟建项目的生产能力;
f—不同时期、不同地点的定额、单价、费用和其他差异的综合调整系数
x—生产能力指数
【2021】采用生产能力指数法估算某拟建项目的建设投资拟建项目规模为已建类似项目规模的五倍,且是靠增加相同规格设备数量达到的,则生产能力指数的合理取值范围是( )。
A.0.2~0.5 B.0.6~0.7 C.0.8~0.9 D.1.1~1.5
答案:C,参考解折:c=c1(Q2/Q1)×f,若已建类似项目规模和拟建项目规模的比值为0.5~2,x的取值近似为1;若已建类似项目规模与拟建项目规模的比值为2~50,且拟建项目生产规模的扩大仅靠增大设备规模来达到,则x的取值约为0.6~0.7;若是靠t增加相同规格设备的数量达到时,x的取值约为0.8~0.9。
5.系数估算法

C——拟建项目资额;
E——与生产能力直接相关的工艺设备投资;
P——已建项目中各专业工程费用与工艺设备投资的比重;
f——表示由于时间因素引起的定额、价格、费用标准等变化的综合系数;
I——拟建工程的其他有关费用。

K——主要设备投资占项目总投资的比重;
Q——第i种主要设备的数量;
P——第i种主要设备的单价(到厂价格);
n——主要设备种类数。
6.投资收益率
总投资收益率(ROI),表示项目 总投资的盈利水平

【2021】]某项目建设投资1200万元,建设期*款贷**利息100万元,铺底流动资金90万元,铺底流动资金为全部流动资金的30%,项目正常生产年份税前利润260万元,年利息20万元,则该项目的总投资收益率为( )。
A.16.25% B.17.50% C. 20.00% D.20.14%
答案:B,此题的难点在于求,全部流动资金,此处,出题人只给出了“铺底流动资金为全部流动资金的30%”,通过铺底流动资金90万元,求得全部流动资金90÷30%=300万元,项目总投资=1200+100+90÷30%=1690万元,正常生产年份税前利润260万元,年利息20万元,息税前利润=260+20=280万元总投资收益率(ROI)=280÷1600=17.5%,因此B选项正确。
【2020】某项目建设投资为2000万元(含建设期*款贷**利息50万元),其中项目资本金1450万元,全部流动资金为500万元;运营期年平均税前利润230万元,年平均借款利息20万元。则项目的总投资收益率为( )。
A.9.2% B.10.0% C.11.5% D.12.5%
答案:B,项目总投资=2000+500=2500万元,息税前利润=230+20=250万元,总投资收益率=250÷2500=10%,注意对题干的数字信息做筛选,选择有用的数据进行计算答题。
7.投资回收期

8.净现值
【2018】已知某技术方案的净现金流量(见下表)。若ic=10%,则该技术方案的净现值为( )万元。
|
计算期(年) |
1 |
2 |
3 |
4 |
5 |
6 |
|
净现金流量(万元) |
-300 |
-200 |
300 |
700 |
700 |
700 |
A.1399.56 B.1426.83 C.1034.27 D.1095.25
答案:D,本题考核的是净现值的计算,这里使用更简单的计算方法如下:

9.内部收益率
内部收益率(IRR)是使方案在计算期内各年净现金流量的现值累计等于零时的折现率。

注意:为保证IRR的精度,i1与i2之间的差距不超过2%为宜,最大不要超过5%,且只适用于常规现金流量的项目。

【2017】某常规投资方案,当*款贷**利率为12%时,净现值为150万元;当*款贷**利率为14%时,净现值为-100万元,则该方案财务内部收益率的取值范围为( )。
A.<12% B.12%~13% C.13%~14% D.>14%
答案:C,这里用我们的秒做法,,因为14%时对应的净现值的绝对值小,所以IRR靠近14%,观察下4个选项,就能秒选出正确的答案。
第五章 建设工程设计阶段投资控制
1.价值工程

V—研究对象的价值;
F—研究对象的功能;
C—研究对象的成本,即周期寿命成本。

【2019】某项目应用价值工程原理进行方案择优,各方案的功能系数和单方造价见下表,则最优方案为(B)。 (建筑资源吧秒记:最优选最大,改进选最小)

A.甲方案 B.乙方案 C.丙方案 D.丁方案
【解析】成本合计=2840+2460+2300+2700=10300元/m2;
各方案的成本系数分别为:
C甲=2840/10300=0.276, C乙=2460/10300=0.239,
C丙=2300/10300=0.223,C丁=2700/10300=0.262;
各方案的价值系数分别为:
V甲=0.202/0.276=0.732,V乙=0.286/0.239=1.197,
V丙=0.249/0.223=1.117,V丁=0.263/0.262=1.004;
显然,乙方案的价值系数最大,为最优方案。
第六章 建设工程招标阶段投资控制
1.投标报价
执行工程量清单招标的,投标人必须按招标工程量清单填报价格。项目编码、项目名称、项目特征、计量单位、工程量必须与招标工程量清单一致。

【2016】某挖沟槽土方项目招标,工程量清单中的土方开挖工程量为200m³,投标人按施工方案计算得到的预算工程量为300m³,按企业定额该子项基价为100元/m³,则该土方开挖的单位报价应为( )元/m³。
A.300 B.200 C.150 D.100
答案:C,根据公式代入数据,投标报价=300×100/200=150元/m³。
第七章 建设工程施工阶段投资控制
1.工程量偏差

S—调整后的某一分部分项工程费结算价;
Q1—最终完成的工程量;
Q0—招标工程量清单列出的工程量;
P1—按照最终完成工程量重新调整后的综合单价;
P0—承包人在工程量清单中填报的综合单价。
【2020】某土方工程,合同工程量为1万m³,合同综合单价为60元/m³,合同约定:当实际工程量增加15%以上时,超出部分的工程量综合单价应予调低,施工过程中由于发包人设计变更,实际完成工程量1.3万m³,监理人与承包人依据合同约定协商后,确定的土方工程变更单价为56元/m³。该土方工程实际结算价款为( )万元。
A.72.80 B.76.80 C.77.40 D.78.00
答案:C,实际工程量1.3万m³>1×1.15=1.15万m³,超出部分工程量予以调低,该土方工程实际结算价款=1×1.15×60+(1.3-1×1.15)×56=77.4万元。
2.综合单价的确定
一是承发包双方协商确定;
二是与招标控制价相联系,当工程量偏差项目出现承包人在工程量清单中填报的综合单价与发包人招标控制价相应
清单项目的综合单价偏差超过15%时,工程量偏差项目综合单价的调整可参考以下公式。

(1)单价调高的情形
“实际工程量<0.85×实际工程量”且“投标单价<0.85×招标价×(1-报价浮动率)”
(2)单价调低的情形
“实际工程量>1.15×实际工程量”且“投标单价>1.15×招标价”
【2017】某分部分项工程采用清单计价,招标控制价的综合单价为350元,投标报价的综合单价为280元,该工程投标报价下浮率为5%,该分部分项工程合同未确定综合单价调整方法,则综合单价的处理方式是( )。
A.调整为282.63元 B.不予调整 C.下调20% D.上浮5%
答案:A,本题考核的是工程价款调整,计算如下:280-350=80%,偏差达到20%,
P1×(1-L)×0.85=350×(1-5%)×0.85=282.63元,由于280元小于282.63元,所以该项目变更后的综合单价按照282.63元调整。
3.采用价格指数进行价格调整

P—需调整的价格差额
P0—约定的付款证书中承包人应得到的已完成工程量的金额。此项金额应不包括价格调整、不计质量保证金的扣留和支付、预付款的支付和扣回。约定的变更及其他金额已按现行价格计价的,也不计在内。
A—定值权重(即不调部分的权重)
Bi—各可调因子的变值权重
Fti—各可调因子的现行价格指数
F0i—各可调因子的基本价格指数
【2021】2019年11月实际完成的某土方工程,按基准日期价格计算的已完成工程的金额为1000万元,该工程定值权重为0.2。各可调因子的价格指数除人工费增长20%外,其他均增长了10%,人工费占可调值部分的50%。按价格调整公式计算,该土方工程需调整的价款为( )万元。
A.80 B.120 C.130 D.150
答案:B,本题考查工程价款的调整,土方工程需调整的价款:

【练习题】某工程约定采用价格指数法调整合同价款,承包人根据约定提供的数据如下表。本期完成合同价款为45万元,其中己按现行价格计算的计日工价款为5万元。本期应调整的合同价款差额为( )万元。

A.-2.85 B.-2.54 C.2.77 D.3.12

注意本题设置的陷阱,在45万的合同价款中,已经按现行价格计算的计日工价款为5万元,所以计算的时候需先要予以扣除,然后在进行工程价款调整计算。
5.报价浮动率
招标工程: 承包人报价浮动率L=(1-中标价/招标控制价)×100%
非招标工程:承包人报价浮动率L=(1-报价值/施工图预算)×100%
6.预付款扣回

【2015】某工程承包合同总额为1200万元,工程主要材料及构件所占比重为60%,工程预付款为合同总额的20%,则工程预付款起扣点为( )万元。
A.400 B.600 C.800 D.1000
答案:C,本题考查工程预付款起扣点,根据公式
,大家对预付款的起扣点公式一定要掌握牢固。
7.赢得值法
(1)赢得值法的三个基本参数
已完工作预算投资(BCWP)=已完工作量×预算单价
计划工作预算投资(BCWS)=计划工作量×预算单价
已完工作实际投资(ACWP)=已完工作量×实际单价
(2)赢得值法的四个评价指标
|
评价指标 |
含义 |
|
投资偏差CV |
当CV为负值时,表示项目运行超出预算投资; 当CV为正值时,表示项目运行节支,实际投资没有超出预算投资。 |
|
进度偏差SV |
当SV为负值时,表示进度延误,实际进度落后于计划进度; 当SV为正值时,表示进度提前,实际进度快于计划进度。 |
|
投资绩效指数CPI |
当CPI<1时,表示投资超支,即实际投资高于预算投资; 当CPI>1时,表示投资节支,即实际投资低于预算投资。 |
|
进度绩效指数SPI |
当SPI<1时,表示进度延误,即实际进度比计划进度拖后; 当SPI>1时,表示进度提前,即实际进度比计划进度快。 |

【2021】某地下工程,计划到5月份累计开挖土方1.2万m3,预算单价为90元/m3。经确认,到5月份实际累计开挖土方1万m3,实际单价为95元/m3,该工程此时的投资偏差为( )万元。
A.-18 B. -5 C.5 D.18
答案:B,本题考查投资偏差,根据投资偏差计算公式,投资偏差CV=已完工作预算投资-已完工作实际投资=已完工作量×预算单价-已完工作量×实际单价=1×90-1×95=-5万元,因此B选项正确。
【2018】某工程施工至2018年3月底,经统计分析:已完工作预算投资为580万元,已完工作实际投资为570万元,计划工作预算投资为600万元,该工程此时的进度偏差为( )万元。
A.-30 B.-20 C.-10 D.10
答案:B,本题考查进度偏差,根据进度偏差计算公式,进度偏差SV=已完工作预算投资-计划工作预算投资=580-600=-20万元,因此B选项正确。
【2018】某工程施工至2017年12月底,经统计分析:已完工作预算投资为480元,已完工作实际投资为510万元,计划工作预算投资为450万元,该工程此时的投资绩效指数为( )。
A.0.8 B.0.94 C.1.06 D.1.07
答案:B,本题考查投资绩效指数,根据投资绩效指数计算公式,投资绩效指数CPI=已完工作预算投资/已完成工作实际投资=480/510=0.941,因此B选项正确,掌握牢计算公式,答题中的困难都会迎刃而解。