(《怎样解题》是美国数学家波利亚写的关于解题方法和教育方法的著作。原著虽然经典,但是结构松散,阅读体验不佳。我们把原著的内容加以整理,用更通俗的例题做示范,供大家参考。)
上一期我们讲了特殊化的方法,要找解题的思路,可以先考虑找一个简单的特例。点这里看上一期:《怎样解题(四):考虑这道数学题的一个特例》
有了从一般到特殊,自然也有从特殊到一般。这一期要讲的方法,非常的辩证唯物主义,就是普遍化。

普遍化是从对一个对象的考虑过渡到对包括词对象在内的一系列对象的考虑,或者是从对一个限定的集合的考虑过渡到对包括这个限定的集合在内的一个更广泛的集合的考虑。
上面一句刷刷过去就好,普遍化(或者叫一般化,反正英文都是一个词)其实就是:先考虑一道“大题目”。
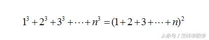
原书里举的例子,正好和我们之前讲过的类似:

当时我们是这么讲的,先依次观察前面几项的和,发现它们分别等于1,9,36,100……,都是完全平方数。
于是我们猜测,是不是自然数前n项的立方和都是完全平方数。
经过证明,我们得到了一个公式:

再计算原题的答案就很简单了。详细讲解请见:《这道数学题稍微有点难,但可以培养很好的思维方法》
题目虽然是具体的,但题目的特征被具体的数字掩盖住了,解决起来并不容易,只有先绕一个弯,解决相应的一般性的问题,才能发现解题的关键。
为了解这道题,我们先举出几个特殊的例子,再把观察的结果归纳起来,就是特殊化+普遍化的方法。
用普遍化的方法解题,最困难的地方,在于找到一道合适的“大题目”。比如下题:

显然,解这道题只能用普遍化的方法。
按照前一题的归纳方法,我们先拿前几项试试看:(因数分解没有什么好办法,要么会背,要么上网找个质因数分解器)
11是质数
111=3×37
1111=11×101
11111=41×271
111111=3×7×11×13×37
不知道你看出什么来没有,反正我是一脸懵。

做不出来了?等等,还有一头没试呢。要证明苹果不等于梨,在苹果上看不出什么花样来,为什么不试试梨呢:能不能证明完全平方数不是11,111,…?
首先,偶数的平方数可以去掉了,偶数的平方还是偶数,所以这里没它们什么事。
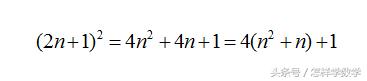
奇数的平方数呢,我们把它们一个个写出来,分别是1,9,25,49,81,121,……
好像有点意思。没错,它们除以4的余数都是1。这个很好证明:

那么11,111,1111这样的数呢?它们的最后两位都是11,所以这些数除以4的余数都是3。这样我们就可以证明了,这些数都不是完全平方数。
用普遍化的方法解题是有挑战性的工作,(除非题目你已经很熟悉了),其中最重要的一步是找到一个好的一般性问题。这需要扎实的知识基础,大胆的想象力,还有一点点天分。
下面这道题,题面很短,但要是直接做的话,困难不小。如果能合理用到普遍化(一般化)的方法,初中生也能轻松解决:

更多数学学习的文章,请订阅微信公众号【怎样学数学】。微信搜索【howtolearnmath】,即可关注