摘 要:常规的热处理质量评定方法需对材料进行破坏性加工,效率低下,且不适用于产品批量 检验.针对这一缺点,提出基于矫顽力(Hc)的磁滞无损评估方法,研究了不同热处理条件下,碳钢 显微组织及力学性能与矫顽力的关系.结果表明:碳钢3种典型显微组织对应不同的矫顽力水平, 其顺序为 Hc马氏体 >Hc珠光体 >Hc铁素体 ;常用力学性能指标与矫顽力近似成线性关系;通过测定矫顽 力既可以快速辨别碳钢的显微组织,又能对力学性能实现定量预测,因此可用于其热处理质量的预 评定.
关键词:矫顽力;热处理;显微组织;力学性能;预评定
中图分类号:TG115 文献标志码:A 文章编号:1001G4012(2020)02G0001G05
常规的热处理质量评定方法有金相检验和力学 性能试验,需要对材料进行切割、抛光等破坏性加 工,效率低下,且抽样检验的方法不适用于质量要求 严格、需逐个检验的工件[1].为了更好地节约钢铁 材料热处理质量检验的时间和成本,引入无损检测 技术的需求越来越大.
磁性法无损检测可直接得到磁性能参数(矫顽 力 Hc、剩磁 Br、磁滞损耗和饱和磁化强度 Ms 等, 其中矫顽力是描述材料磁滞特性的典型参数,源于 磁畴壁运动的不可逆性)与材料性能的关系,已广泛 应用于钢和铸铁工件的检验中[2G3].JILES [4]研究 了显微组织和含碳量对碳钢磁性能的影响,当碳的 质量分数超过0.2%时,晶粒尺寸对磁性能的影响 不大.BATISTA 等[5]基于矫顽力、巴克豪森噪声 对钢和铸铁中的渗碳体含量进行了无损评价,结果 表明随着渗碳体体积分数增加,矫顽力大小与碳含 量有一定关系.BYEON 等[6]认为矫顽力和剩磁可 用于成分辨识、珠光体层间距和共析钢强度的定量 评价.此外,以矫顽力为测量参数的磁滞无损评价技术可用于分析不同淬火、回火温度下双相钢的马 氏体体积分数 和 力 学 性 能[7G8].TANNER 等[9]观 察到矫顽力与晶粒尺寸的倒数成线性关系,其与铁 素体和珠光体的关系如下

式中:φp和φf分别为珠光体和铁素体的体积分数; dp 和df 分别为珠光体和铁素体的晶粒尺寸;c1 和 c2为常数.
一般来说,当材料中某一组分大量存在时(如铁 素体基体中的珠光体),即有可能主导整体的磁性行 为.YOSHINO 等[10]指出铸铁中珠光体的体积分 数小于17%时,不会对矫顽力产生显著影响;当珠 光体的体积分数大于60%时,矫顽力与珠光体成比 例增加,而与晶粒尺寸无关.虽然通过监测钢铁材 料的磁性参数可以对钢铁材料的晶粒尺寸、相含量、 热处理条件和力学性能等进行评价,但多种冶金因 素都有可能影响材料的磁性能和力学性能,因此需 要进行深入研究,以便在实际情况下更好地应用这 些技术.研究各种磁性能参数与力学性能之间的定 量关系,既有助于热处理质量的精确控制,也有助于 磁性无损检测技术在钢铁性能评估中的应用.
笔者系统地阐述了基于矫顽力的无损评估方法, 并结合两种常见碳钢的热处理试验和力学性能试验, 对材料的显微组织、力学性能与矫顽力参数进行了关 联,以期获得较为准确的磁性参数与力学性能的经验 关系,为材料热处理质量的预评定提供参考.
1 基于矫顽力的无损评估技术
铁磁性材料可通过外部施加的时变电磁场进行 磁化,从而发生畴壁位移和磁畴转动,该过程可利用 磁滞回线表示.磁滞特性取决于材料内部的微观结 构,磁畴壁在运动过程中必须克服各种微结构障碍, 这是出现磁滞行为的本质原因.基于磁滞行为与微 观结构、残余应力、局部缺陷间的相互关系可开发出 磁滞无损评估技术,用于评估材料微观结构和缺陷 密度变化导致的相应力学性能的变化,从而表征材 料的固有特性.由图1可知,磁感应强度B 和磁场 强度H 具有非单值性,同时BGH 曲线还具有非线 性及饱和性.

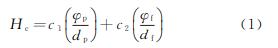
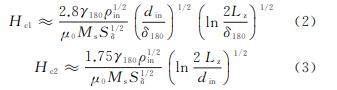
根据经典的直流磁化和循环理论,铁磁性材料的 矫顽力是由阻止磁畴边界不可逆位移的平均力决定 的,微结构障碍可能是夹杂物、位错、残余应力、晶界 以及其他晶格不均匀性和缺陷.当晶体内部夹杂物的钉扎效应起主要作用时,矫顽力可由下式表示[11]

式中:Hc1为小尺寸夹杂物引起的矫顽力;Hc2为大尺 寸夹杂物引起的矫顽力;din为夹杂物的平均直径;Lz 为磁畴体的当量长度;ρin为体积密度;δ180为夹杂物的 厚度;Sδ 为夹杂物的面积;γ180为180°磁畴壁单位面 积的表面能;Ms 为饱和磁化强度;μ0为常数.
当晶体内部位错引起的应力起主要作用时,矫 顽力可表示为[12]

式中:r 为位错密度;G 为弹性模量;μ 为泊松比;b 为 Burgers参量;λs 为饱和磁致伸缩量.
由以上公式可知,矫顽力对微观结构和化学成 分非常敏感,在很多情况下,其与力学性能也有很好 的相关性,而且不受尺寸和提离效应的影响[13G14]. 钢铁材料经过热处理后,组织结构发生变化,矫顽力 也随之变化,因此可通过测定热处理前后钢铁件的 矫顽力来表征其微观结构和性能变化.
2 显微组织与矫顽力的关系
2.1 试验方法
试验材料为某高碳钢,其主要化学成分(质量分 数)为0.855% C,0.21% Si,0.51% Mn,0.01% P, 0.006% S.通过调节奥氏体化温度、等温冷却或连 续冷 却 等 热 处 理 条 件 来 改 变 试 样 显 微 组 织 (见 表1),并将部分试样在700 ℃下进行150h的球化 热处理,以形成稳定的铁素体相,然后使用振动探针 式磁强计测量试样的矫顽力,每个试样测量5次取 平均值.

2.2 试验结果与讨论
试验用高碳钢在不同热处理条件下的3种典型 显微组织如图2所示.图2a)所示为水淬冷却获得的 板条马氏体,图2b)所示为经过连续冷却获得的层状 珠光体,图2c)所示为经过球化处理后获得的铁素 体+球状渗碳体.对试样的矫顽力进行测量,得到 1,2号试样的矫顽力分别为2.70,2.70kAm-1;3, 4号试样的矫顽力分别为1.79,1.63kAm-1;5,6号试样的矫顽力分别为1.45,1.47kAm-1.可以看 出马氏体的矫顽力平均值(2.70kAm-1)远高于珠 光体的(1.71kAm-1)和铁素体的(1.46kAm-1). 这是因为板条马氏体的位错密度非常高,位错线相 互聚集和纠缠,引起周围微应力集中,从而固定磁畴 壁,形成较强的钉扎效应[15G16].从这个意义上讲, 马氏体相的高矫顽力源于位错引起的微应力集中, 当然过饱和间隙碳原子也可能阻碍磁畴壁移动,从 而产生更高的矫顽力.对于珠光体相,LO 等[17]认 为铁素体基体与渗碳体片层产生的残余应力使得磁 畴壁更倾向于固定在渗碳体片层,层间距越小,两相 之间的接触面越大,阻碍磁畴壁移动的概率越高. 球化处理的试样显微组织为铁素体+球状渗碳体, 其矫顽力主要源于渗碳体颗粒对磁畴壁的阻碍,相 对于上述两种钉扎效应,该条件下产生的矫顽力最 小.因此,不同显微组织的矫顽力大小顺序可初步 确定为:Hc马氏体 >Hc珠光体 >Hc铁素体 .不同的显微组 织或相决定了不同的矫顽力水平,这将有助于快速 辨别钢铁件热处理后的显微组织.

3 力学性能与矫顽力的关系
3.1 试验方法
试验材料为某低碳钢,其主要化学成分[18](质 量分 数 )为 0.168% C,0.025% Si,1.34% Mn, 0.031% Al,0.011% Cr,0.007% S,0.013% P, 0.006% Cu,0.011% Ni,0.005% N,0.028% Ti, 0.048% V.将 试 验 材 料 加 工 成 标 准 试 样 后 分 为 3组,每组对应一种特定的热处理工艺,见表2.采 用通用硬度计测量热处理后试样的维氏硬度,载荷 为9.8N(1kgf);利用250kN 万能拉伸试验机对试 样的屈服强度、抗拉强度和断后伸长率等力学性能 进 行 测 试;便 携 式 无 损 检 测 仪 在 磁 化 场 强 度 80kAm-1和磁化频率50MHz条件下进行误差调 节后,对试样的磁滞参量进行测量,然后分析矫顽力 与力学性能之间的定量关系.

3.2 试验结果与讨论
3组试样的力学性能试验结果见表3.采用水 淬、油淬的冷却方式(第8,9组),试样显微组织以板 条马氏体为主,其强度和硬度均较高,塑性较差.采 用空冷的冷却方式(第7组),试样显微组织以层状 珠光体为主,其强度和硬度较低,塑性明显提高.

矫顽力可以用来表征钢铁材料的磁硬度,故与 力学性能密切相关[19].在油淬和水淬冷却条件下, 随着马氏体转变及扩散作用,磁畴壁的钉扎效应导 致矫顽力变大,位错阻塞也使得材料强度或硬度相 应提高.空冷时,磁性能与力学性能的变化则源于 珠光体带的破坏和长大过程.珠光体层间距变化或 渗碳体分化也会引起磁性能和力学性能改变[20].
矫顽力与低碳钢试样力学性能的关系如图3所 示,对试验数据分别进行拟合,可得到矫顽力与力学 性能的经验关系式,具体如下


由式(5)~(8)可知,不同热处理条件下,低碳钢 试样的力学性能与矫顽力近似成线性关系,这说明 通过监测钢铁材料的矫顽力变化即可实现对力学性 能的定量预测.其中矫顽力与抗拉强度和硬度的关 系曲线的拟合度高达 0.9,可优先作为评 估 指 标. 除此之外,MOHAPATRA 等[18]的研究证明矫顽力 与扫频激励法对力学性能的评估结果具有很好的一 致性,表明基于矫顽力的无损评估方法可用来预评 估热处理后钢铁件力学性能的变化趋势.
4 结论
(1)矫顽力对碳钢显微组织非常敏感,马氏体 相由于高密度位错阻碍磁畴壁移动,其矫顽力最大; 珠光体相铁素体基体与渗碳体片层引起局部微应力集中,矫顽力次之;铁素体相中分散的渗碳体颗粒影 响磁畴壁运动,矫顽力最小.
(2)不同热处理条件下,碳钢的常用力学性能 指标与矫顽力近似成线性关系,其中抗拉强度和硬 度与矫顽力有很好的关联性.
(3)基于矫顽力的无损评估技术,既能快速辨 别碳钢的显微组织,又能对力学性能实现定量预测, 可用于碳钢的热处理质量预评定.
参考文献:
[1] 路胜卓.磁记忆用于材料热处理质量评估的方法研 究[D].哈尔滨:哈尔滨工业大学,2007.
[2] KULEEV V G,TSARKOVA T P.Effectofplastic deformationsandheattreatmentonthebehaviorof thecoerciveforceunderload[J].The Physicsof MetalsandMetallography,2007,104(5):461G468.
[3] MIERCZAK L,JILES D C,FANTONI G.A new methodforevaluationofmechanicalstressusingthe reciprocalamplitude of magnetic barkhausen noise [J].IEEE Transactionson Magnetics,2011,47(2): 459G465.
[4] JILES D C.Review of magnetic methods for nondestructive evaluation[J].NDT International, 1988,21(5):311G319.
[5] BATISTAL,RABE U,ALTPETERI,etal.Onthe mechanismofnondestructiveevaluationofcementite contentinsteels using acombination of magnetic Barkhausen noise and magnetic force microscopy techniques[J].Journalof Magnetism and Magnetic Materials,2014,354:248G256.
[6] BYEONJ W,KWUN SI.Magneticnondestructive evaluationofthermallydegraded2.25CrG1Mosteel [J].MaterialsLetters,2004,58(1/2):94G98.
[7] GHANEIS,SAHEB ALAM A,KASHEFIM,etal. Nondestructivecharacterizationofmicrostructureand mechanicalpropertiesofintercriticallyannealeddualG phasesteelby magneticBarkhausennoisetechnique [J].MaterialsScienceandEngineering:A,2014,607 (23):253G260.
[8] GHANEI S, KASHEFI M, MAZINANI M. Comparativestudyofeddycurrentand Barkhausen noise nondestructive testing methods in microstructural examination of ferriteGmartensite dualGphase steel[J].Journal of Magnetism and MagneticMaterials,2014,356:103G110.
[9] TANNERBK,SZPUNARJA,WILLCOCKSN M, etal.Magneticand metallurgicalpropertiesofhighG tensilesteels[J].JournalofMaterialsScience,1988, 23(12):4534G4540.
[10] YOSHINO M,TANABE H,SAKAMOTO T,etal. Nondestructive measurementofgrainsizeinsteel platesbyusingmagneticcoerciveforce[J].Materials ScienceForum,1996,210:45G54.
[11] BIDA G V,NICHIPURUK A P.Coercive force measurementsinnondestructivetesting[J].Russian JournalofNondestructiveTesting,2000,36(10):707G 727.
[12] MÁLEKZ.Astudyoftheinfluenceofdislocationson someofthemagneticpropertiesofpermalloyalloys [J].CzechoslovakJournalofPhysics,1959,9(5): 613G626.
[13] 杨理践,孙宏亮,高松巍,等.基于矫顽力的钢板应力 检测技术[J].无损检测,2018,40(3):5G9.
[14] 孙燕华.Q245R 钢 磁 特 性 对 应 力 的 映 射 规 律 研 究 [D].济南:山东大学,2016.
[15] BYEON J W, KWUN S I. Evaluation of microstructuresofvariouslyheattreatedcarbonsteel by magnetic coectivity measurement[J].Physica StatusSolidi(b),2004,241(7):1697G1700.
[16] 计云萍,刘宗昌,任慧平,等.高碳钢中马氏体的组织 结构及形成机制[J].机械工程材料,2013,37(3):1G4.
[17] LO C C H,JAKUBOVICS J P,SCRUBY C B. Monitoringthe microstructureofpearliticsteelsby magnetoacousticemission[J].Journalof Applied Physics,1997,81(8):4069G4071.
[18] MOHAPATRAJN,MOHANTYS,DABBIRUSK, et al. Correlation of magnetic properties with mechanicalpropertiesofahightensilegradesteelin variousheattreatedconditions[J].Transactionsof theIndianInstituteof Metals,2018,71(10):2361G 2374.
[19] SANDOMIRSKIIS G.Estimation oftheultimate tensile strength of steel from its HB and HV hardnessnumbersand coerciveforce[J].Russian Metallurgy(Metally),2017,11:989G993.
[20] MOHAPATRA J N, KAMADA Y. Magnetic hysteresisloop as a tool for the evaluation of spheroidizationofcementitesinpearliticsteels[J]. Journalof MaterialsEngineeringand Performance, 2015,24(4):1551G1557.
<文章来源>材料与测试网 > 期刊论文 > 理化检验-物理分册 > 56卷 > 2期 (pp:1-5)>