迎战中考2022年物理一模
湖南岳阳卷
(本卷共23小题,考试时间:90分钟 试卷满分:100分)
一、选择题(本大题共12小题,每小题3分,共36分。在每小题给出的四个选项中,只有一个选项符合题意)
1.学习物理时经常要进行估测,下列是对生活相关物理量的估测,明显不合理的是( )。
A.初二男生的身高约是1.6m B.人正常步行速度为1.2m/s
C.一眨眼的时间约为2s D.一枚1元硬币的厚度约为2mm
【答案】C。
【解析】A.成年人的身高在170cm左右,初二男生的身高略小于成年人,在160cm即1.6m左右,故A不符合题意;
B.人正常步行的速度在4km/h即1.1m/s左右,接近1.2m/s,故B不符合题意;
C.人们常用“眨眼之间”形容时间短暂,正常人眨一次眼的时间不到0.5s,故C符合题意;
D.5 枚一元硬币叠放的高度约10mm,所以一枚一元硬币的厚度在2mm左右,故D不符合题意。故选C。
2.关于声现象,下列说法中正确的是( )。
A.声音在真空中传播的速度为340m/s;
B.道路两旁的隔音墙在在声源处减弱噪声;
C.课堂上能听到老师讲课的声音,是由于空气能够传播声音;
D.根据音调可以辨别出不同乐器发出的声音
【答案】C。
【解析】A.声音的传播需要介质,不能在真空中传播,故A错误;
B。公路旁安装隔音板是为了在传播过程中减弱,故B错误;
C。声音传播需要介质,因此课堂上能听到老师讲课的声音,是由于空气能够传播声音,故C正确;
D。我们能辨别不同乐器发出的声音,这是根据发声体的音色不同,故D错误。故选C。
3.我市滨河景区湿地公园是全国最大的城市湿地公园,大量珍稀水禽在此迁徙繁殖,如图所示,一只白鹭正在平静的水面上展翅起飞。关于白鹭在水中所成的像,下列说法正确的是( )。

A.水中的像是光的折射形成的;
B.白鹭飞得越高,水中的像越小;
C.河水越深,水中的像离水面越远;
D.水中的像与白鹭关于水面对称
【答案】D。
【解析】A.白鹭在水中所成的像,是平面镜成像,属于光的反射,故A错误;
B.根据平面镜成像的特点:像与物大小相等,可知白鹭飞得越高,水中的像大小不变,故B错误;
C.根据平面镜成像的特点:像与物到平面镜的距离相等,可知不会因为河水变深导致水中的像离水面越远,故C错误;
D.根据平面镜成像的特点:平面镜所成的像与物体关于镜面对称,可知水中的像与白鹭关于水面对称,故D正确。故选D。
4.关于温度、热量、内能的关系,下列说法正确的是( )。
A.冰熔化时吸收热量,内能增加,分子的运动越来越剧烈;
B.物体的温度升高,一定是从外界吸收了热量;
C.对物体做功,它的内能一定增加,温度不一定升高;
D.物体的温度升高,内能一定增加
【答案】D。
【解析】A.冰熔化时吸收热量,内能增加,温度不变,分子的运动与温度有关,所以分子运动剧烈程度不变,A错;
B.物体的温度升高,可是是外界对物体做了功,或者是从外界吸收了热量,B错;
C.对物体做功,如果同时向外传递热量,它的内能可能不变,C错;
D.物体的温度升高,内能一定增加,说法正确;故选D。
5.一辆小车在水平面上做匀速直线运动,以下几对力中属于相互作用力的是( )。
A.小车的重力和水平面对小车的支持力;
B.小车受到的推力和地面对小车的摩擦力;
C.小车受到的支持力和水平面受到的压力;
D.小车的重力和水平面受到的压力
【答案】C。
【解析】A.小车的重力和水平面对小车的支持力作用在同一物体上,大小相等、方向相反,作用在同一直线上,是一对平衡力,故A不符合题意;
B.小车在水平面上做匀速直线运动,其受到的推力和地面对其的摩擦力作用在同一物体上,大小相等、方向相反,作用在同一直线上,是一对平衡力,故B不符合题意;
C.小车受到的支持力和水平面受到的压力分别作用在两个物体上,大小相等、方向相反,作用在同一直线上,是一对相互作用力,故C符合题意;
D.小车的重力和水平面受到的压力方向都是竖直向下,不是一对相互作用力,故D不符合题意。
故选C。
6.如图,在标准大气压下,把装有酒精的试管放在烧杯中,再倒入刚烧开的烫水,未对烧杯加热。标准大气压下酒精的沸点是78℃,水的沸点是100℃。下列分析正确的是( )。

A.试管内的酒精一定不会沸腾,因为没有加热;
B.试管内酒精的温度可以升高到85℃;
C.烧杯中的水温将一直保持100C不变;
D.试管内的酒精可能会沸腾
【答案】D。
【解析】AD.酒精可能从水中吸收热量,可能沸腾,故A错误,D正确;
B.酒精沸腾后,温度不变,故温度只会保持在78℃,或者最后全部汽化完,不会升到了85℃,故B错误;
C.烧杯中的水会放热,内能减小,温度降低,故C错误。故选D。
7.下列做法符合安全用电原则的是( )。
A.大功率用电器的金属外壳要接地 B.空气开关跳闸后要立即合上开关
C.用湿抹布擦去发光灯泡上的灰尘 D.若家庭电路起火迅速用冷水浇灭
【答案】A。
【解析】A.为了防止漏电使用电器外壳带电使人触电,大功率用电器的金属外壳要接地,故A符合安全用电原则,符合题意;
B.空气开关跳闸后要先检查电路故障,待故障解决后再合上开关,故B不符合安全用电的原则,不符合题意;
C.因为水是导体,用湿抹布擦去发光灯泡上的灰尘可能使人触电,故C不符合安全用电的原则,不符合题意;
D.若家庭电路起火应该先切断电源然后再灭火,故D不符合安全用电的原则,不符合题意。故选A。
8.关于能源信息与材料。下列说法不正确的是( )。
A.核反应堆中发生的链式反应,是可以控制的;
B.化石能源和核能都属于可再生能源;
C.5G和4G通讯信号的电磁波在真空中传播的速度相等;
D.若用超导材料制造输电线可大大降低电能损耗
【答案】B。
【解析】A.核反应堆中发生的是重核裂变的链式反应,是可以控制的,应用在核能发电方面,故A正确,A不符合题意;
B.化石能源和核能用过之后都不可再生,都属于不可再生能源,故B不正确,B符合题意;
C.电磁波的波速是一个定值,与波长和频率无关。5G和4G通讯信号的电磁波在真空中传播的速度相等,故C正确,C不符合题意;
D.超导是指导体电阻为0,若用超导材料制造输电线可大大降低电能损耗,故D正确,D不符合题意。
故选B。
9.下列有关机械做功、功率、机械效率的说法,正确的是( )。
A.效率越高的机械,功率越大 B.做功越多的机械,功率越大
C.做有用功越多的机械,效率越高 D.功率越大的机械,做功越快
【答案】D。
【解析】A.功率指做功的快慢,取决于做功的多少和做这些功所用的时间;效率是有用功与总功之比。两者没有必然的联系,故A错误;
B.功率是由做功的多少和做这些功所用的时间共同决定的,做功多的机械,功率不一定大,故B错误;
C.效率的高低取决于有用功占总功的比例,做有用功多的机械,效率不一定高,故C错误;
D.功率就是表示机械做功的快慢,功率越大,表示机械做功越快,故D正确。故选D。
10.下列各图所示的工具,正常使用时省力的是( )。
A.

镊子 B.

羊角锤
C.

定滑轮 D.

筷子
【答案】B。
【解析】AD.镊子、筷子在使用时,动力臂小于阻力臂,是费力杠杆,不省力,故AD不符合题意;
B.羊角锤在撬钉子时,动力臂大于阻力臂,是省力杠杆,可以省力,故B符合题意;
C.定滑轮是等臂杠杆,不能省力,故C不符合题意。故选B。
11.任何物体能够承受的压强都有一定的限度,超过这个限度,物体会被压坏。下列实例中,分析不正确的是( )。
A.施加相同压力,图钉尖面积越小,越容易压入墙面;
B.用菜刀将肉切成肉片时,刀口越钝,所用压力越小;
C.列车很重,在铁路的钢轨下铺放轨枕,可以防止压坏路基;
D.“奋进号”潜入深海,承受的压强很大,需用特殊材料建造
【答案】B。
【解析】A.施加的压力相同时,图钉的面积越小,对墙面的压强便越大,所以越容易压入,故A正确,不符合题意;
B.菜刀的刀口越钝,同受力面积越大,用相同的力,则作用效果即压强越小,故B错误,符合题意;
C.在铁路的钢轨下铺轨枕,可以增大受力面积,从而减小压强,防止压坏路基,故C正确,不符合题意;
D.奋进号潜入深海时,深度很大,承受的压强很大,所需的材料需要抗压性很强,故D正确,不符合题意。故选B。
12.如图甲所示,小灯泡L的额定电压为5V,滑动变阻器R的最大阻值为60

,电流表量程为“0~0.6A”,电压表量程为“0~15V”,电源电压恒定。闭合开关S,在保证电路安全的前提下,最大范围调节滑动变阻器的滑片P,绘制了电流表示数与电压表示数关系图像如图乙所示,电流表示数与滑动变阻器R连入电路阻值的变化关系图像如图丙所示。则下列说法中正确的是( )。

A.电源电压为5V
B.小灯泡正常发光时电阻为2.5

C.当电压表示数为1V时,滑动变阻器消耗的电功率为2.5W
D.当电压表示数为2V时,小灯泡和变阻器消耗的功率之比为1:4
【答案】D。
【解析】滑动变阻器与小灯泡串联,乙、丙图相结合
A.电路中电流为0.5A时,滑动变阻器的阻止为10Ω,电源电压为

,故A错误;
B.小灯泡正常发光时电阻为

,故B错误;
C.当电压表示数为1V时,电路中的电流为0.2A,滑动变阻器消耗的电功率为

,故C错误;
D.当电压表示数为2V时,变阻器两端的电压为8V,小灯泡和变阻器串联,消耗的功率之比为

,故D正确。故选D。
二、填空题(本大题共4小题,每空2分,共16分)
13.学习了密度知识后,小华同学想知道橡皮擦的密度。他用调节好的托盘天平测橡皮擦的质量,天平平衡时右盘砝码和游码位置如图所示,再用量筒测出橡皮擦的体积为10

,则该橡皮擦的密度为______

。若把橡皮擦截去一半,剩余部分的密度______(选填“变大”“变小”或“不变”)。

【答案】2.16;不变。
【解析】(2)由图可知,游码1g之间有5个小格,1小格代表0.2g,游码的示数为1.6g,橡皮擦的质量

橡皮擦的密度

;
(2) 密度是物质的一种特性,若把橡皮擦截去一半,剩余部分橡皮擦的质量、体积均变为原来的一半,由

可知,密度不变。
14.如图是研究电磁铁磁性的电路图,则电磁铁的S极为_____(选填“A”或“B”)端;当滑动变阻器的滑片P向右移动时,电磁铁的磁性变_____(选填“强”或“弱”)。

【答案】B;弱。
【解析】第一空.由图看出,电流从电磁铁下端流入,依据安培定则,四指顺着电流方向,大拇指应向上握住电磁铁,所以上端为N极, B 端的磁极为S极;
第二空.滑动变阻器的滑片P向右移动时,连入电路的电阻变大,电路中的电流变小,电磁铁的磁性减弱。
15.如图所示的电路中,电源电压为15V,调节滑动变阻器滑片P从是右端b移动到最左端a,电流表示数由0.3A变为0.5A,则定值电阻R0 =______Ω,滑片位于b点时电压表示数为______V。

【答案】30;6。
【解析】[1]由电路图可知,电阻 R0 与滑动变阻器 R 串联,电压表测滑动变阻器两端的电压,电流表测电路中的电流;滑动变阻器滑片P在最左端 a 时,只有 R0 的简单电路, R0 两端的电压等于电源电压,通过它的电流是0.5A, R0 的阻值

;
[2] 滑动变阻器滑片P在最右端 b 时,电阻 R0 与滑动变阻器 R 的全部电阻串联, R0 两端的电压
U0 = Ib R0 =0.3A×30Ω=9V
因串联电路中的总电压等于各分电压之和,所以,滑动变阻器两端的电压,即电压表示数
U滑 = U - U0 =15V-9V=6V。
16.在家庭电路中,各用电器之间是______(选填“串联”或“并联”)连接的。炎热的夏天,小明家里开着空调,当小明妈妈把烤箱插头插进插座时,空气开关立刻“跳闸”,其原因可能是______。
【答案】并联;烤箱短路(烤箱功率过大)。
【解析】[1] 在家庭电路中,各用电器之间互不影响且两端的电压都相等,所以各用电器之间是并联连接的。
[2] “跳闸”的原因有两种,一种是电路中的总功率过大,即电路过载,另一种是短路导致的。
三、作图题(本大题共2小题,每小题3分,共6分,在答题卡上用铅笔作图,确定后用黑笔描黑))
17.放风筝是我国的一项民俗。图为小亮放风筝时的情景,请画出风筝所受重力及风筝线对手中线轴拉力的示意图。(O点为风筝的重心)

【解析】风筝所受重力过 O 点画一条竖直向下的线段,并在线段末标上箭头和 G ,即为风筝所受的重力,风筝线对线轴的拉力是沿绳的方向,故过线轴与线的交点沿绳方向画一条线段,标上向上的箭头,故如下图所示:

18.如图所示,开关闭合的瞬间,位于螺线管右侧的小磁针发生顺时针旋转。请在图中合适的位置标出通电螺线管的“N”、“S”极和电源的“+”、“﹣”极。

【解析】已知开关闭合后,位于螺线管右侧的小磁针顺时针旋转。根据磁极间的相互作用可知,螺线管左端为 N 极,右端为 S 极,由右手螺旋定则可得,电流由电源的右侧流出,故电源右侧为正极,左侧为负极;如下图所示:

四、实验探究题(本大题共3小题,每空2分,共24分)
19.在“探究光的反射规律”的实验中,小丽设计了如图甲所示的实验,平面镜放在水平桌面上,纸板可绕ON转动。

(1)小丽先将平面镜平放在水平桌面上,再把白色硬纸板竖立放在平面镜上,一束光EO贴着纸板入射到平面镜上,光路如图甲所示,则反射角为________°。
(2)为了进一步确定此时反射光线的位置,小丽将纸板沿PQ剪开,将纸板的上半部分向后折,如图乙所示,发现在纸板右侧的________(选填“上部”或“下部”)会看到反射光线。此实验现象说明反射光线、入射光线和法线_______(选填“在”或“不在”)同一平面内。
【答案】50;下部;在。
【解析】(1)[1]由图可知,入射光线与反射面的夹角为40°,则入射角大小为
∠ EON =90°-40°=50°
由光的反射定律可知,反射角等于入射角,则反射角大小为50°。
(2) [2][3]将纸板B的上半部分向后折,如图乙所示,纸板B上半部分与入射光线和法线不在同一平面内,上半部分看不到反射光线,下半部分有反射光线,此实验现象用来说明反射光线、入射光线和法线在同一平面。
20.端午节家庭聚会后,小鹏的父亲将喝剩的白酒交给他,要他利用所学的物理知识测出白酒的密度。家中没有量筒,只找到了一个弹簧测力计和一个废旧的铁块,于是他在两只玻璃杯中分别装入水和白酒,进行了如下操作:
①将铁块悬挂在弹簧测力计下方,读出测力计的示数F1 ,如图甲所示;
②把铁块浸没在水中,读出测力计示数F2 ;
③把铁块浸在白酒中,读出测力计示数F3 。请你回答下列问题 :

(1)弹簧测力计示数F1 =______N;
(2)图中他有操作错误的是图_______(选填“甲”、“乙”、“丙”),请指出错误之处______ ;
(3)更正错误操作后,测力计的示数变成F4 ,请你帮小鹏推导出创洒密度的表达式ρ酒 =______。(用字母符号表示,水的密度为ρ水 )
【答案】3.8;丙;没有将铁块完全浸没在白酒中;

。
【解析】(1)[1]由图甲可知,该弹簧测力计的分度值为0.2N,读出弹簧测力计的示数即 F 1 =3.8N。
(2)[2][3]如图乙,将铁块浸没在水中,读出此时弹簧测力计的示数,就可以计算出此时物体受到的浮力,在根据阿基米德原理推导式

变形后可求出铁块的体积;
再把铁块浸没在白酒中,读出此时弹簧测力计示数,计算出在白酒中受到的浮力,要计算出白酒密度,需知道排开的白酒的体积,当把铁块完全浸没在白酒中时,排开的白酒的体积就等于铁块的体积,所以必须要将铁块完全浸没在白酒中,由此判断图丙操作错误,错误之处就是没有将铁块完全浸没在白酒中。
(3)[4]铁块浸没在水中时受到的浮力

由阿基米德原理推导式

可知铁块体积

;
当把铁块浸没在白酒中时所受浮力

;
则白酒的密度

。
21.在探究电流与电阻关系的实验中,所用实验器材均完好,如图所示,电源电压为

不变,定值电阻分别为

、

、
、

,滑动变阻器规格为“

。

(1)实验前,发现电流表的指针位置如图甲所示,原因是电流表___________。
(2)如图乙所示,导线

应与滑动变阻器的___________接线柱相连。
(3)电路连接完成后,分别用

、

、
的电阻进行实验,正确操作,记录的数据如下表所示,则实验中控制电压表的示数为___________

不变。当使用

的电阻做实验时,无论怎样调节滑动变阻器的滑片都无法使电压表的示数与前三次相同,为了继续完成第四次实验,如果只能更换电源,则电源电压应不高于__________

。
|
实验次数 |
1 |
2 |
3 |
4 |
|
10 |
15 |
20 |
30 |
|
0.3 |
0.2 |
0.15 |
(4)分析实验数据得出结论:在电压一定时,导体中的电流与导体的电阻成___________。
【答案】没调零; C 或 D; 3;5;反比。
【解析】(1)实验前,电流表有示数,即指针没有在零刻度,原因是电流表指针没调零。
(2)变阻器应一上一下接,所以a接 C 或 D 。
(3)取第1组数据,电压为 U 1 = I 1 R 1 =0.3A×10Ω=3V
则实验中控制电压表的示数为3V。
30Ω电阻分压为3V,所以电流为

变阻器取最大20Ω,变阻器分压 U 3 = IR P =0.1A×20Ω=2V
电源电压最大为 U 4 =3V+2V=5V
(4)由表格,在电压一定时,电流和电阻乘积为定值,故可得在电压一定时,导体中的电流与导体的电阻成反比。
五、综合应用题(本大题共2小题,每小题9分,共18分,解答应写出必要的文字说明、公式和重要的演算步骤,只写出最后答案的不能得分)
22.某汽车在水平地面上以25m/s的速度匀速行驶,行驶600s汽车发动机产生的牵引力所做的功为

,消耗汽油1kg(假设汽油在发动机气缸内完全燃烧,汽油热值取

,

)。针对这一过程,求:
(1)汽车行驶的路程;
(2)汽车受到的阻力;
(3)汽车发动机的效率。
【答案】(1)

;(2)

;(3)

。
【解析】(1)汽车行驶的路程

(2)汽车匀速行驶,受到的阻力和牵引力大小相等。由

可知

(3)汽油完全燃烧放出的热量

汽车发动机的效率

。
答:(1)汽车行驶的路程为

;(2)汽车受到的阻力为

;(3)汽车发动机的效率为

。
23.在综合实践活动中,科技小组设计了一个能反映水平风力大小的装置,如图甲所示,电源电压恒为16V,R0为定值电阻,L为额定电压是2.5V的小灯泡,其I﹣U关系的部分数据如图乙所示,AB为长14cm、阻值60Ω粗细均匀的电阻丝(电阻丝的阻值与长度成正比),OP为质量、电阻均不计的金属细杆,下端连接一个重2N的圆球P。闭合开关S,无风时,OP下垂并与A端接触,此时电流表示数为0.2A;有风时,OP绕悬挂点O转动,风对球的作用力F方向始终水平向右,已知OA为10cm,OP始终与AB接触良好且无摩擦;求:

(1)电流表示数为0.2A时,灯泡的电阻为多少?
(2)无风时R0消耗的电功率;
(3)为保护电路,允许风对球施加的最大作用力。
【答案】5;0.6W;1.4N。
【解析】(1)由图可知,灯泡、定值电阻R0和电阻丝串联;因串联电路电流处处相等,所以,通过灯泡的电流为0.2A,由图乙可知,UL
1V,则根据I=

可得,RL=

=5Ω;
(2)无风时,OP下垂并与A端接触,电阻丝阻值最大为60Ω,根据I=

可得,电阻丝两端的电压:
UAB=IRAB=0.2A×60Ω=12V,
因串联,R0两端的电压:U0=U﹣UL﹣UAB=16V﹣1V﹣12V=3V,
则此时R0的电功率:P0=U0I=3V×0.2A=0.6W;
(3)根据I=

可得R0的阻值:R0=

=15Ω;
由于灯泡的额定电压为2.5V,则电路中最大电流等于灯泡正常工作时的电流,由图乙知最大电流为I′=0.3A,此时风对球的压力最大,OP绕O转动的角度最大,设此时OP与AB的接触点为C,如图所示:

根据欧姆定律可得,R0两端的电压:U0′=I′R0=0.3A×15Ω=4.5V,
RBC两端的电压:UBC=U﹣U额﹣U0′=16V﹣2.5V﹣4.5V=9V,
根据I=

可得此时电阻丝连入电路的电阻:RBC=

=30Ω;
由于电阻丝的电阻与电阻丝的长度成正比,则:

,
所以,BC=

×AB=

×14cm=7cm,
则AC=AB﹣BC=14cm﹣7cm=7cm,
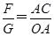
如右图,把OP视为一根杠杆,F的力臂为OD,G的力臂等于PD,根据杠杆平衡条件可得:
F×OD=G×PD,
则:

;
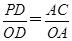
由于△OAC∽△ODP因此:

,
所以,

,
则:F=

G=

×2N=1.4N。

