我们在探索直线平行的条件时,必须要加上这句话;“两条直线被第三条直线所截”,而后才有如果同位角、内错角相等,或者是同旁内角互补,两直线平行。这句话很关键也为我们指明了在解平行线相关题目时,添加辅助线的方法和技巧,这里的“第三条直线”就是我本篇文章中要说的“桥梁”。它又分为“直接桥梁”和“间接桥梁”,分别对应两种作辅助线作法。

一、直接桥梁
直接桥梁是指原来两条平行线并没有被第三条直线所截,此时延长某条直线与两条平行线都相交,这样在两条平行线之间就有了一条直接沟通的桥梁,有了这个桥梁之后,我们就可以直接应用两直线平行,同位角、内错角相等,同旁内角互补来解题。
例1、 如图,∠1=70°,直线 a 平移后得到直线 b ,则∠2-∠3=__________.

解: 如图:延长直线与直线b相交( 这样直线a、b之间就有了一条直接沟通的桥梁,有了这个桥梁之后,我们就可以应用两直线平行,同位角、内错角相等,同旁内角互补来解题。 )
∵a平移后得到直线b,
∴a∥b,
∴∠5=180°-∠1=180°-70°=110°,
又∵∠2=∠4+∠5,∠3=∠4,
∴∠2-∠3=∠5=110°
故答案为:110°.

二、间接桥梁
间接桥梁是指指原来两条平行线并没有被第三条直线所截,此时过两条平行线之间某个角的顶点作这两条平行线的平行线。然后利用相邻的两直线平行,同位角、内错角相等,同旁内角互补来解题。这样通过不断转换,就建立了原来两条平行线之间的联系。
例2、 如图,AB∥CD,用含∠1,∠2,∠3的式子表示∠4,则∠4的值为( )

A.∠1+∠2﹣∠3 B.∠1+∠3﹣∠2 C.180°+∠3﹣∠1﹣∠2 D.∠2+∠3﹣∠1﹣180°
解: 过点E作EG∥AB,过点F作FH∥CD,( 这样平行线AB、CD之间就可以利用任意两相邻平行线之间的直接桥梁AE、EF、FC,也是AD、CD之间的间接桥梁,应用两直线平行,同位角、内错角相等,同旁内角互补联系起来了。 )

∵AB∥CD,
∴AB∥CD∥EG∥FH,
∴∠1=∠AEG,
∴∠GEF=∠2-∠1,
∵EG∥FH,
∴∠EFH=180°-∠GEF=180°-(∠2-∠1)=180°-∠2+∠1,
∴∠CFH=∠3-∠EFH=∠3-(180°-∠2+∠1)=∠3+∠2-∠2-180°,
∵FH∥CD,
∴∠4=∠3+∠2-∠1-180°,
故选D.
例3、 下面我们试试用间接桥梁的方法来解例1


如图,∠1=70°,直线 a 平移后得到直线 b ,则∠2-∠3=__________.
解: 过∠AEF的顶点E作EB//a//b
则有∠1+∠BEF=180º ∠3=∠BEA 而∠1=70°
∴∠BEF=180º-70°=110º
又∵∠2=∠AEF=∠BEF+∠BEA=∠BEF+∠3
∴∠2-∠3=∠BEF=110º
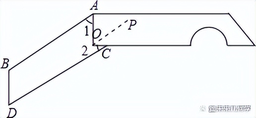
练习1、如图所示,是我们生活中经常接触的小刀,刀柄外形是一个直角梯形(挖去一小半圆),刀片上下是平行的,转动刀片时会形成∠1、∠2,则∠1+∠2=__________.


解:如图,过点O作OP∥AB,则∠1=∠AOP.
∵AB∥CD,∴OP∥CD,∴∠2=∠POC,∵刀柄外形是一个直角梯形,∴∠AOP+∠POC=90°,∴∠1+∠2=90°.
练习2、如图1,CE平分∠ACD,AE平分∠BAC,∠EAC+∠ACE=90° .
(1)请判断AB与CD的位置关系并说明理由;
(2)如图2,在(1)的结论下,当∠E=90°保持不变,移动直角顶点E,使∠MCE=∠ECD,当直角顶点E点移动时,问∠BAE与∠MCD是否存在确定的数量关系?
(3)如图3,在(1)的结论下,P为线段AC上一定点,点Q为直线CD上一动点,当点Q在射线CD上运动时(点C除外)∠CPQ+∠CQP与∠BAC有何数量关系? (2、3小题只需选一题说明理由)


(3)∵AB∥CD,
∴∠BAC+∠ACD=180°,
∵∠QPC+∠PQC+∠PCQ=180°,
∴∠BAC=∠PQC+∠QPC.
两道练习大家自己试试用另外一种方法解一下吧。
好了,今天的内容就分享到这里,如果您有疑问,可以在文章下方留言,欢迎继续关注,精彩还将继续!