历史总是在偶然和必然的交织中前行——如果说对数的发明是社会发展和科学进步的必然诉求,那么最初产生对数思想的灵感,却是生活带给科学家们的一丝不经意的小确幸.
一、对数思想的萌芽
- 阿基米德(公元前287-公元前212)
在解决“数沙粒”的问题时,数学家阿基米德惊喜地发现了一个规律:给出相邻两数比值相等一列数 ,任取两个数 和 相乘,它们的积还在这列数中,并且乘积的序号与 的序号差等于 的序号与 的序号差,所以 和 的乘积是 ,即 .

阿基米德的内心独白:
对于这种相邻两数比值总相等的一列数(不妨叫做“等比数列”),我找到了计算两数乘积比较简便的方法:等比数列中,两数乘积等于它们的序号做加法对应的数。这就有点儿对数思想——“化乘除为加减”的味道了,可惜我没有继续深入这项工作,从此便与对数失之交臂。真是太遗憾了!

古希腊哲学家 阿基米德(公元前287年—公元前212年)
- 丘凯(约1450—1500)
不同的时代,人们对于数的平方和立方都分别赋予不同的符号,要表达一个数的高次幂,就要用这些符号的组合来实现. 15世纪,法国数学家丘凯直接用指数来标识未知数的幂次,他不仅将指数0赋予常数项,还引入了负的整数指数.丘凯发现数的各次幂进行乘除计算时,只需要对相应的指数相加减,为了说明他的结论,他做了一个2的各次幂与指数的对应表.

丘凯的内心独白:
阿基米德先生每次算乘积都得以第一个数为基准找位置,多少还是有点麻烦!我比他进步的地方在于,给每个数分配了一个指数,这样对两数进行乘除时,就可以直接用它们的指数做加减运算.可惜我的想法在当时来说太抽象,没有在我生活的时代对社会产生太大的影响.

15世纪,法国最杰出的数学家是丘凯
- 斯蒂菲尔(约1487-1567)
德国数学家斯蒂菲尔在他的《整数的算术》里也指出:等比数列 的各项与它们的“代表数”——各项的指数所形成的等差数列0,1,2,3,……的各项之间,存在简单的对应关系,并且把这种关系表述为:如果将数列中的任意两项相乘,其结果与直接将“代表数”相加所得的值“代表”的项相同.类似地,将任意两项相除,将“代表数”相减即可.
斯蒂菲尔的内心独白:
丘凯跟我实际上都相当于制作了一个粗糙的对应表:下一行是等比数列中的各项,上一行是相应的指数。要计算16 128,只需要通过查表找到对应的指数4和7,二者之和是11,再通过查表找到指数11对应的2048。这个2048就是16 128的结果.
|
…… |
-3 |
-2 |
-1 |
0 |
1 |
2 |
3 |
4 |
5 |
6 |
7 |
8 |
9 |
10 |
11 |
12 |
…… |
|
…… |
1/8 |
1/4 |
1/2 |
1 |
2 |
4 |
8 |
16 |
32 |
64 |
128 |
256 |
512 |
1024 |
2048 |
4096 |
…… |
这样就把乘法运算转化为低一级的加法运算了!如果能找到一种方法,把一般的整数甚至是分数的乘法运算也转化为加法,那可真是“功在当代,利在千秋”.我曾努力尝试去做这样的推广,比如计算7 13,如果能找到7的“代表数”p和13的“代表数”q,也就是 就好了.可这时候p,q显然不是整数,那么 又是什么意思呢?在我生活的时代根本回答不了这个问题,我只好放弃了 ……
如果被除数的“代表数”小,又该如何呢?斯蒂菲尔把两个数列间的这种联系推广到了负指数的情形.例如, ,而它们的指数之差为1﹣2=﹣1,所以把指数-1赋予 . 这样一来,上面对应表中两个数列就可以往两个方向扩展到无穷多项,并且仍然满足:乘积的“代表数”是各自“代表数”之和,商的“代表数”是各自“代表数”之差.
历史的车轮仍在滚滚前进,天文学、物理学、地理学、三角学等领域不断发展,这些科学日新月异的发展带来了庞大的数学计算需求,科学家们每天不得不花大量的时间专注于大量繁琐复杂的数字运算,他们迫切的需要一项伟大的数学发明来简化数*运学**算,将他们从这些繁琐的任务中解救出来。在这样的历史机遇下,对数横空出世了.
二、对数的发明
要想通过查表化乘除运算为加减运算,关键是这张表要足够大,大到把所有数都包含进来. 前人一直在“代表数”上寻找突破口——突破整数的限制,比如斯蒂菲尔,却始终不得其法。究其原因在于,当时的人们并不理解分数指数幂的意义,更别提连续变化的实数指数幂了.

既然无法对“代表数”加以推广,便有人另辟蹊径,取消了对q是整数的限制. 那么q取什么数合适呢?要让对数表无所不包,也就是相邻的数间隙很小,显然q要和1非常接近,但又不等于1. 于是,纳皮尔和比尔吉站在巨人的肩膀上,从两个不同的方向独立地发明了对数.
- 纳皮尔(1550-1617)
苏格兰数学家纳皮尔很可能是受德国数学家约翰·维尔纳推导三角函数积化和差等公式能够化乘除为加减,简化运算的启发。

经过数年的斟酌,终于发明了对数。纳皮尔在1614年出版了《奇妙的对数定律说明书》一书,书中附有他已经计算好的对数表.

约翰·纳皮尔关于对数的著作《奇妙对数规则的说明》扉页
纳皮尔的对数表实际上是选取了 .随后纳皮尔在另一本书中,借助质点运动模型阐述了发明对数方法:假设有两个质点P和Q,同时从A和C出发,它们的初速度相同.质点P沿着线段AB运动,且在任一点P的速度值正比于它未经过的距离PB;质点Q沿着射线CD匀速运动,那么CQ称为PB的对数.

纳皮尔的内心独白:
大概很多人会问,我构造了这么抽象的质点运动,运动过程都还没
想明白呢,怎么就突然定义了对数呢?这个对数表又是如何计算出来的?
乍一看,这和前辈数学家们化两数乘除为其“代表数”加减的思想好像
没什么关系,但实际上它们的基本原理是相同的.

苏格兰数学家 纳皮尔(1550年-1617年)
假定P和Q的初速度都为 ,并且AB长度也是 ,质点P在任一点的速度值等于AB未经过的距离.设CD表示单位距离1,也就是Q要经过时间 以后到达D,而在这段很小的时间间隔 内,可以把P的运动视为匀速直线运动,且P运动到 ,速度为 ,因此 .也就是说质点P运动到点 的速度近似等于PB.

再经过一个时间间隔 后,设Q到达 ,P到达 ,在这段很小的时间间隔 内,P的运动仍然可以近似地看成匀速直线运动,速度等于 ,所以近似地有 = ,因此 = ﹣ = ﹣ ≈9 999 998,这也近似地等于P在点 的速度。同理,如果P在后面的各个小时间段(时间间隔 仍取 )后依次到达 , ,……,通过不断地做减法,将得到相应的距离 , ,……是
= ﹣ = ﹣ ≈9 999 997,
= ﹣ ≈9 999 996,……

如果Q在后面的各个小时间段后,相应地依次到达 , ,……,那么
=1, =2, =3, =4,…
这就得到了我的第一张对数表,其中第二行的数是通过做减法得到的,不过按照上面的分析,不难看出每一个数都是通过前一个数减去它的 得到的,也就是每一个数都是前一个数的(1﹣ )倍,所以对数表中第二行所有的数实际构成了一个等比数列,相邻两项之比为 ,所以我的对数表也可以写成如下的形式:

看出来了吧?由于这个等比数列中相邻两项的比非常接近1,所以我的对数表中最后一行的数几乎是“连续”的。这样一来要计算两个大数M和N的乘积,只要通过查表找到与M和N最接近的数,然后分别确定他们的对数m和n,再在对数表中找到对数和m+n所对应的的数L,那么MN= L(稍微计算一下,就不难理解这种查表计算大数乘积的方法了 : 。是不是方便多了,数学家拉普拉斯说:“对数用缩短计算的时间来使天文学家的寿命加倍”。

- 比尔吉(1552-1632)
比尔吉曾担任过著名天文学家开普勒的助手,经常接触复杂的天文计算,于是他产生了化简数值计算的强烈愿望.受斯蒂菲尔工作的影响,他选取,建立了自己的对数体系,并于1620年发表在《等差数列和等比数列表》中,表中记载了两串数字.

比尔吉的对数表
比尔吉的内心独白:
纳皮尔创造性地用几何的方法构造了他的对数体系,我实在是佩服.比较而言,我用的是纯代数的方法,更多的是在前人成果的基础上发现的对数.虽然我也很早就独立地发现了对数,却迟迟没有发表,后世提起对数最先想到的都是纳皮尔。纳皮尔因此流芳千古,而我快要被历史遗忘了,所以科研成果的及时发表真的很重要!
三、对数的发展
纳皮尔的对数一经问世便立即受到狂热的追捧,并很快地传遍了欧洲.纳皮尔也为此收获了一大批数学家粉丝,伦敦格雷欣学院的几何教授亨利·布里格斯就是其中一位.
- 布里格斯(1561-1631)
布里格斯在得知纳皮尔的对数表以后,为之深深着迷,他决定亲自去拜访自己的“爱豆”.不过布里格斯是一个理性的追星者,见到纳皮尔后,他一方面表达了自己的崇拜之情,同时提出了两条让纳皮尔的对数表更便于使用的修改建议:一是,将0作为1而不是 的对数;二是,一个数的对数应该等于这个数写成10的幂后相应的指数.
纳皮尔欣然接受了布里格斯的建议。他们经过多次讨论和尝试,最后决定把1作为10的对数,0作为1的对数. 如果正数N可表示为 ,那么L是以10为底N的常用对数,写成logN或简写为lgN,“底数”的概念由此诞生.
由于纳皮尔年事已高,没有精力计算新的对数表了.于是布里格斯光荣地接手了这项任务,并于1617年在一本小册子《一千个数的对数》中给出了1~1000的14位常用对数表,这是第一个公开发行的常用对数表.布里格斯具体的做法是:逐次地取10的平方根 ,一直取了54次,得到了一个略大于1的数 作为他的q,然后用q不断自乘就得到间隙很小的一列数.
接下来在制作对数表时,布里格斯没有直接用q的指数作为对数,而是把这列数写成10的幂的形式,用幂指数作为相应的对数,比如 的对数是 ,而不是3.
布里格斯的内心独白:
我实际上是选取了另外一个非常接近1的数 ,对纳皮尔先生的对数表加以改进,做这样的修改主要有两点考虑:
一是,我们平时采用的数系主要是十进制的,选取10为底,运算起来更方便;
二是,稍加验证,就会发现纳皮尔先生的对数表不严格满足两数乘积的对数等于各自对数之和.修改后的对数表弥补了这一缺憾.
这样一来求任意两个数的乘积,就可以通过查表找到它们的对数,进而找到对数和所对应的数,即为它们的乘积.

布里格斯《一千个数的对数》中的一页
四、对数的现代定义
尽管纳皮尔、比尔吉和布里格斯等受限于对实数指数幂的认识,但他们聪明地绕开了指数,另辟蹊径选取了不同的“q”,做成了各种各样的几乎无所不包的近乎“连续”的对数表.纳皮尔虽然发明了对数,却没有给出对数的定义.像布里格斯那样“取固定的底数,以它的幂来代表数,并定义幂指数为该数的对数”的做法虽然容易理解,但在17世纪初期,人们并不把对数定义为指数,因为那时的人们依然对分数指数幂和无理数指数幂的意义不是十分清楚.
随着数学的发展,数学家们得以把整数指数幂及其运算性质推广到分数指数幂。而微积分的发明和发展,使得数学家们终于揭开了实数指数幂的神秘面纱.于是到17世纪末,开始有人认识到对数可以按照布里格斯那样来定义,大数学家欧拉也早就在日常工作中把对数定义为指数,并且一直使用,但直到1742年琼斯才第一次对这种方法作了系统的叙述.
- 琼斯(1675—1749)
琼斯在给加德纳所著的《对数表》写的序言中,给出了实数的对数的定义:已知a是不等于1的正数,如果a的b次幂等于N,即 ,那么b叫作以a为底的N的对数,用记号 表示,其中a>0且a≠1,N>0.

英国数学家 威廉·琼斯(1675年-1749年)
琼斯的内心独白:
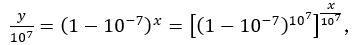
你可能会说,“对数”是纳皮尔先生最先发明的,我为什么又定义了一个“对数”,我们的对数是一样的吗?哈哈,为了区分,我们不妨把纳皮尔先生的对数叫做纳皮尔对数(也给个记号Naplog),稍加验证,你就能发现纳皮尔先生的对数表中第一行对数值x和第二行中的数y满足

也就是说 ,其中 ,这里的q是跟取得很小的时间间隔 有关的。实际上纳皮尔先生构造对数的质点运动模型是连续的,如果考虑极限情况,相应的q将会变成一个常数 ,纳皮尔对数也将会变成 .想要更多地了解这个神秘常数e,欢迎持续关注.
把“代表数”推广到了实数,还给“代表数”起了个专门的数学名称——对数,相应地就有“乘积的对数等于各自的对数和”,并且把离散的对数表彻底地“连续化”, 到此可以说斯蒂菲尔等数学家们未完的事业终于完成了.我很幸运自己生活在这个时代.其实不光是对数,科学史上每一个重大成就都是一部踏着前人的足迹,不断砥砺前行的奋斗史!