如果要投票评选最优美的数学公式,欧拉公式一定榜上有名,甚至很可能是位居榜首。它是长这个样子滴:

在*今条头日**里随便搜索“欧拉公式”,出来的都是下面这个画风

人们对这个公式推崇备至的原因就是所谓的“五元会聚”,即,它把数学里面最常用的5个常数: 自然底数e,虚数单位i,圆周率π,以及两个最基础的数量单位0和1 (有人从哲学的角度认为这代表了“无”和“有”),以巧妙的方式连接在一个公式中。因此很多人从哲学乃至神学的角度对它进行诠释,认为它蕴含了宇宙最终极的真理和奥秘,甚至是上帝创造出来的,因而对它顶礼膜拜。

欧拉(Euler,1707-1783)
不得不说,笔者当年上中学的时候第一次见到这个公式,也是五体投地,激动地要向黑板下跪。但随着大学后学了越来越多的数学知识,渐渐了解了这个公式的来龙去脉,也就没有当初那激动了。其实,对这个公式最淡定的恰恰就是数学家们自己,因为他们心里清楚这个公式是被人工构造出来的,因此一点儿也不神秘。
今天这篇文章,就是从现代数学的观点来窥探一下这个公式的来龙去脉,揭开它的神秘面纱,来看一看为什么说它一点儿也不神秘。
1.传统证明
其实,上面那个等式只是欧拉公式的一个特例,真正的欧拉公式是下面这个式子:

其中x是一个实数。当x=π时,带进式子里就得到:

于是就得到了大名鼎鼎的

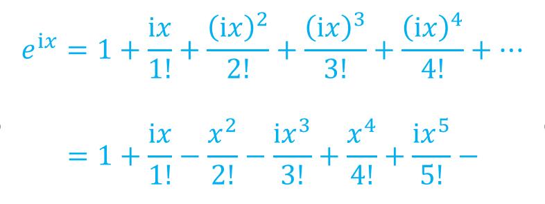
因此我们需要先证明最上面的那个欧拉公式。先来说一下大多数科普文章里出现的证明方法,使用的是泰勒公式。首先写出eˣ的泰勒展开式,或更确切地说,麦克劳林展开式:

为了做对比,我们再写出sinx和cosx的麦克劳林展开式:

我们把eˣ里面的x替换成ix,再利用i²=-1,i³=-i,i⁴=1,便有

再把含有i的式子都提出来,并与sinx和cosx的麦克劳林展开式做对比,就变成

这样就得到了欧拉公式

上面这个证明可以说是非常地简洁与漂亮。但是很遗憾,从数学发展历史的角度来看,这个证明并不是很完善,因为在欧拉那个年代,还没有关于极限的精确定义,无穷级数的理论还很不成熟。当时的数学家也不会考虑收敛域这个问题。eˣ的泰勒公式里面x是实数,能不能随随便便地就换成复数,换成复数以后是否还是收敛的,以及e的复数次方又是什么含义,这些问题在当时都没有搞清楚。所以欧拉只是天才般的凭借自己的灵感写下了这个式子,但是它的严格证明则是等后来关于复数和无穷级数的理论发展完善之后才有的。

欧拉的传世名著《无穷分析引论》,正是在这部书里提出了欧拉公式
接下来我们从现代数学的观点来看一下这个公式的由来。
2.复变函数
要做的第一件事情就是把函数从实数推广到复数,即考虑定义域与值域都是复数的函数,这样的函数我们称为复变函数。简单的来写,就是

这里x,y都是自变量,u,v都是因变量,因此我们写成更清楚的形式:

这里u(x,y)和v(x,y)都是关于x和y的二元实值函数,因此在复变函数里面我们普遍的做法就是将其看成两个实变函数。从而可以定义复变函数的极限,导数与积分。
当然,理论上u(x,y)和v(x,y)可是任意两个实函数,它们之间彼此可以没有任何关系。是这样的话研究起来没有太大的意义,我们希望它还是有某种关系的。最主要的是我们希望让函数是可微的,这样研究起来才有意义,于是我们就有以下一个非常重要的结论。
3.柯西-黎曼条件
我们知道,一个实值函数在某一点可微,是需要满足一定条件的。同样道理,一个复变函数要想在某一点可微,也需要满足的一些条件,而且更加严格。它不仅要求在这一点u(x,y)和v(x,y)都是可微的,还需要满足一个附加条件,即在这一点需要满足

这个条件是如此之重要,被称为柯西-黎曼条件。一个公式里面同时出现两位数学大神的名字,也是不多见。
这个条件是个充要条件,意思是说 如果函数可微则一定满足这个条件;反过来,如果满足这个条件,则函数一定可微。 证明起来也比较容易,只需要利用可微性的定义: 自变量的差值减去因变量差值的常数倍是一个因变量差值的高阶无穷小。 同学们可以很轻松地利用这个定义,把柯西-黎曼条件自己推导出来。

大神合体(左为柯西,右为黎曼)
这里想顺便多说一句,一方面柯西-黎曼条件的出现使我们可以研究的函数的范围大大缩小了,因为只有很少一部分函数满足柯西-黎曼条件。另一方面, 福兮祸之所倚,祸兮福之所伏 。正因为有了柯西-黎曼条件,我们才可以以之为基础推导出更多的性质来。从这个角度讲,柯西-黎曼条件是大大的有用。
3.复指数幂函数
有了上述准备知识,我们就可以来研究复指数幂函数了,即指数为复数的指数函数。更通俗的讲,eˣ里当x是复数的时候,应该怎么计算。
我们先回顾一下实值函数值的情景,对于普通的实值函数f(x)=eˣ,它满足下面两个条件

数学上有这样一个规律,当你把一个简单的概念往更高的范围推广时 ,一定要保持在原有范围内的性质不能发生变化。 于是我希望来定义一种e的复数次幂的计算方法,使得定义出来的这个方法仍然满足下面两条性质:

其中z,z₁,z₂都是复数。
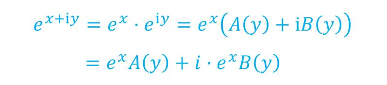
首先假设

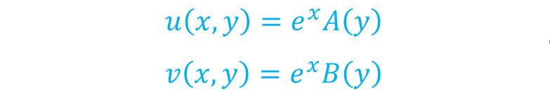
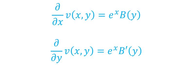
这里利用的是第二条性质,其中A(y)和B(y)就是我们一样寻找的函数,用我们前面的符号表示就是:

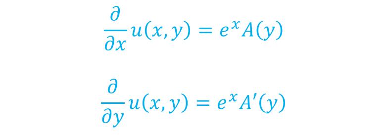
接下来我们需要让它满足第一条,即在任意一点可微,于是需要满足柯西-黎曼条件,我们分别来求一下四个偏导数:


在求偏导的过程中千万要注意,我们是使用了(eˣ)'=eˣ这个结论,这个结论是极端重要的,我们下面还会谈到。
比较一下柯西-黎曼条件,就有

也就是说,我们需要自己找两个函数A(y)和B(y),使他们满足上面两个式子,小伙伴们不妨先自己想一想,什么样的函数可以呢。
相信聪明的小伙伴们一定很快就能想出来了,在我们学过的函数里面确实有两个可以满足它:(sinx)'=cosx,(cosx)'=-sinx。因此我们就可以直接让

当然肯定有小伙伴要问,有没有其它的函数也满足这两个条件。答案是在可微的条件下,没有其它函数了。这就是所谓的解析函数唯一性定理,它告诉我们,在保持函数解析的情况下,只有这一种可能的结果,因此我们只能这样定义。于是我们就来定义复指数幂的运算法则

这样一来就是我们熟悉的欧拉公式了。因此与其说它是一个公式,倒不如是说它是一个定义。不是说为什么左边等于右边,而是说左边这个东西我们一开始不会算,然后我们就直接让它等于右面这个东西。这样一来,这个公式的神秘性就大大降低了。

sinx和cosx这种互相求导得到对方的性质,是电磁波理论的重要基础
4.关于e
当然还有很多小伙伴们肯定会不服气:好吧,我承认这个是定义出来的,但是这样定义是因为它要遵循一定的条件,而这个条件也有点太巧合了吧,这里面是不是包含着某种神秘性的东西呢。
其实也不是,我再来进一步解构一下。
本文提供了两种证明方法,第1种证明方法是利用的泰勒展开式,而我们在学习高数的时候肯定自己亲手计算过eˣ的泰勒展式,他之所以长那个样子,原因就是因为(eˣ)'=eˣ,而且它求任意次导都还保持不变。同样的,对于第2种柯西-黎曼条件的方法,我在文中也特地强调过,在求偏导的过程中,它所依赖的条件也是(eˣ)'=eˣ,所以说(eˣ)'=eˣ这个式子才是整个问题的关键。

那我们就来看一下(eˣ)'=eˣ又是怎么来的,它里面是否又包含着某些神秘性的东西呢?答案也是否定的,它一点儿也不神秘。
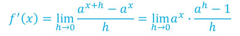
我们希望寻找一个函数,使得 求完导保持不变 。根据导数的定义来推导发现,幂函数,三角函数,对数函数都不符合,唯一有可能满足的只有指数函数,所以我们来考虑f(x)=aˣ,根据导数的定义有

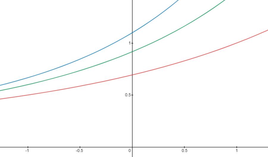
所以只需要让后面那个带h的分式极限值是1就可以了,那么我把a选成几呢?我们通过函数图像来试一试,当a分别取成2,2.5和3的时候,来看一下这个函数

从下到上分别是a=2,2.5和3的图像,可以看出来它依次增高。而2.5在零处的极限值是小于1的,3在零处的极限值是大于1的,因此在2.5和3之间就存在某个数,使得a等于这个数的时候,极限的恰好为1。那这个数是几呢?对不起,不知道。我们只好拿一个字母来代表它,那索性就用e好了(传说中的欧拉是想以自己姓名Euler的首字母来表示它)。所以我们会有(eˣ)'=eˣ。至于后来我们知道e=2.71828...,那是后面的故事了。
当然还有另外一个来源,就是在计算复利公式中

不过这个式子与本文并无直接关系,因此就不再多着笔墨了。
因此在eˣ求导式子中,人工定义的痕迹更为明显。不是说为什它求完导之后还保持不变,而是说有一个东西求完导保持不变的东西,那我们把它称为e。这个道理,就好比说红玫瑰是红色的,难道这么巧嘛,当然不是,而是因为我们把红色的玫瑰叫成红玫瑰。这样一来,就更没有什么神秘性可言了。
5.结语
从上面的分析过程可以看出,虽然是有诸多线索,但欧拉公式仍然是被人工定义出来的。这样一来,也就没有丝毫神秘性可言了。换句话说,这个公式你可以说它美妙,说它精巧,但是它并不神秘。其实,这种事情在其他地方我们也经常干。比如我们知道在一个大气压下,正好是100摄氏度的时候水沸腾,那么巧的吗?当然不是。而是水从液体到气体中间总有这样一个临界温度,我们就把这个温度定义为100度。从固体到液体也有这样一个临界温度,我们定义为零度,这之间分成100份,一份就是一度。表面上看起来和谐且美妙,但实际背后是人工操作的结果。
参考文献
[1] 《复变函数》(第四版),余家荣,北京,高等教育出版社