化工领域资料,供大家*载下**学习,大家按自己的需要,可选择一些对自己适合的进行学习。
免费领取6重福利!!资料包括以下部分!
14大化工产业链图+49张化工装置流程图+526个化工行业标准+1000多个PID图例+1800多家全国化工企业名录+48张资源分布图

*载下**6重福利资料包步骤
1、关注【小黄人工业互联】头条号
2、私信回复【6】即可获取*载下**地址
一 操作线简介
RIST操作线是由法国钢铁研究院A.Rist教授于20世纪60年代提出,在这一直角坐标图里,通过Fe-O-C三元素的变化与转移,将高炉冶炼参数和指标之间的内在联系简单、直观地表达出来,揭示了高炉冶炼过程的实质与规律。随着现代高炉喷煤水平越来越高,后人在Rist操作线基础上加进氢元素,构成了Fe-O-C-H四元系操作线图[1]。
二 操作线原理与绘制
Rist操作线实际反应的是高炉内部氧的传递过程,即从铁矿石与鼓风带入高炉的氧迁移到煤气中[2],纵坐标为氧铁比,为氧的来源,横坐标为碳氧比,为氧的去向(也可以理解为燃烧,直接,间接还原夺取的氧),所以在该坐标系下的直线斜率为C/Fe,即代表高炉冶炼碳比,代表高炉冶炼的原燃料消耗水平,如下图所示,以下详述高炉加氢Rist操作线图绘制方法。
2.1 A点的纵坐标
yA代表高炉含铁原料带入的氧元素,所以A点的Y坐标是受高炉入炉原料中铁的氧化度有关,根据元素守恒,可以认为入炉含铁料的铁存在的形式分为FeO、Fe2O3,所以yA大于1小于1.5。


为矿石中

的质量分数;

为矿石中

的质量分数,根据原料中全铁与亚铁含量计算,按下式计算:


为矿石的全铁。(计算过程中取质量百分数)

为高炉内煤气利用的氢气量,按下式计算

[Fe]为生铁中铁元素的含量;H2O为氢还原生成水蒸气的体积分数(可以根据炉内氢平衡计算);Vg为炉顶煤气量,单位m3/min。
2.2 A点横坐标
A点的X坐标xA代表氧的去向,为炉顶煤气中的氧原子与碳原子比例,即

CO2 为炉顶煤气中CO2 的体积分数;CO为炉顶煤气中CO的体积分数;
2.3 E点纵坐标
所以E点代表高炉鼓风带入的氧和非铁元素还原带入的氧,与吨铁耗氧量和铁水成分有关,所以由两部分组成,一部分是鼓风带入的氧,一部分是非铁元素还原带入的氧,按下式计算:
横坐标:xE=0;纵坐标: yE=-(yf+yb)
yf为非铁元素还原带入的氧,包括生铁中的硅、锰、磷、钛、渣中的硫,根据非铁元素还原反应方程平衡,得到:

;
[Si],[Mn],[P],[Fe],[Ti]为生铁中元素的质量分数,Z为渣比,t/t,(S)为渣中硫的质量分数。
yb为鼓风带入的氧:

Vb为吨铁耗风量(m3/min),O2b鼓风中氧气的体积分数,O2b=0.21+0.29φ+f,φ为鼓风湿度(%),体积分数,f为富氧率(%)。
2.4 实际操作线AE与实际碳比
AE:Y=aX+b
其中:
如上述,该坐标系下的直线斜率为C/Fe,即高炉冶炼碳比,将其摩尔比换算为质量比即有:

2.5 P点横坐标
P点代表高炉内高温区的热平衡点,xP取决于高温区的热收入,例如风温、碳素燃烧放热等,风温越高,xP越小,yP取决于高温区的热支出,例如生铁直接还原耗热、成渣吸热等,渣比越高,热消耗越高,yP越大,该点是由当前的炉内操作条件决定的,按下式计算:

qd为直接还原铁耗热,qd=152190kJ/kmolFe;(产生每公斤原子铁还原吸收的热量)qd为高温区的热收入项,单位:千摩尔碳素对应的热量;

V为风量,单位:Nm³/min;
O2b为鼓风中的氧元素转换成氧气的量;
Qb为鼓风有效热量,单位:kJ/kmol
Qb=Q风+Q燃-Q水
Q风为鼓风显热,单位:kJ/kmol;Q燃碳素燃烧放热,单位 kJ/kmol;Q水水煤气分解反应吸热:单位 kJ/kmol,各项热量计算方法可参考第二热平衡计算方法。
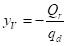
2.6 P点纵坐标
P点在直线UV上,可以先求解UV方程式:
V点横坐标:xv=1 ;V点纵坐标:

,Qr为高温区其他耗热项,Qr=qb×yb-qd×yd;
U点横坐标:xu=0 ;纵坐标yu=-yf
所以UV线:y=(yf+yv)x-yf,将xp带入UV即可求得P点纵坐标。
2.7 W点
W点的横坐标wA代表在1000℃左右,高炉内FeO+CO=Fe+CO2反应完全达到平衡时气相中的O/C,在该条件下下,CO2的含量一般为29%,所以xA=1.29,该点在不考虑动力学条件的反应平衡点,在实际高炉内上升的煤气与下降的炉料不可能完全充分接触,所以W点是不可能超过的点;W点的纵坐标为该温度下浮氏体的含量,一般取1[1]。
W点纵坐标:yw=1;
W点横坐标:xw=1+CO2*×(1-α)+H2O*×α;
其中:CO2*,H2O*为一氧化碳间接还原浮氏体,氢气还原浮氏体,方程平衡时二氧化碳、水蒸气的体积分数,按1000摄氏度时计算,分别取0.29、0.42;
α为氢气占还原气体(碳素燃烧、直接还原、非铁元素还原与脱硫产生的一氧化碳以及炉内存在的氢气,量化为产生吨铁)的体积分数;

∑H2料为高炉入炉的总氢量,单位m3/tFe。
2.8 理想操作线PW与理想碳比
根据P点、W点的坐标可以求得离线操作线,这里不做赘述,假设理想操作线方程为Y=a`X+b` ,类似实际碳比求解方法可得理想碳比:

B点之前O/C小于1,即高炉炉顶煤气中没有出现CO2,代表高炉内的直接还原发生情况,yB代表高炉直接还原度,高炉直接还原度越高,yB越大。
U点代表高炉中非铁元素的还原带入的氧,即yU为生铁中Mn、P、Si、S等元素的还原形成CO带入的氧,与生铁中Si、Mn、P、S的含量有关,生铁成分中Si含量越高,则yU越大。
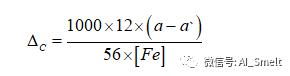
2.9 节焦潜力

注:此处计算出来的节焦潜力实际上是碳原子的质量,如果折换成焦炭需要根据焦炭固定碳含量进行折算。
2.10 炉身工作效率
炉身工作效率用来实际操作线AE接近理想操作线PW的程度,按下式计算:

三 操作线应用
Rist操作线图是分析现代高炉冶炼过程以改善冶炼状况的重要手段,用一根直线将高炉冶炼过程中的风温、喷吹量、煤气利用率等参数联系在了一起,反映高炉内部氧元素的“来”(鼓风与矿石)龙“去”(炉顶煤气)脉,根据操作线图变化规律,可以帮助高炉操作者得到进一步节焦的方向和节焦潜力,并加深操作者对高炉内部反应过程的理解[3]。

3.1 分析高炉冶炼过程
Rist操作线本身从下向上代表着高炉从下至上的反应过程以及炉内碳氧比变化过程,沿着AE线从下向上:
(1)E点到U点之间代表着高炉内碳素燃烧反应过程:C+O2=2CO,此时炉内碳过剩,碳氧比大于1,此反应发生在高炉风口区域;
(2)从U点到坐标原点O,代表高炉内硅、锰、磷、钛等非铁元素直接还原的过程,例如:MnO+C=[Mn]+CO,此时碳氧比大于1,大部分发生在高温区域;
(3)从U到B代表高炉内铁的直接还原过程:FeO+C=Fe+CO,到达B点时碳氧比为1,即炉内全部是CO,该过程发生在高炉高温区;
(4)从B到A代表高炉内间接还原过程:FeO+CO=Fe+CO2,此时碳氧比大于1,最终形成炉顶煤气,该过程发生在高炉中上部。

3.2 挖掘节焦潜力与方向
通过建立Rist操作线可以得到当前高炉状态下的实际操作线AE与理想操作线A`E`,最终得到当前燃料消耗水平与最低燃料消耗水平的差距,即节焦潜力;从RIST操作线可以看出,降低燃料消耗需要提高高炉炉身工作效率,即AE实际操作线无线接近A`E`理想操作线。结合现场实际,具体方向为:(1)xA增加,改善高炉煤气流分布,使煤气与矿石充分接触,提高高炉炉顶煤气利用率;(2)xP减小,提高风温水平,降低高炉内由于热量供应造成的燃料消耗量;(3)yE降低,即降低吨铁耗氧量,稳定高炉顺行,减少由于异常炉况导致的碳素与氧额外燃烧消耗。
3.3 为行业对标提供科学指标
目前国内炼铁企业间普遍以燃料比、产量等指标的高低进行对比,来衡量其操作水平,没有考虑其原燃料水平,可能有失公平。北科亿力行业级炼铁大数据平台已接入300多座高炉,选择两企业数据进行对比可以看到,某内地企业入炉品位50%,燃料比580kg/t,某沿海企业入炉品位56%,燃料比水平540kg/t,如果单纯的以燃料比水平来衡量企业炼铁水平,显然沿海企业炼铁水平较高,此时如果内地企业不考虑自身的实际情况,盲目的要求降本达到沿海的燃料消耗水平,可能适得其反。此时可以纳入原燃料质量数据,绘制两高炉Rist操作线,对比其节焦潜力或炉身工作效率。
3.4 解析高炉直接还原与间接还原
在高炉炼铁过程中既有铁的间接还原,也有铁的直接还原,两种还原各有特点。如何通过高炉调整建立合理的煤气流分布,提高高炉间接还原率,是高炉操作者长期以来降本增效的重要方法,高炉直接还原度是衡量高炉直接还原的重要指标,通过Rist操作线计算得到的AE:Y=aX+b,当炉内碳氧比为1是,即x=1,带入方程即可得到高炉内直接还原度。
在炼铁界一直用煤气利用率来衡量高炉的间接还原发生的程度,普遍认为高炉煤气利用率越高,则高炉间接还原发生的程度越高,因为CO与浮氏体发生还原反应产生CO2,会使得炉顶煤气中的CO2百分数增加。
按照那树人炼铁计算中的间接还原定义为产生一吨铁,通过FeO+CO=Fe+CO2(实际间接还原发生形式有多种,但都产生CO2)反应产生的铁量,从化学反应可以看出间接还原会增加吨铁CO2的生成量,即吨铁炉顶煤气CO2的体积,而并非传统的CO2百分比;
从RIST操作线也可以证明这一点,高炉间接还原程度增加,即代表高炉内直接还原度降低,所以A点的横坐标增加(即煤气利用率增加)或者E点纵坐标增加(即吨铁耗氧量,与吨铁炉顶煤气量成正比)都可以降低直接还原度,两者结合起来为吨铁炉顶煤气CO2的体积。
所以对间接还原反应更合理的衡量标准应该为吨铁炉顶煤气CO2的体积,影响间接还原的因素除了煤气利用率还有吨铁炉顶煤气体积。
一般生产现场可能存在这种炉况现象,在高炉炉况不顺,料速较慢,焦炭负荷较轻时,炉顶煤气利用率变化不大或者降低。从机理层面分析,在上述炉况条件下,炉内CO气氛比较充足,CO在块状带可以与炉料充分接触,从热力学与动力学层面都利于CO+FeO=Fe+CO2反应的发生,应该利于间接还原的发生,如果此时用煤气利用率衡量间接还原的情况就会出现与实际不相符的情况。用吨铁炉顶煤气中CO2的体积来解释的话,其实是因为吨铁炉顶煤气体积大幅度增加,实际上综合到吨铁CO2体积上是增加的,所以间接还原发生的程度是增加的。