SUM 函数
指定为参数的所有数字相加。
语法:SUM(number1,[number2],...])
参数:
- number1 必需。想要相加的第一个数值参数。
- number2,,... 可选。想要相加的 2 到 255 个数值参数
如果参数是一个数组或引用,则只计算其中的数字。数组或引用中的空白单元格、逻辑值或文本将被忽略
SUMIF 函数
对区域 (区域:工作表上的两个或多个单元格。区域中的单元格可以相邻或不相邻。)中符合指定条件的值求和
语法:SUMIF(range, criteria, [sum_range])
参数:
- range 必需。用于条件计算的单元格区域。每个区域中的单元格都必须是数字或名称、数组或包含数字的引用。空值和文本值将被忽略。
- criteria 必需。用于确定对哪些单元格求和的条件,其形式可以为数字、表达式、单元格引用、文本或函数。【任何文本条件或任何含有逻辑或数学符号的条件都必须使用双引号 (") 括起来。如果条件为数字,则无需使用双引号】
- sum_range 可选。要求和的实际单元格(如果要对未在 range 参数中指定的单元格求和)。如果 sum_range 参数被省略,Excel 会对在 range 参数中指定的单元格(即应用条件的单元格)求和。
sum_range 参数与 range 参数的大小和形状可以不同。求和的实际单元格通过以下方法确定:使用 sum_range 参数中左上角的单元格作为起始单元格,然后包括与 range 参数大小和形状相对应的单元格
SUMIFS 函数
对区域 (区域:工作表上的两个或多个单元格。区域中的单元格可以相邻或不相邻。)中满足多个条件的单元格求和。
语法:SUMIFS(sum_range, criteria_range1, criteria1, [criteria_range2, criteria2], ...)
参数:
- sum_range 必需。对一个或多个单元格求和,包括数字或包含数字的名称、区域或单元格引用 (单元格引用:用于表示单元格在工作表上所处位置的坐标集。忽略空白和文本值。
- criteria_range1 必需。在其中计算关联条件的第一个区域。
- criteria1 必需。条件的形式为数字、表达式、单元格引用或文本,可用来定义将对criteria_range1 参数中的哪些单元格求和。
- criteria_range2, criteria2, … 可选。附加的区域及其关联条件。最多允许 127 个区域/条件对
仅在 sum_range 参数中的单元格满足所有相应的指定条件时,才对该单元格求和。
与 SUMIF 函数中的区域和条件参数不同, SUMIFS 函数中每个 criteria_range 参数包含的行数和列数必须与 sum_range 参数相同。
SUMPRODUCT 函数
在给定的几组数组中,将数组间对应的元素相乘,并返回乘积之和
语法:SUMPRODUCT(array1, [array2], [array3], ...)
参数:
- Array1 必需。其相应元素需要进行相乘并求和的第一个数组参数。
- Array2, array3,... 可选。2 到 255 个数组参数,其相应元素需要进行相乘并求和
SUMSQ 函数
返回参数的平方和
语法:SUMSQ(number1, [number2], ...)
参数:Number1, number2, ... Number1 是必需的,后续数值是可选的。这是用于计算平方和的一组参数,参数的个数可以为 1 到 255 个。也可以用单一数组或对某个数组的引用来代替用逗号分隔的参数。
参数可以是数字或者是包含数字的名称、数组或引用。
逻辑值和直接键入到参数列表中代表数字的文本被计算在内。
如果参数是一个数组或引用,则只计算其中的数字。数组或引用中的空白单元格、逻辑值、文本或错误值将被忽略
SUMX2MY2 函数
返回两数组中对应数值的平方差之和。
语法:SUMX2MY2(array_x, array_y)
参数:
- Array_x 必需。第一个数组或数值区域。
- Array_y 必需。第二个数组或数值区域。
平方差之和的计算公式如下:

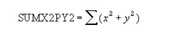
SUMX2PY2 函数
返回两数组中对应数值的平方和之和,平方和之和总在统计计算中经常使用
语法:SUMX2PY2(array_x, array_y)
参数:
- Array_x 必需。第一个数组或数值区域。
- Array_y 必需。第二个数组或数值区域。
平方和之和的计算公式如下:

SUMXMY2 函数
返回两数组中对应数值之差的平方和。
语法:SUMXMY2(array_x, array_y)
参数:
- Array_x 必需。第一个数组或数值区域。
- Array_y 必需。第二个数组或数值区域。
差的平方和的计算公式如下:

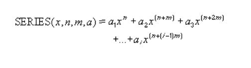
SERIESSUM 函数
返回基于以下公式的幂级数之和:

语法:SERIESSUM(x, n, m, coefficients)
参数:
- X 必需。幂级数的输入值。
- N 必需。x 的首项乘幂。
- M 必需。级数中每一项的乘幂 n 的步长增加值。
- Coefficients 必需。一系列与 x 各级乘幂相乘的系数。Coefficients 值的数目决定了幂级数的项数。
AGGREGATE 函数
返回列表或数据库中的合计。
AGGREGATE 函数消除了条件格式的限制。如果区域中存在错误,则数据条、图标集和色阶将无法显示条件格式。这是因为当计算区域中存在错误时,MIN、MAX 和 PERCENTILE 函数不进行计算。
出于相同的原因,LARGE、SMALL 和 STDEVP 函数也会影响某些条件格式规则的相应功能。通过使用 AGGREGATE 函数,这些错误将被忽略,因而可以实现这些函数。此外,AGGREGATE 函数可将不同的聚合函数应用于列表或数据库,并提供忽略隐藏行和错误值的选项
语法:
- 引用形式:AGGREGATE(function_num, options, ref1, [ref2], …)
- 数组形式:AGGREGATE(function_num, options, array, [k])
参数:
- function_num 必需。一个介于 1 到 19 之间的数字,指定要使用的函数
- Options 必需。一个数值,决定在函数的计算区域内要忽略哪些值。【0 或省略,忽略嵌套 SUBTOTAL 和 AGGREGATE 函数;1,忽略隐藏行、嵌套 SUBTOTAL 和 AGGREGATE 函数;2,忽略错误值、嵌套 SUBTOTAL 和 AGGREGATE 函数;3,忽略隐藏行、错误值、嵌套 SUBTOTAL 和 AGGREGATE 函数;4,忽略空值;5,忽略隐藏行;6,忽略错误值;7,忽略隐藏行和错误值。】
- Ref1 必需。函数的第一个数值参数,这些函数使用要为其计算聚合值的多个数值参数。对于使用数组的函数,ref1 可以是一个数组或数组公式,也可以是对要为其计算聚合值的单元格区域的引用。
- Ref2,... 可选。要为其计算聚合值的 2 至 253 个数值参数。对于使用数组的函数,ref2 是某些函数必需的第二个参数。
AGGREGATE 函数适用于数据列或垂直区域,不适用于数据行或水平区域。