博莱君说
最近新学三角函数的同学,是不是感觉脑子不够用了,那么多的公式,稍有差池,就记混了!那怎么办呢?博莱君来教你啊!
首先三角函数的定义,可以根据平面直角坐标系,联想初中学过的定义来记忆就好,这里一般没有什么困难!

接下来弧度制与角度制的相关公式,有点难,同学们还记得小学学过的圆的周长公式吗?C=2πr,而圆周角是360°,根据比例关系就能得出n°角所对的弧长公式了,那后面的就简单了

在做题的时候,经常会看见这样的题目,问一个角在第一象限,那么这个角的二分之一或者三分之一在第几象限呢?看下面这个八卦图即可。


同角关系,平方关系,这里小数老师不说了,初中的时候就知道了,但是博莱君要提醒一句:这几个公式很重要哦,考试的时候会经常考的,所以一定牢记!

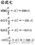
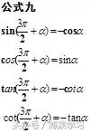
然后就是诱导公式了,大家请看,课本上有这么几组公式,记起来是不是很痛苦啊?










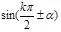
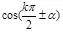
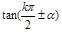
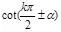
(以上k∈Z)
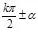
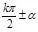
这里,小数老师告诉大家:公式一至公式九中的角全看成是

的形式,用一句话记忆“奇变偶不变,符号看象限”若k为偶数,则函数名不变,若k为奇数,则函数名要发生变化,sin变cos,cos变sin,tan变cot,,cot变tan.符号看象限,指的是

所在象限,

、

、

,

的符号
到这里,必修四第一章的关于三角函数的公式就结束了,当然还有三角函数的性质与图像,那不是我们今天的重点哈!但是必修四第三章还有三角恒等变换的公式呢,那同学可以先收藏这篇文章,等到学到那里再来看吧!
三角恒等变换的母公式是,这个要记牢,后面所有的公式都是根据它们来推导的哦!

差角公式怎么记?把上面和角公式后面的角变成负的,然后在化简的时候,利用诱导公式提取符号即可。

倍角公式,那就是和角公式中,两个角相等的特殊情况啦!


提斜公式,这是把和角公式反过来用,把系数想办法变成同一个角的正余弦值即可。

常见的提斜公式有下面几个,一定要记清哦,非常容易考的!

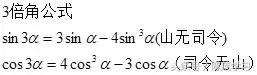
下面的半角公式与三倍角公式,大家有选择的记吧,考的可能性不太大!


升幂公式与降幂公式,借助了前面说的平方和公式,对1进行妙用,可以得到。


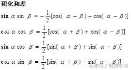
和差化积与积化和差公式,小数老师放上来凑数的,这些公式现在基本不考,即使考,试卷上会给,但是这些公式也都是根据前面的母公式推导出来的,感兴趣的同学可以试试。


万能公式要记牢哦!

好了,本书中的三角公式到此为止,下面再附一下三角形中可能会用到的变换公式,这样一篇文章才概括全所有的三角公式哈!加油吧,少年!

1.

2.若sin(A+B)<sinA,则A+B为钝角
3.若cosA<0,则A为钝角;若cosA=cos(B+C)=0,或sin(B+C)=1则A为直角; 若cosA>0,则A为锐角.若sin(B-C)=0或cos(B-C)=1,则B=C,即三角形ABC为等腰三角形。
