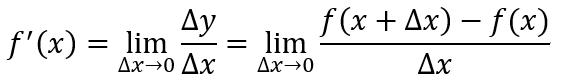
我在上一篇中讲到,导数就是函数值的瞬时变化率,连续函数y=f(x)在x处的导数表示为

利用此定义可以求很多已知函数的导数。如果函数每个自变量值处的导数都能求出来,那么自变量与函数的导数值集合之间的映射也是一个函数,称其为导函数。
因为涉及的较多更深的知识,高中阶段并不需要掌握一般函数的导函数公式推导过程,只需要记忆一些导数公式方便解题使用就好。

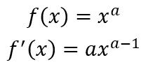
例如,一般形式的幂函数及其导数

一般形式指数函数及其导数

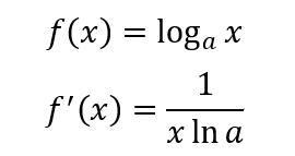
一般形式对数函数及其导数

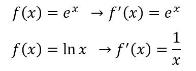
特别情况下,当底数为e时,指数和对数函数的导数变为

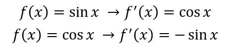
三角函数的导数为

这些函数导数的结论,有些根据定义即可证明,但有些需要用到高等数学中的极限和等价无穷小的知识,在以后的高等数学部分我都会给出详细的推导过程。
导数值的大小可以体现出函数的变化趋势:当导数为正数时,函数值是递增的;当导数为负数时,函数值是递减的;导数为0的自变量处,可能是函数的最值。导数是分析函数的走势的一个非常重要的工具。
本文由小朱与数学原创,欢迎关注,带你一起长知识!