此文是上期文章预告过的,上期文章给出了实数可数定理的第三个证明——基数减少法证明,今天的文章则要给出实数可数定理的第四个证明——对称证明法。也是为了*翻推**已有百年历史的假定理——实数集不可数定理。因为 个, 个, 个任意实数都是可数的,所以任意多个任意实数的集合都是可数的;所以实数集不可数定理是显而易见的假定理,它的唯一证明——对角线法,则是*证假**明。
本文在证明之前,需要先给出引理如下:
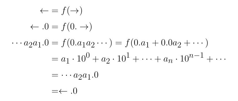
引理 .(实数对称定理 )

该引理是说:每一个小数都与一个整数对称,反之亦然. 有限小数与有限整数对称,无限小数与无限整数对称。以小数点为中心,向左和向右的第 位数字是可以相同的。
其中 和 是本人提出的二个数学符号, 是任意正整数的符号, 是其简写; 是任意正小数的符号, 是其的简写。
例 1. 。
例 2. 。
在人类历史中,因为生产和生活的需要,人们先后发明了自然数、整数、实数、正数、负数,复数,等等;根据上述的实数对称定理,从无限小数就应当可以推出无限整数、如无限循环整数、无限不循环整数、无限混循环整数、无限奇数、无限偶数、无限素数、等等。遗憾的是,目前人类的自然数集 还没有确定的无限自然数;建议将已有自然数集 进行扩张,增加无限整数。我给出的自然数集 的扩张如下图所示,其中包括无限大整数如 和超限大整数如 :


下面给出证明实数可数定理的对称证明法:简称:对称法:
证. 因为根据实数对称定理可知,开区间 的每一个小数,无论是有限位小数,还是无限位小数,都与一个整数 1-1 对应:
因为整数是可数的;
所以开区间 的全体小数是可数的;
因此实数可数定理成立。
证毕
参考文献
[1] 侯小山,《关于基本实数的一系列重大发现》,《缔客世界》2020年04月,第158页。
下期预报
下期将给出实数可数定理的第五个证明,敬请期待或关注。