复数的四则运算公式:
- 加减法运算:(a+bi)±(c+di)=(a±c)+(b±d)i
- 乘法运算:(a+bi)(c+di)=(ac-bd)+(bc+ad)i
- 除法运算:(c+di)(x+yi)=(a+bi)

了解复数的运算公式之前,应该先明白复数的定义,在定义的基础上理解、运用复数的运算公式。今天小柒老师给大家详细地讲解一下中学复数的运算公式。
一、复数的定义
复数是形如a+bi的数。式中a,b为实数,i是一个满足i=-1的数,因为任何实数的平方不等于-1,所以i不是实数,而是实数以外的新的数。在复数a+bi中,a称为复数的实部,b称为复数的虚部,i称为虚数单位。当虚部等于零时,这个复数就是实数;当虚部不等于零时,这个复数称为虚数,虚数的实部如果等于零,则称为纯虚数。由上可知,复数集包含了实数集,因而是实数集的扩张。复数常用形式z=a+bi叫做代数式。

二、复数的四则运算公式
- 加减法运算 设z1=a+bi,z2=c+di是任意两个复数,它的实部是原来两个复数实部的和,它的虚部是原来两个虚部的和:(a+bi)±(c+di)=(a±c)+(b±d)i。
- 乘法运算 设z1=a+bi,z2=c+di是任意两个复数,则:(a+bi)(c+di)=(ac-bd)+(bc+ad)i。其实就是把两个复数相乘,类似两个多项式相乘,结果中i=-1,把实部与虚部分别合并。两个复数的积仍然是一个复数。
- 除法运算 复数除法定义:满足(c+di)(x+yi)=(a+bi)的复数x+yi(x,y∈R)叫复数a+bi除以复数c+di的商。

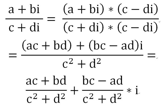
- 【 重点记忆 】运算方法:可以把除法换算成乘法做,将分子分母同时乘上分母的共轭复数,再用乘法运算。

- 【例题】 求(a+bi)/(c+di)
我们设结果为x+yi
只需解方程(a+bi)=(c+di)(x+yi)即可
也就是方程组cx-dy=a cy+dx=b
解得x=(ac+ba)/(c+d) y=(bc-ad)/(c+d)
小结
总的来说,复数的基本运算很简单,把它当做是关于i的多项式进行计算即可。 记得 i=-1