民国六美人:气质美如兰,才华馥比仙,写得一手好书法!

《红楼梦》中有诗言“气质美如兰,才华馥比仙。”意思是说气质之优美如同幽谷中的兰花一样芳馨纯洁,才华之出众又宛如仙子一样聪慧敏捷。
回眸民国六位“红颜”,
她们不只是拥有美貌的金丝雀,
更是才貌双全的百灵鸟!
拥有着姣好的面容,
无与伦比的气质和才华,
以其独特个性和才情书写着生命华章,
或挥洒墨意,或研磨工笔,
巾帼不让须眉,成为一道
独特而令人叹赏不尽的风景。
林徽因
人间最美四月天

不曾被时光淹没和遗忘的林徽因,是江南才女、绝代佳人。其名出自“《诗·大雅·思齐》:大姒嗣徽音,则百斯男”。后因常被人误认为当时一作家林微音,故改名徽因。

▲ 1927年毕业于宾州大学美术系
林徽因是那种聪颖的中国士族女子又加上了西洋的教育和思想,是一个难得的才女。可与徐志摩、梁思成、金岳霖之间剪不断理还乱的的感情,成了人们了解她的最大来源。但是如果真正走近她,了解她的生活、她的思想、她的选择,会发现她身上有着中国传统女性所稀有的独立精神和现代气质。

▲ 1928年3月,梁思成与林徽因在加拿大结婚照。婚纱是林徽因自己设计的。
连胡适都誉其为中国一代才女。她的“才”体现在这四件事情上:
一、中华人民共和国国徽深化方案的设计者。



林徽因与梁思成深化修改的国徽稿
二、改造了传统景泰蓝。

林徽因设计夔龙纹对罐
三、参与了*安门天**人民英雄纪念碑设计。并且她用现代科学方法研究中国古代建筑,成为这个学术领域的开拓者,后来在这方面获得了巨大的学术成就,为中国古代建筑研究奠定了坚实的科学基础。


▲ 1930年代林徽因考察山西古建筑时的留影。她同梁思成一样,把自己的一生都贡献给了中国的建筑事业。

▲ 1934年林徽因在汾阳小相村灵岩寺(梁思成摄)
四、文学上,著有散文、诗歌、小说、剧本、译文和书信等,代表作《你是人间四月天》,《莲灯》,《九十九度中》等。

林徽因、泰戈尔、徐志摩
你是人间的四月天
——一句爱的赞颂
我说你是人间的四月天;
笑响点亮了四面风;轻灵
在春的光艳中交舞着变。
你是四月早天里的云烟,
黄昏吹着风的软,星子在
无意中闪,细雨点洒在花前。
那轻,那娉婷你是,鲜妍
百花的冠冕你戴着,你是
天真,庄严,你是夜夜的月圆。
雪化后那篇鹅黄,你象;新鲜
初放芽的绿,你是;柔嫩喜悦
水光浮动着你梦期待中白莲。
你是一树一树的花开,是燕
在梁间呢喃,——你是爱,是暖,
是希望,你是人间的四月天!
选自《学文》一卷一期(1934年4月5日)
也许由于战乱,也许由于极高的自我审查观,林徽因在世的手稿,不管是书法还是绘画都算是极少量。即便如此,也希望能通过以下的资料去还原一个具有艺术气质的文学建筑师。

林徽因书于30多岁的对联“宵清籁灭黄鹤时警,山空迹孤白雁忽来”清灵飘逸,取法禇遂良。当时正面临着国破弟死,林徽因内心的哀伤从联文可辞知,然而褚字的“字里金生,行间玉润,法则温雅”的特点被林徽因很好地保留下来,并有着一种孤傲、高洁的性情,依稀可见其绝代风华。

林徽因书法

林徽因书法

林徽因绘画

林徽因绘画

林徽因绘画

林徽因绘画

林徽因水粉画《故乡》

林徽因教育其女儿梁再冰的手绘漫画图稿

林徽因手绘之《床铺图》
这世上有太多比林徽因漂亮的女子,然而没有几个可以像她这般有才,比她有才的女子又不如她这般漂亮。
陆小曼
聪慧敢爱真性情

陆小曼是徐志摩第二任,也是最后一任妻子。因为都和徐志摩有过一段缘,甚至连忌日也都在四月初,只隔一天,人们常拿她和林徽因两个做对比,对拿捏理智的林徽因颇多赞誉,而对真性情的陆小曼却诸多诟病。
却不知,那些感情纠葛,掩盖了她的才情;更不知胡适说过她是“不得不看的一道风景”,刘海粟称她为“一代才女,旷世佳人”。

陆小曼生于书香门第,父亲陆定是晚清举人,毕业于日本早稻田大学,后任财政司长和赋税司长多年。母亲吴曼华是江南名门闺秀,尤擅笔墨丹青。因为是家中九个孩子唯一存活下来的独苗,她被视为掌上明珠,受到了良好的教育。
她十足聪慧,写得一手好书法;



她诗画双全,15岁时就有外国人买走她的画,其工笔花卉和淡墨山水,颇见宋人院本地传统;

陆小曼画作《江南春*图色**》

陆小曼画作《闲游听潮图》
她擅长戏剧,曾与徐志摩合作创作五幕话剧《卞昆冈》。她还谙昆曲,也能演皮黄,一开腔便惊艳全场。

▲ 陆小曼(右)与唐瑛对戏
1922年,19岁的陆小曼奉父母之命与王赓结婚。王赓英俊挺拔,毕业于清华大学,年纪轻轻就在*队军**任上校。这段婚姻,是典型的“条件论”,门当户对,羡煞旁人。

▲ 王赓
只是婚姻可以用条件公式来计算,但爱情不能。婚前的陆小曼是一个独立而明亮的女子,婚后的她却成了附属品。王赓一心扑在工作上,小曼在家里成了花瓶。面对如此烦闷的婚姻,她只好借酒消愁。

▲ 有关陆小曼与王赓婚礼的报道
她需要一个真正理解、关心、爱护她的男人。这时,诗人徐志摩犹如天外来客,闯进了她的生活。窈窕淑女和浪漫诗人一起喝茶看戏、打牌跳舞,全然沉浸在爱情里,于千万人之中遇见你所遇见的人,没有早一步,也没有晚一步,刚巧赶上了,这就是缘分。

▲ 徐志摩
对待爱情,陆小曼比徐志摩还要有勇气。徐志摩迫于各方压力,跑到欧洲避风头,而陆小曼则向父母提出离婚的想法。她给徐志摩回信说:“摩,为你我还是拼一下的好,非到精疲力尽绝不回头。人家全当我是个只会玩只会穿的女子,只有你是第一个人从一切的假言假笑中看透我的真心,认识我的苦痛!”

终于与徐志摩结婚后,他俩都是浪漫天真之人。徐志摩不着边际,林徽因才弃他而去;而陆小曼追求的是极致的爱和快乐,可人生总无法尽兴。爱情虽美好,却往往败给了柴米油盐,是这对极致浪漫之人躲不开的结局。

1931年11月17日,一场争吵之后,徐志摩负气离家,19日,徐志摩搭乘的飞机在济南触山爆炸,志摩身亡,现场留下的遗物,只有陆小曼画的山水长卷。其实,他依然心系爱妻,他常带着她的画,让大师们点评题跋。陆小曼也深爱着他,得知噩耗的瞬间,她就老了好几岁。

▲ 61岁的陆小曼摄于住宅对面的静山公园假山小桥边
陆小曼的人生从志摩去世开始,有了明晃晃的分界线。从此简居素衣,绝足欢场,开始整理志摩的遗文,编纂《志摩全集》。在病痛中,她重拾画笔,戒了*片鸦**,潜心作画,用笔墨丹青在纸上游历山水、寄情花鸟。在徐志摩去世多年后,她甚至在上海举办画展,成为了中国画院的画师。

陆小曼 翠峰冥*图色** 立轴

陆小曼 1947年作 金鱼 立轴

陆小曼 1933年作 爱莲居士 立轴

陆小曼 现代 松下论道图 书斋镜片
1965年4月3日,一代名媛陆小曼在上海悄然逝世。葬礼冷清,而她留下的书稿与画,终于成全了她自己。斯人已逝,唯有口作笔,言为墨,纸上说。
张充和
十分冷淡存知己

民国时期,叶圣陶曾说:“九如巷张家的四个才女,谁娶了她们都会幸福一辈子。”这四位,就是著名的“合肥四姐妹”:大姐张元和,情系昆曲名家顾传玠;二姐张允和与语言学家周有光结为伉俪;三姐张兆和因为作家沈从文的追求而名声在外;四妹张充和,擅书法昆曲,成为汉学家傅汉思的夫人。

众星捧月的“张家四小姐”(二排左一为张充和)
张充和1913年生于上海,祖籍合肥,是苏州教育家张武龄的四女。在生她之前,母亲陆英已经连续生了三个女儿。充和的一个叔祖母心疼她的母亲陆英,主动提出想收养充和,陆英就把充和交给了叔祖母。在那里,她一直生活到十六岁。

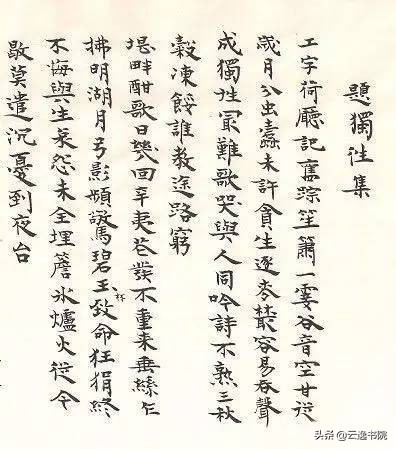
张充和《题独往集》
叔祖母是李鸿章的侄女,很有见识,相当重视小充和的教育。她为充和请的老师名叫朱谟钦,是吴昌硕的弟子,既有才学也很开通,他教充和学古文,还专门弄来了颜勤礼碑的拓本,教她练字。充和说,颜碑用来打基础是非常好的,直到年老,她每过几年都要临一次颜勤礼碑。充和随朱先生从九岁一直学到十六岁,他留给充和的,不仅仅是深厚的国学知识。

张大千为张充和所作昆曲神韵像
叔祖母去世后,十六岁的充和回到了苏州九如巷。父亲创办了女学,三个姐姐受的是中西结合的教育,这和充和的私塾教育是完全不同的。姐姐们更为洋派,充和的旧学功底则最好。苏州生活让充和的人生路上多了项终身陪伴的爱好———昆曲。张大千以一张仕女图留住了她的风姿。抗战年代,她凭着一出《游园惊梦》,惊艳了当时的重庆。上个世纪80年代末,为纪念汤显祖诞辰三百周年,她回国和大姐元和演了一出《游园惊梦》,仍赢得了满堂彩。

1980年,张元和饰柳梦梅,张充和饰杜丽娘,俞平伯说,这是“最蕴藉的一张”照片。
由于身处灿若星辰的一众名家贤士之间,张充和的知交师友中有胡适之、沈尹默、章士钊、闻一多、沈从文、卞之琳、张大千等等。抗战年月,这位正当韶年、俏皮聪慧的“张家四小姐”,在一群“国粹”长者中间穿梭来去,恰如烽火战场间绽放的春兰秋菊,受到众星捧月般的疼爱和娇宠。民国时期,她的昆曲、诗词、书法造诣皆秀逸超凡,成就件件文坛轶事。

1933年,沈从文与三姐兆和在北京结婚,张充和去参加婚礼,随后就一直居京。家里人劝她考大学,她于是就到北大旁听。国文考了满分,尤其是作文《我的中学生活》写得文采飞扬,受到阅卷老师的激赏。试务委员会爱才心切,不得已“破格录取”了她。那年代北大中文系名师济济,充和受益良多。三年级时充和患肺结核,不得不休学,无缘得到北大的学位。康复后,《中央日报》的储安平留英,正缺人手,张充和就到副刊《贡献》当编辑,写散文、小品和诗词,初露才华。

张充和书《游园》工尺谱
张充和最初为大众所知,就是源于一段情事。情事的男主角是当时有名的诗人卞之琳。卞之琳是沈从文的密友,那时充和正住在姐夫家里,两人得以相识。相传那首知名的“你站在桥上看风景,看风景人在楼上看你。明月装饰了你的窗子,你装饰了别人的梦”,就是诗人为充和所作。

卞之琳、张充和1936年10月摄于苏州天平山
卞之琳苦恋张充和,几乎成了当时文学圈内公开的秘密。他持之以恒地给她写信,甚至在她出嫁后去了美国,仍孜孜不倦。他苦心收集她的文字,在她不知情的情况下,送到香港去出版。他追求她长达十年之久,直到45岁才黯然结婚,而对她的爱恋,持续了大半生。多年后,和朋友兼学生苏炜谈到这段“苦恋”,张充和说:“说苦恋都有点勉强。我完全没有和他恋过,所以谈不上苦与不苦。”

抗战前张充和在北平
抗战爆发,张充和随同沈从文一家流寓西南。一年后她在重庆教育部下属的礼乐馆工作,整理礼乐。期间章士钊曾将张充和比作东汉末年的蔡文姬。这让张充和十分不悦,认为是“拟于不伦”:“我是因为抗战从苏州流落到重庆,怎么能跟因为被匈奴打败流落到西域嫁了胡人的蔡文姬相比。”

张充和与丈夫傅汉思
但最终,张充和还是被章士钊一语言中,1948年11月,张充和与德裔汉学家傅汉思喜结*晋秦**,次年1月双双赴美定居。傅汉思在耶鲁大学教中国诗词,张充和在该校美术学院教授中国书法和昆曲。这个最着迷于中国传统文化的人,最终却选择了去国离乡。

《桃花鱼》
张充和一生醉心艺术,但始终保持着老派文人游于艺的态度,书法、诗词都是写了就写了,没想过要结集出版,更没想过要去抢占艺术史上的一席之地。

在耶鲁任教时,一名洋学生自费给她印了本诗集,名字很美,叫《桃花鱼》,装帧也很美,收入的诗只不过寥寥十几首。她百岁时,广西师大出版社推出了一套张充和作品系列,分别是《天涯晚笛》、《曲人鸿爪》和《古色今香》,收录的其实都是些充和无意中留下的吉光片羽。

英国诗人济慈的墓志铭上写着一句话:这里躺着一个人,他的名字写在水上。张充和,也是这样一个“把名字写在水上”的人啊。写的过程就是消失的过程,像飞鸟掠过,天空却并没有任何痕迹。张充和自撰的诗中有一句意思和此相仿,足以概括平生:十分冷淡存知己,一曲微茫度此生。
赵一荻
梨花海棠相伴老

赵一荻,又名绮霞,乳名香笙,出生在香港,因在姐妹中排行第四(幺女),而被称赵四小姐。
赵四小姐身材好,爱打扮也特别会打扮,再加上她喜好运动,嗜好读书,所以内外兼修,使她具有与一般人完全不相同的高雅气质。正因为如此,她曾经成为天津《北洋画报》的封面女郎。

张学良与赵四小姐的故事,颇为传道。她们是在天津的舞会上认识的,彼时的她刚过完15岁生日,正值青春浪漫,她身材颀长、体态婀娜、眉清目秀,虽然在当时都市女郎中论漂亮只能属于中上等,但她的气质和风度绝佳,爱打扮也会打扮,一看就知道她是那种气质非凡、深得教养的大家闺秀。
赵一荻
那天,两人一见钟情,也很快便坠入了爱河,一年后赵四小姐私奔沈阳。此后的日子里,张学良一有空闲就和赵一荻散步、聊天、打球、下棋或者谈论新诗,感情日渐亲密。

赵一荻
当赵一荻的父亲赵庆华,开始知道女儿经常赴舞会,还接受张学良赠送的许多礼物时,就表示非常不满,及至听到赵四小姐私自离家投奔张学良后,更是极为恼怒,便在报纸登了一则启示,启事中,他意将赵四小姐从祠堂中除名,对她以后的言行概不负责,虽然并无脱离父女关系之语,但意思说得十分清楚。

赵一荻 花卉 润清如玉

赵一荻 山水
可这位执著坚定、敢作敢为、宁肯不要名分的赵四小姐,为了爱情,什么也顾不上了。张学良与赵四小姐毫不避讳的婚外情,让于凤至伤心至极,但这位大度而聪明的女人,看得出张赵两人感情之深已是自己比不了的,所以忍心割爱,答应了赵一荻入张家大门。于是就这样,赵四小姐就搬进了大帅府旁边的小楼,并在各方的瞩目下未婚生子。

赵四小姐
张学良的情人虽多,但是陪伴他最久的还是相守了72年的赵四小姐。西安事变后,张学良被蒋介石囚禁,那时于凤至因病去往国外治疗,不便照顾张学良,赵四小姐便得了机会日夜伺候爱人。

张学良与赵四小姐的幽禁生活照
在长达五十三年的幽禁岁月里,张学良与赵四小姐养鸡养鸭、种花培草、自给自足。这位常被张学良用一口地道的东北话,指着对人说“这是我的姑娘”的赵四小姐,与张学良相濡以沫,无怨无悔地陪伴张学良度过了无数个“辗转眠不得,枕上泪难干”的山居日夜与“烽火余生后,唯一愿读书”的幽闭日子。在台湾幽居时期,赵一荻还出版有《好消息》、《新生命》、《真自由》、《大使命》、《毅荻见证集》等著作。

赵一荻在侍弄花草

赵一荻在做家务。昔日的千金大小姐,如今做起了缝纫,衣食自足。
70年代的时候张大千从美国到了台湾,见到张学良夫妇,他便问赵一荻,20年代的字画练得怎么样了,现在是否还能画?由于软禁和照顾张学良饮食起居,赵一荻已没有画画的心境。只是在见到张大千时,才又燃起对画画的兴趣。

在台北外双溪的住所里,赵一荻提出继续学画的想法,很快得到张学良、张大千、张群认同,经过正式拜师,成为张大千的关门弟子,在绘画上颇有造诣。

1990年,张学良恢复人身自由,并于1995年与赵四小姐离台侨居美国夏威夷。2000年6月22日,赵一荻病逝于美国夏威夷,张学良与赵四的感情远超过一般夫妻,在追思礼拜上,悲痛至极的张学良情绪激动,难抑痛苦地频频喊着:“她走了,我要把她拉回来。我要把她拉回来!”那般撕心裂肺的呼喊,让在场的亲友无不为之落泪。

晚年的张学良将军和赵四小姐。
赵四小姐去世前特意遗言后人,要在她的墓碑上刻上《圣经》中的诗句:“复活在我,生命也在我,信我的人虽然死了,亦必复活。” 这或许就是赵四对自己荣辱坎坷一生的感悟和总结了。
孟小冬
尔既无心我便休

孟小冬
孟小冬,梨园世家出身,是早年京剧优秀的女老生,人称“冬皇”。是京剧著名老生余叔岩的弟子,余派的优秀传人之一。

一九零八年十二月九日一个寒冷的冬天,孟小冬出生于上海。孟家三代出了九位京剧名角,祖父孟福保,老徽班出生,擅演武净兼武生;父亲孟鸿群,擅演文武老生兼武净,甚至还给“伶界大王”谭鑫培配戏;此外,她的叔叔伯伯,弟弟妹妹几乎全是登台唱戏的。生在梨园世家的她,从小耳濡目染,看着父亲练功演出,心里多少有些喜欢的,便开始学起“拿大顶”。

真正开始踏上这条路,或者说给她开蒙的人,是她的姨夫仇月祥,学孙派老生。这也是父亲孟鸿群送她去的原因,只让她以老生开蒙,不得入旦行。

孟小冬《四郎探母》
一九一九年三月八日,十一岁的孟小冬无锡首次登台演出,唱《逍遥津》,获得满堂彩。舞台上的她,雌雄难辨,嗓音宽亮,任谁也猜不出,刚才的老生竟是女子。看过她照片的人都知道,她长得很英气,这样的长相,就连现在,也寥寥无几,更何况是当时了。从一九一九年到一九二五年,这六年间,孟小冬从上海到天津,一步一步走到北京,终于因《四郎探母》一炮而红,名震北京城。

为了谋求开拓一片新天地,一九二五年,孟小冬离开上海,毅然北上深造。也就是在这一年,孟小冬在堂会上认识了伶界大王梅兰芳,两人合演经典桥段《游龙戏凤》。在台上,孟小冬是风流倜傥的正德皇帝,梅兰芳则是千娇百媚的李凤姐。在台下,孟小冬是光彩灼人的美少女,梅兰芳则是风度绝佳的翩翩公子。郎有情,妾有意。时间一久,两人情愫渐生。

孟小冬和梅兰芳
但当时梅兰芳已经娶妻,且有两房太太,太太福芝芳难以接受丈夫的这段新感情,不愿让孟小冬进门,也不承认她。梅兰芳很为难,只好把孟小冬娶到了家外的一处院子。之后因为枪杀案与梅母去世孟小冬前去戴孝被拦于门外等事两人最终分开。孟小冬带着她的骄傲和倔强,选择离去。她也对感情也放出了誓言:“要么终身不嫁,要嫁,就嫁一个跺脚乱颤、天上掉灰的人。”孟小冬自己都没想到,那个人,来得这么快。

孟小冬与杜月笙
这个人就是杜月笙,上海最大的黑帮大佬。在于杜月笙相伴了十年之久后,在时局动荡、人心惶惶的时候,孟小冬迎来了属于自己的一场最豪华的婚礼。那天,杜月笙带病出息,穿戴一新。孟小冬冷淡多年,终于露出了难得的笑容。
相比起这两段在当时影响极大的感情,孟小冬的才情往往会被人先入为主地放在一边。事实上,“冬皇”的名头可不是随便一叫的。

孟小冬书法
一九三五年曾有人介绍上海一票友拜余叔岩为师,被余一口回绝。介绍人走后,余对身旁的朋友说:“有些人教也是白教,徒费心力。”朋友问:“当今之世,谁比较好呢?”余叔岩回答说:“目前内外行中,接近我的戏路,且堪造就的,只有孟小冬一人!”精诚所至,金石为开。经过漫长的等待,几经周折,孟小冬终于夙愿得偿。

1975年赴美隐居后,尽管年事已高,仍对绘画一往情深,时常拿出作品细细欣赏。宋美龄晚年长期定居美国,于2003年10月24日在美国逝世,享年106岁。
刹那芳华永留存,
流水落花余香在,
回眸处,真是绝代风流。
你最喜欢哪一位民国“红颜”?欢迎留言与我们分享~