数学必修课本知识点 (数学书人教版实数知识点整理)

实数理论是微积分(包括高中学习的导数)的理论基础,这个理论从古希腊时期发现无理数开始到最后建立完整的理论前后经历了2000多年,在19世纪晚期才完成,如下所述:

必修一数学实数讲解,数学必修一课本知识点

这个理论在人教版2019版A版教材第108页的探究中给出了一个简单的介绍,如下:

必修一数学实数讲解,数学必修一课本知识点

必修一数学实数讲解,数学必修一课本知识点

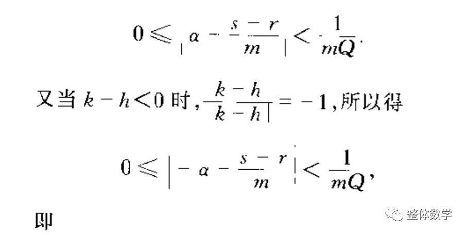
这个就告诉我们一个实数(无理数)是可以通过一系列有理数组成的序列逼近而得到的,那么怎么来理解这个逼近的含义呢?可以通过一篇科普文章来理解,这里转发如下(和笔者之前文章《有理数逼近无理数》一样):

必修一数学实数讲解,数学必修一课本知识点

必修一数学实数讲解,数学必修一课本知识点

必修一数学实数讲解,数学必修一课本知识点

必修一数学实数讲解,数学必修一课本知识点

必修一数学实数讲解,数学必修一课本知识点

必修一数学实数讲解,数学必修一课本知识点

必修一数学实数讲解,数学必修一课本知识点

必修一数学实数讲解,数学必修一课本知识点

必修一数学实数讲解,数学必修一课本知识点

必修一数学实数讲解,数学必修一课本知识点

必修一数学实数讲解,数学必修一课本知识点

必修一数学实数讲解,数学必修一课本知识点

必修一数学实数讲解,数学必修一课本知识点

必修一数学实数讲解,数学必修一课本知识点

必修一数学实数讲解,数学必修一课本知识点

必修一数学实数讲解,数学必修一课本知识点

必修一数学实数讲解,数学必修一课本知识点

必修一数学实数讲解,数学必修一课本知识点