
在三角函数的学习过程中,我们不仅要熟记一些常见的三角公式,而且要熟悉其变化形式,尤其是常用公式的变形公式。下面通过对二倍角的正余弦公式的变形使用,加以说明。
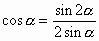
变形一:

例1、求
的值。
解析:原式

说明:本题中利用变形公式

,使得问题得以巧解,简洁明快。另本题也可进行倍角变换,有如下解法:
原式

变形二、

以及

例2、求证:

证明:左边

例3、已知
,求
的值。
解析:由

得

所以


即

因为

所以

所以

即

所以

所以

说明:本题通过利用升幂公式:
,使得已知条件得以因式分解,进而使问题获解。
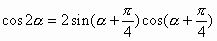
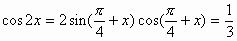
变形三:根据诱导公式,有

,于是有二倍角公式的如下变形

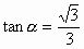
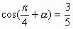
例4、已知

的值。
解析:因为

所以

所以

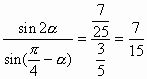
例5、已知
,求
的值。
解析:

所以

因为

,所以

所以

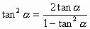
变形四:对于正切二倍角公式:
,通常也有如下变形:


等等
例6、证明:万能公式:(1)

。
证明:由二倍角公式:

,得

,于是:欲证公式

成立,即证明公式

成立。(注:这里应注意

为欲证的另一公式

!)
将上述公式的右边切化弦:

=左边,命题得证。
说明:在这个公式的证明过程中,我们还得到了另一个非常重要的副产品,即

,真所谓“一石二鸟”之举!
--END--
