文 | 全世界最牛的美少
编辑 | 全世界最牛的美少
锂离子电池的形成是制造过程,是一个耗时且重要的过程,在形成过程中,电极上形成的表面层会影响电池性能。
最先进的形成程序包括几个缓慢的电流循环,因为它被认为可以保证良好的表层性能,同时防止降解过程。
最快的方法是基于防止镀锂的快速充电方法,基于将负极电压实时控制在 20 mV 阈值,可以成功防止镀锂,同时确保快速形成过程。
今天小美就给大家讲一下,电解质还原在负极处析出SEI,为何会加速锂电池电极表面层的形成

负极电压的快速充电
形程仅在一个循环后完成,与其他相比,电池和电极电阻、阻抗和容量保持相似,快速充电形成方法在80%充电状态,60°C下储存电池28天时,降解最低。
结果得出结论,实时控制负极电压的快速充电形成方法是一种有益的方法,因为它可以缩短处理时间,同时确保电池的耐用性。
在锂离子电池生产中,固体电解质界面的形成,是最长的工艺步骤之一,需要更好地理解和缩短形成过程,以生产更便宜的电池。
第一次充电期间的电解质还原在负极处形成SEI,除此之外,在第一个循环中,正极上也会形成SEI。

特别是SEI通过限制电解质的进一步还原分解,对电池的性能和老化产生重大影响,SEI材料的组成和电化学性能已经得到了广泛的审查。
业内最先进的化成程序可持续长达数天,由几个充电和放电循环组成,长时间处于高电荷状态会增加负极,还原速率和正极的氧化速率,从而分别导致SEI和PE SEI的形成。
较高的SOC导致较低的NE电位,从而成倍地增加SEI增长率,而增加的C速率具有线性关系。
通过基于差分电压分析的模型,模拟了低NE电位下SEI加速生长的类似结果。

环境温度和外部压力的升高使形成时间约为3小时,与较长的参考行程相比,基于电极等效电路模型,可变快速充电电流速率,甚至导致形成时间低于1小时,而不会对电池性能产生负面影响。
毕竟不同电池配置之间的形成时间很复杂,因为不同的材料会影响最大使用电流,导致负NE电位的充电电流可能会在NE表面形成镀锂,当锂离子对金属锂沉积发生反应而不是嵌入NE时。
一般来说,镀锂是一种不希望的副反应,伴随着容量损失,并可能由于枝晶的形成而导致内部短路,带有锂参比电极的特殊电池可实现NE电压测量,用于检测和量化镀锂,这种电池还用于确定防止镀锂的快速充电策略。
最快的方法是设计为在低NE电位下具有高电流,以便在不镀锂的情况下实现快速充电形成。

电芯配置
最大允许充电电压设置为4.2V,而最小允许放电电压设置为3.0V,在氩气气氛下组装电池之前,将电极在4°C和60mbar的手套箱的真空烘箱中干燥0小时。
之后,将电池在气候室内在600°C下储存40小时,以保证足够的电解质润湿,在气候室内,电池连接到电池测试系统。
电池测试系统允许实时测量和控制电池和电极电压,实时网元电压控制功能用于快速充电形成策略。
测量五种不同形成策略的电压和电流曲线,尽管CC充电阶段尚未完成,但NE电压缓慢增加,在F5放电过程中,出现了轻微的电压平台,称为镀锂指标。

形成后,所有电池都用EOL测试进行测试,以确定容量和脉冲电阻以及50%SOC下的电化学阻抗谱。除此之外,还拆卸了选定的电池,以便对NE进行以进行镀锂。
不同的地层是否导致不可逆的镀锂,在氩气手套箱内拆卸了三种最快形成策略,中每种的代表性电池。
在拆卸之前,将电池放电至0%SOC,在氩气气氛下,通过显微镜对细胞形成后的NEs进行光学成像。
没有可见镀锂的 F3 电池的 NE,F4电池的NE,没有可见的镀锂, 具有可见镀锂的 F5 电池的 NE。

F3电池的NE显示出显着的镀锂,可通过石墨顶部的金色沉积来识别,在用F5检查第一个电池后,F5的所有其他电池也进行了锂镀检查,这些电池也显示出类似的镀锂模式。
F3电池没有显示任何可见的镀锂,这证实了NE电压的成功实时控制,F3电池也没有导致可见的镀锂,尽管NE电压在短时间内约为-10mV。
这可能是由环参比电极设置的测量误差引起的,锂金属环参比的厚度约为50μm,而隔膜厚度为220μm,环在隔膜的中心对齐,因此锂金属环和NE表面之间应该有一个潜在的梯度。
也可以想象发生了少量的镀锂,这是我们的显微镜无法检测到的,来自F1和F2地层的细胞没有通过光学尸检分析检查镀锂,因为与其他没有可见镀锂的策略相比,电流相等或更低,因此,预计F1和F2电池不会镀锂。

周期性循环程序从0.5C CCCV容量开始,以确定100%SOC的实际充电量,第三个循环用作100%SOC的参考。
进行电流中断测试,每充电5%SOC脉冲,然后放电方向,脉冲之后,有2小时的松弛暂停。
欧姆定律,使用脉冲和松弛暂停的最后一个数据点之间的电压,电流差来计算每5%SOC步长的内阻,基于地层 F1、F2、F3 和 F4 的电池、PE 和 NE 电阻。
SOC取决于放电电阻,基于每个地层变体F1–F4的三个电池的电流中断测试,在环化开始时,四种地层中每一种的细胞,PE和NE电阻曲线相似。

在循环 244处,每种地层的电池电阻增加,不同地层在循环244处的细胞电阻曲线在低SOC范围内差异最大,相比之下,F1 电池在20% SOC时具有最高的电池电阻,而F3电池的电阻最低。
各地层PE抗性曲线显著增加,在低于40%SOC的低SOC下增长最大,与之前的电池电阻一样,F1电池在20%SOC时具有最高的PE电阻。
几个电池的PE电阻曲线彼此相似,循环过程中PE电阻的趋势,与电池电阻的趋势基本一致,PE电阻增加可能有几个原因。
性能评估

NMC颗粒可能已经完全破裂并与其余活性材料分离,与PE电阻增加相关的另一个降解过程,是由于副反应导致活性材料和电解质之间的PE-SEI层的生长。
NE电阻降低或没有显着变化,除了1%至55%SOC之间的F60细胞,此外,F1细胞的NE电阻曲线与F2、F3和F4细胞相比差异最大,两者在循环后都有相似的曲线。
NE电阻的降低可能与环化过程中,两个石墨层之间的距离增加引起的更好的锂离子扩散能力有关。除此之外,在循环过程中,石墨电极由于插层而发生体积变化,导致石墨结构变形,进而可能导致更好的离子电导率。
细胞在244次循环后具有较低的NE电阻,这意味着由于SEI生长引起的NE电阻增加被其他效应补偿。

总结电流中断测试的结果,所有四种地层策略都导致了相似的电阻变化,而低SOC区域的PE电阻增加因地层而异,F3电池锂离子损失的两个可能原因。
首先,由于F3消耗了锂离子,SEI层生长增加,然而,F3电池的NE电阻与其他地层相似,这意味着SEI生长,必须通过石墨电极,在循环过程中机械变形的积极作用来补偿。
在这种情况下,F3电池的加速SEI层生长也会加速机械石墨变形,并伴随它们对NE电阻的积极影响。
F3电池锂离子损失的第二个可能原因是老化过程中的显着镀锂,如前所述,F3电池在初始形成周期中导致-10 mV NE电压,但与F5相比没有导致任何可见的镀锂。

然而,仍然可以想象到我们的光学显微镜看不到的少量镀锂,即使是少量的镀锂也会导致电极不均匀,这往往会引起新的金属锂沉积并在循环过程中加速。
不幸的是,循环后电池没有打开,以检查NE是否有可见的镀锂,在C/4和3C之间的较高C速率下,所有四种地层均表现出相似的性能,没有任何显着差异。
总结C速率测试结果,除C/250处的F3细胞外,所有形成策略在3个月内20次循环中在不同C速率下的循环性能相似。
由于NE电位低,高SOC和温度下的储存条件会加速与SEI层生长相关的老化行为。为了量化高温储存过程中的老化情况,每天重复一次周期性的30 s 0.5C充放电脉冲。

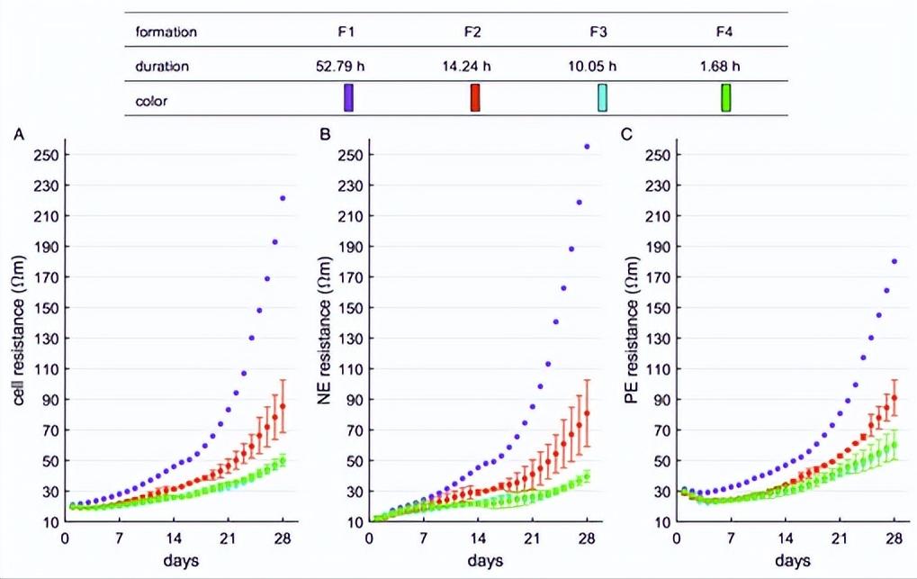
高温存储
在高温储存之初,四种地层的所有细胞都具有相似的电阻,除F1电池外,电池电阻在最初几天没有显着变化。
相比之下,F1细胞在最初几天缓慢增加,之后,所有形成策略的细胞阻力迅速增加,F1细胞退化最快,其次是F2细胞,两者都呈指数级,F3和F4细胞的降解彼此相似,并且在1天后与F2和F28细胞相比显着降低。
所有地层的NE阻力在前7天内增加相似,之后,F1细胞表现出最快的降解,其次是F2细胞,而F3和F4细胞的增幅相似但要小得多。
由于SEI层生长是该测试情景中NE,主要降解过程,我们假设地层F3和F4导致SEI生长速度最慢。
所有细胞的PE抗性在最初几天略有下降,这种现象可能与小颗粒断裂有关,7天后,与NE相比,观察到PE电阻增加的相同趋势。

最慢的地层F1导致阻力增加最快,其次是F2,形成策略F3和F4的增长率相似,总体增幅在28 d后最低,NMC PE在高温下储存时会加速气体形成。
气泡可能覆盖甚至隔离了PE颗粒,从而减少了电解质接触面积并导致更高的电阻,假设不同的形成策略导致了不同的PE-SEI性质,从而对高温下的降解产生影响。
总结高温储能脉冲试验结果,28d后不同地层策略的阻力增加存在显著差异,而速度较快的地层的PE和NE阻力增加速率较低。
用三电极设置中的纽扣电池评估了五种不同的形成策略,持续时间从52.79到1.68小时不等,光学尸检分析证明成功预防,而传统的1.5C CCCV导致显著的镀锂。

不同性能测试的结果得出结论,成功设计了实时负极电压控制的快速充电形成方法,该方法在防止镀锂的同时实现了最佳的电池性能。
方法和发现显示了缩短锂离子电池生产时间的巨大潜力,甚至在高温储存条件下具有更持久的降解性能。
与商业袋、棱柱形或圆柱形电池相比,小型纽扣电池因其外形尺寸而有所不同,对于较大的电池,隔膜和电极的均匀电解质润湿更具挑战性,但为了防止局部镀锂,这是绝对必要的。

结论
与更大的电池相比,另一个区别是快速充电期间的自热,纽扣电池没有显著的自发热,因为相对于外壳相对较大的热容量而言,损耗功率很小,而对于大型商业电池来说,情况恰恰相反。
但只要可以防止临界温度,自热就有利于降低镀锂的风险,因为电导率更好,通常市售电池没有参比电极。
因此实时负极电压控制方法不能直接应用于此类电池,在这种情况下,三电极设置中纽扣电池的形成电流额定值曲线可用作无参比电极电池形成方案的查找表。
这种基于查找表的纽扣电池快速充电电流,额定值曲线应用于多层软包电池的形成,棱柱形细胞。