高考数学来说很多考察题型都是具有模板性的,也就是说一类题型,只要掌握好它的特征,那么就会变得很简单,哪怕基础很差的同学,也是可以学的会,也可以拿分的,只要你们跟着我学,没有不能提升的道理。

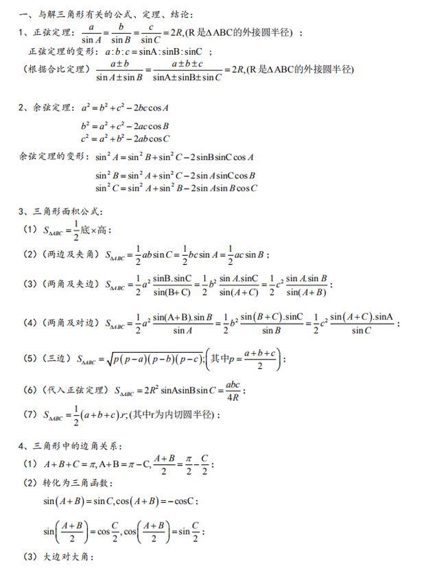
解三角形知识一直是高考常考考点,虽然这一块儿只要运用公式、正弦定理与余弦定理便能解决很多问题,但是如何针对试题,灵活、准确、快速地选定相关定理去入手解题,虽然难度不大,但一直以来在高考中都占有极重要的地位。尤其对于中等生来说,这可是必须拿满分的一道解答题。为此学姐对此整理了《高中数学解三角形基本题型》大家多多练习几遍!
获取方式:点击头像加关注后,私信发送关键字【资料】即可获取~





