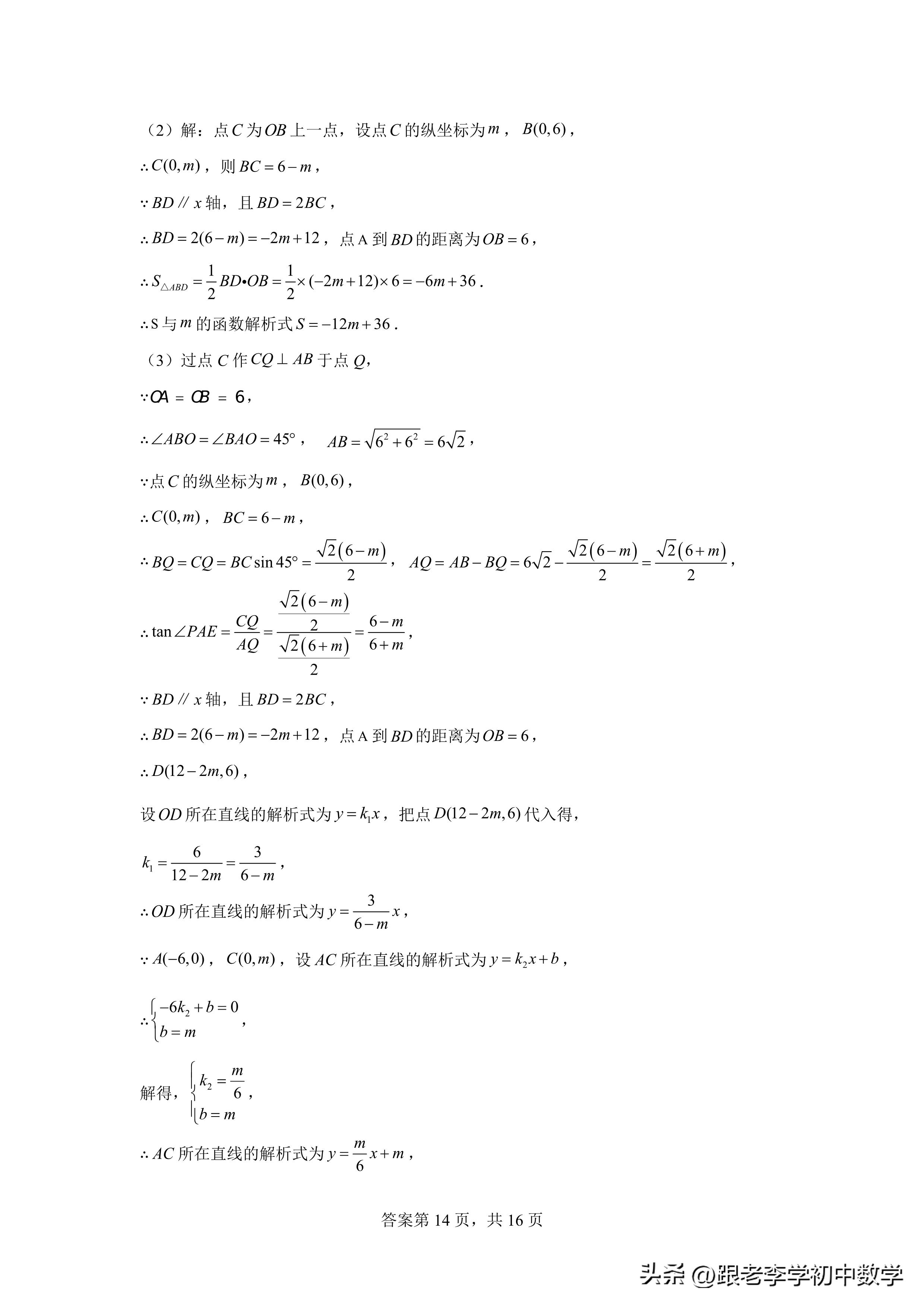
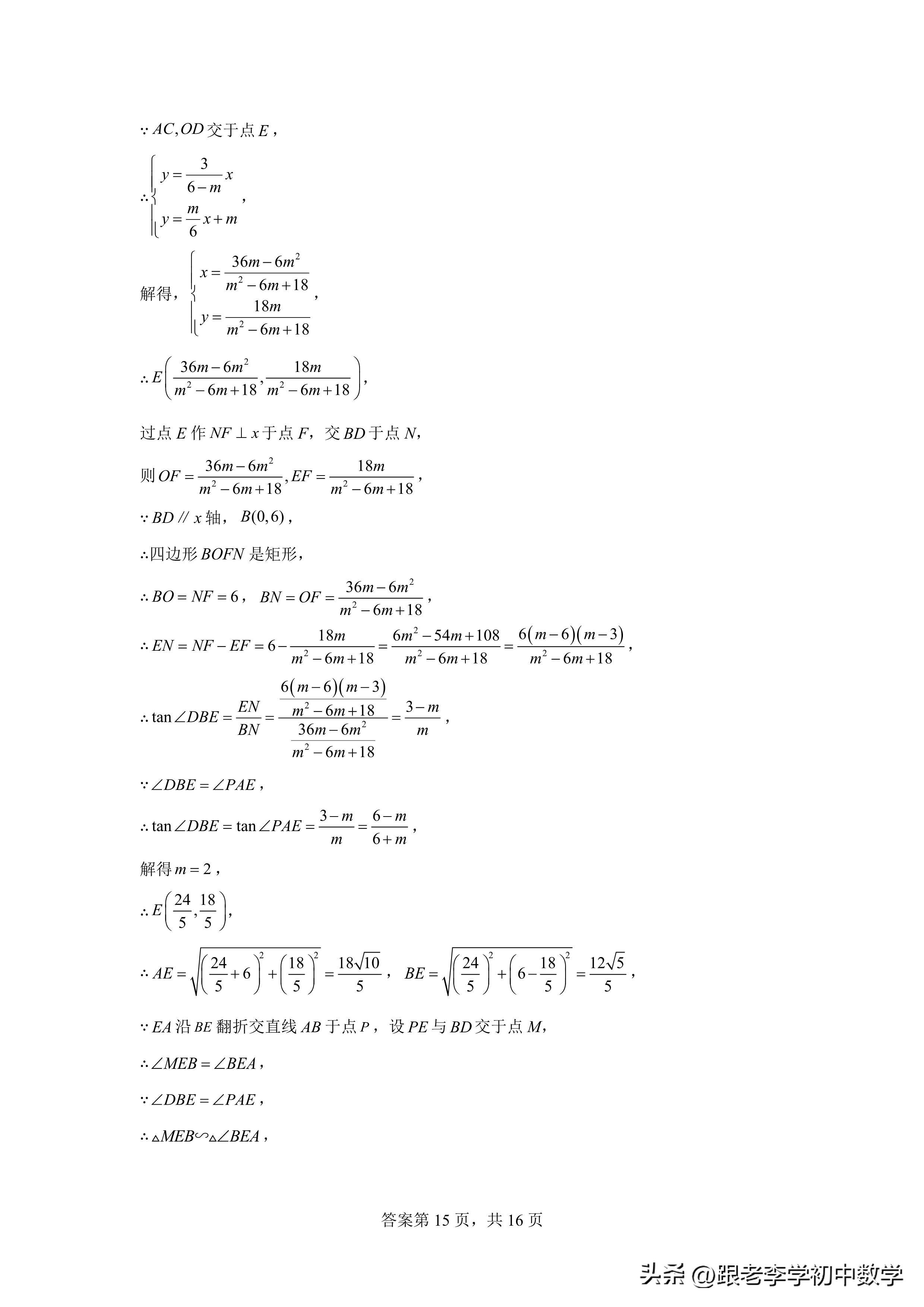
●老李原创作品《初中数学解题模型壹盘清》10部思维导图课件及680集配套视频课程目录及作品展示(含课件及10集免费视频:点链接<下划线的蓝色文字标题>直接浏览、观看),欢迎品鉴。(智助培优,高效慧学,就差一“ 点 ”)↓↓↓
※《初中数学解题模型壹盘清》简介、目录;课件、视频试学试看(点我→看10集免费视频)
※《初中数学解题模型直通车》—为所爱,尽所能,一文读懂“壹盘清”(含用户的评价)
●乾坤未定,你我皆是黑马 —— 学生备考、教师提升、家长陪辅 ;高效慧学、智助培优
■以上内容不感兴趣可忽略——没有假噱头,只有真福利,为您分享无删减的名校名师复习资料——





















